The Crankshaft In A Race Car Goes From . The crankshaft in a race car goes from rest to 3600 rpm in 3.3 seconds. (in rad / s 2.) assume. 1) what is the crankshafts angularacceleration?> 2) how. The crankshaft in a race car goes from rest to 3000 rpm in 2.0 s. If the crankshaft accelerates uniformly from rest to a certain rotational speed, one can study this behavior using rotational kinematics. What is the crankshaft's angular acceleration? The crankshaft in a race car goes from rest to 3000 rpm in 2.0seconds. 3600 rpm = 3600/60 = 60 revolutions per second = 60 x 2π = 120π radians. The crankshaft in a race car goes from rest to 3600 rpm in 3.3 seconds. A) what is the angular acceleration of the crankshaft? The crankshaft in a race car goes from rest to 3000 rpm in 2.0 s. A) what is the angular acceleration of the crankshaft? To find the crankshaft's angular acceleration in a race car that goes from rest to 3,000 rpm in 2.0 seconds, we can follow these. We know that 1 revolution = 2π radians, so:
from www.numerade.com
What is the crankshaft's angular acceleration? 3600 rpm = 3600/60 = 60 revolutions per second = 60 x 2π = 120π radians. If the crankshaft accelerates uniformly from rest to a certain rotational speed, one can study this behavior using rotational kinematics. A) what is the angular acceleration of the crankshaft? (in rad / s 2.) assume. The crankshaft in a race car goes from rest to 3000 rpm in 2.0seconds. We know that 1 revolution = 2π radians, so: A) what is the angular acceleration of the crankshaft? The crankshaft in a race car goes from rest to 3000 rpm in 2.0 s. The crankshaft in a race car goes from rest to 3600 rpm in 3.3 seconds.
SOLVED The crankshaft in a race car goes from rest to 3000 rpm in 2.0
The Crankshaft In A Race Car Goes From The crankshaft in a race car goes from rest to 3600 rpm in 3.3 seconds. To find the crankshaft's angular acceleration in a race car that goes from rest to 3,000 rpm in 2.0 seconds, we can follow these. A) what is the angular acceleration of the crankshaft? A) what is the angular acceleration of the crankshaft? (in rad / s 2.) assume. We know that 1 revolution = 2π radians, so: The crankshaft in a race car goes from rest to 3000 rpm in 2.0 s. 1) what is the crankshafts angularacceleration?> 2) how. What is the crankshaft's angular acceleration? The crankshaft in a race car goes from rest to 3600 rpm in 3.3 seconds. The crankshaft in a race car goes from rest to 3000 rpm in 2.0seconds. The crankshaft in a race car goes from rest to 3600 rpm in 3.3 seconds. If the crankshaft accelerates uniformly from rest to a certain rotational speed, one can study this behavior using rotational kinematics. 3600 rpm = 3600/60 = 60 revolutions per second = 60 x 2π = 120π radians. The crankshaft in a race car goes from rest to 3000 rpm in 2.0 s.
From www.chegg.com
Solved The crankshaft in a race car goes from rest to The Crankshaft In A Race Car Goes From The crankshaft in a race car goes from rest to 3000 rpm in 2.0seconds. If the crankshaft accelerates uniformly from rest to a certain rotational speed, one can study this behavior using rotational kinematics. What is the crankshaft's angular acceleration? A) what is the angular acceleration of the crankshaft? We know that 1 revolution = 2π radians, so: 1) what. The Crankshaft In A Race Car Goes From.
From www.youtube.com
Hand crank race car YouTube The Crankshaft In A Race Car Goes From We know that 1 revolution = 2π radians, so: 3600 rpm = 3600/60 = 60 revolutions per second = 60 x 2π = 120π radians. The crankshaft in a race car goes from rest to 3000 rpm in 2.0seconds. The crankshaft in a race car goes from rest to 3000 rpm in 2.0 s. If the crankshaft accelerates uniformly from. The Crankshaft In A Race Car Goes From.
From www.numerade.com
SOLVED The crankshaft in a race car goes from rest to 3000 rpm in 2.0 The Crankshaft In A Race Car Goes From What is the crankshaft's angular acceleration? The crankshaft in a race car goes from rest to 3600 rpm in 3.3 seconds. If the crankshaft accelerates uniformly from rest to a certain rotational speed, one can study this behavior using rotational kinematics. 3600 rpm = 3600/60 = 60 revolutions per second = 60 x 2π = 120π radians. A) what is. The Crankshaft In A Race Car Goes From.
From www.bonanza.com
IndyCar Offenhauser Crankshaft Race Used Indy 500 159 cu in (2.61 L The Crankshaft In A Race Car Goes From The crankshaft in a race car goes from rest to 3000 rpm in 2.0 s. What is the crankshaft's angular acceleration? The crankshaft in a race car goes from rest to 3600 rpm in 3.3 seconds. The crankshaft in a race car goes from rest to 3000 rpm in 2.0 s. The crankshaft in a race car goes from rest. The Crankshaft In A Race Car Goes From.
From guideparttimeworn.z21.web.core.windows.net
Crankshaft In A Car Diagram The Crankshaft In A Race Car Goes From 1) what is the crankshafts angularacceleration?> 2) how. 3600 rpm = 3600/60 = 60 revolutions per second = 60 x 2π = 120π radians. A) what is the angular acceleration of the crankshaft? What is the crankshaft's angular acceleration? The crankshaft in a race car goes from rest to 3600 rpm in 3.3 seconds. If the crankshaft accelerates uniformly from. The Crankshaft In A Race Car Goes From.
From www.numerade.com
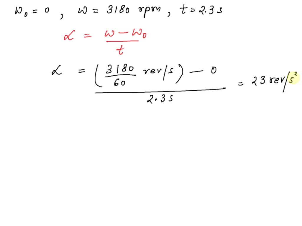
SOLVED The crankshaft in a race car goes from rest to 3180 rpm in 2.3 The Crankshaft In A Race Car Goes From A) what is the angular acceleration of the crankshaft? 1) what is the crankshafts angularacceleration?> 2) how. The crankshaft in a race car goes from rest to 3000 rpm in 2.0seconds. A) what is the angular acceleration of the crankshaft? If the crankshaft accelerates uniformly from rest to a certain rotational speed, one can study this behavior using rotational kinematics.. The Crankshaft In A Race Car Goes From.
From www.youtube.com
Mastering Physics 7.17 Explained! The crankshaft in a race car goes The Crankshaft In A Race Car Goes From The crankshaft in a race car goes from rest to 3000 rpm in 2.0seconds. A) what is the angular acceleration of the crankshaft? 3600 rpm = 3600/60 = 60 revolutions per second = 60 x 2π = 120π radians. The crankshaft in a race car goes from rest to 3600 rpm in 3.3 seconds. What is the crankshaft's angular acceleration?. The Crankshaft In A Race Car Goes From.
From www.chegg.com
Solved The crankshaft of radius 0.02m in a race car goes The Crankshaft In A Race Car Goes From To find the crankshaft's angular acceleration in a race car that goes from rest to 3,000 rpm in 2.0 seconds, we can follow these. What is the crankshaft's angular acceleration? The crankshaft in a race car goes from rest to 3000 rpm in 2.0seconds. The crankshaft in a race car goes from rest to 3600 rpm in 3.3 seconds. (in. The Crankshaft In A Race Car Goes From.
From www.chegg.com
Solved The crankshaft in a race car goes from rest to What The Crankshaft In A Race Car Goes From The crankshaft in a race car goes from rest to 3000 rpm in 2.0seconds. The crankshaft in a race car goes from rest to 3600 rpm in 3.3 seconds. If the crankshaft accelerates uniformly from rest to a certain rotational speed, one can study this behavior using rotational kinematics. A) what is the angular acceleration of the crankshaft? The crankshaft. The Crankshaft In A Race Car Goes From.
From www.ahtcorp.com
Heat Treating Crankshafts for Race Cars The Crankshaft In A Race Car Goes From The crankshaft in a race car goes from rest to 3000 rpm in 2.0 s. (in rad / s 2.) assume. If the crankshaft accelerates uniformly from rest to a certain rotational speed, one can study this behavior using rotational kinematics. The crankshaft in a race car goes from rest to 3000 rpm in 2.0seconds. What is the crankshaft's angular. The Crankshaft In A Race Car Goes From.
From dragcartel.com
BRYANT RACING CRANKSHAFT dragcartel The Crankshaft In A Race Car Goes From A) what is the angular acceleration of the crankshaft? To find the crankshaft's angular acceleration in a race car that goes from rest to 3,000 rpm in 2.0 seconds, we can follow these. The crankshaft in a race car goes from rest to 3600 rpm in 3.3 seconds. A) what is the angular acceleration of the crankshaft? What is the. The Crankshaft In A Race Car Goes From.
From www.carid.com
Performance Crankshafts Cast, Billet, Stroker The Crankshaft In A Race Car Goes From The crankshaft in a race car goes from rest to 3000 rpm in 2.0seconds. What is the crankshaft's angular acceleration? A) what is the angular acceleration of the crankshaft? 1) what is the crankshafts angularacceleration?> 2) how. The crankshaft in a race car goes from rest to 3000 rpm in 2.0 s. To find the crankshaft's angular acceleration in a. The Crankshaft In A Race Car Goes From.
From kunduz.com
[ANSWERED] The crankshaft in a race car goes from rest to w in time The Crankshaft In A Race Car Goes From We know that 1 revolution = 2π radians, so: If the crankshaft accelerates uniformly from rest to a certain rotational speed, one can study this behavior using rotational kinematics. A) what is the angular acceleration of the crankshaft? What is the crankshaft's angular acceleration? The crankshaft in a race car goes from rest to 3000 rpm in 2.0 s. A). The Crankshaft In A Race Car Goes From.
From www.chegg.com
Solved The crankshaft in a race car goes from rest to 3600 The Crankshaft In A Race Car Goes From 3600 rpm = 3600/60 = 60 revolutions per second = 60 x 2π = 120π radians. A) what is the angular acceleration of the crankshaft? The crankshaft in a race car goes from rest to 3000 rpm in 2.0 s. (in rad / s 2.) assume. The crankshaft in a race car goes from rest to 3600 rpm in 3.3. The Crankshaft In A Race Car Goes From.
From www.chegg.com
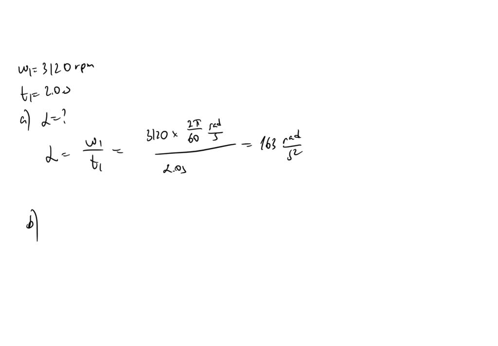
Solved The crankshaft in a race car goes from rest to 3120 The Crankshaft In A Race Car Goes From 1) what is the crankshafts angularacceleration?> 2) how. The crankshaft in a race car goes from rest to 3000 rpm in 2.0 s. A) what is the angular acceleration of the crankshaft? We know that 1 revolution = 2π radians, so: If the crankshaft accelerates uniformly from rest to a certain rotational speed, one can study this behavior using rotational. The Crankshaft In A Race Car Goes From.
From www.numerade.com
SOLVED The crankshaft in a race car goes from rest to 3120 rpm in 2.0 The Crankshaft In A Race Car Goes From (in rad / s 2.) assume. The crankshaft in a race car goes from rest to 3600 rpm in 3.3 seconds. To find the crankshaft's angular acceleration in a race car that goes from rest to 3,000 rpm in 2.0 seconds, we can follow these. We know that 1 revolution = 2π radians, so: What is the crankshaft's angular acceleration?. The Crankshaft In A Race Car Goes From.
From www.chegg.com
Solved The crankshaft in a race car goes from rest to The Crankshaft In A Race Car Goes From The crankshaft in a race car goes from rest to 3600 rpm in 3.3 seconds. If the crankshaft accelerates uniformly from rest to a certain rotational speed, one can study this behavior using rotational kinematics. The crankshaft in a race car goes from rest to 3000 rpm in 2.0 s. The crankshaft in a race car goes from rest to. The Crankshaft In A Race Car Goes From.
From www.chegg.com
Solved The crankshaft in a race car goes from rest to 3000 The Crankshaft In A Race Car Goes From The crankshaft in a race car goes from rest to 3000 rpm in 2.0seconds. 1) what is the crankshafts angularacceleration?> 2) how. A) what is the angular acceleration of the crankshaft? The crankshaft in a race car goes from rest to 3600 rpm in 3.3 seconds. To find the crankshaft's angular acceleration in a race car that goes from rest. The Crankshaft In A Race Car Goes From.
From www.chegg.com
Solved The crankshaft in a race car goes from rest to 3300 The Crankshaft In A Race Car Goes From What is the crankshaft's angular acceleration? The crankshaft in a race car goes from rest to 3000 rpm in 2.0 s. A) what is the angular acceleration of the crankshaft? To find the crankshaft's angular acceleration in a race car that goes from rest to 3,000 rpm in 2.0 seconds, we can follow these. We know that 1 revolution =. The Crankshaft In A Race Car Goes From.
From www.ebaymotorsblog.com
All About Crankshafts and How They Work eBay Motors Blog The Crankshaft In A Race Car Goes From We know that 1 revolution = 2π radians, so: (in rad / s 2.) assume. A) what is the angular acceleration of the crankshaft? The crankshaft in a race car goes from rest to 3000 rpm in 2.0 s. The crankshaft in a race car goes from rest to 3600 rpm in 3.3 seconds. 1) what is the crankshafts angularacceleration?>. The Crankshaft In A Race Car Goes From.
From www.numerade.com
SOLVED The crankshaft in a race car goes from rest to 3000 rpm in 3.0 s The Crankshaft In A Race Car Goes From The crankshaft in a race car goes from rest to 3000 rpm in 2.0 s. The crankshaft in a race car goes from rest to 3000 rpm in 2.0 s. If the crankshaft accelerates uniformly from rest to a certain rotational speed, one can study this behavior using rotational kinematics. We know that 1 revolution = 2π radians, so: A). The Crankshaft In A Race Car Goes From.
From www.chegg.com
Solved The crankshaft in a race car goes from rest to The Crankshaft In A Race Car Goes From A) what is the angular acceleration of the crankshaft? What is the crankshaft's angular acceleration? (in rad / s 2.) assume. 3600 rpm = 3600/60 = 60 revolutions per second = 60 x 2π = 120π radians. The crankshaft in a race car goes from rest to 3000 rpm in 2.0seconds. We know that 1 revolution = 2π radians, so:. The Crankshaft In A Race Car Goes From.
From www.endurancewarranty.com
What Is A Crankshaft In My Car? Endurance Warranty The Crankshaft In A Race Car Goes From The crankshaft in a race car goes from rest to 3000 rpm in 2.0 s. The crankshaft in a race car goes from rest to 3000 rpm in 2.0 s. (in rad / s 2.) assume. The crankshaft in a race car goes from rest to 3600 rpm in 3.3 seconds. To find the crankshaft's angular acceleration in a race. The Crankshaft In A Race Car Goes From.
From www.chegg.com
Solved The crankshaft in a race car goes from rest to The Crankshaft In A Race Car Goes From 3600 rpm = 3600/60 = 60 revolutions per second = 60 x 2π = 120π radians. The crankshaft in a race car goes from rest to 3600 rpm in 3.3 seconds. If the crankshaft accelerates uniformly from rest to a certain rotational speed, one can study this behavior using rotational kinematics. The crankshaft in a race car goes from rest. The Crankshaft In A Race Car Goes From.
From www.chegg.com
Solved Part A The crankshaft in a race car goes from rest to The Crankshaft In A Race Car Goes From The crankshaft in a race car goes from rest to 3000 rpm in 2.0 s. (in rad / s 2.) assume. A) what is the angular acceleration of the crankshaft? To find the crankshaft's angular acceleration in a race car that goes from rest to 3,000 rpm in 2.0 seconds, we can follow these. 3600 rpm = 3600/60 = 60. The Crankshaft In A Race Car Goes From.
From www.chegg.com
Solved The crankshaft in a race car goes from rest to 3240 The Crankshaft In A Race Car Goes From 3600 rpm = 3600/60 = 60 revolutions per second = 60 x 2π = 120π radians. The crankshaft in a race car goes from rest to 3000 rpm in 2.0seconds. The crankshaft in a race car goes from rest to 3600 rpm in 3.3 seconds. We know that 1 revolution = 2π radians, so: (in rad / s 2.) assume.. The Crankshaft In A Race Car Goes From.
From www.studypool.com
SOLUTION The crankshaft in a race car goes from rest to 3430 rpm in 1 The Crankshaft In A Race Car Goes From The crankshaft in a race car goes from rest to 3000 rpm in 2.0 s. What is the crankshaft's angular acceleration? The crankshaft in a race car goes from rest to 3000 rpm in 2.0 s. 3600 rpm = 3600/60 = 60 revolutions per second = 60 x 2π = 120π radians. A) what is the angular acceleration of the. The Crankshaft In A Race Car Goes From.
From www.chegg.com
Solved The crankshaft in a race car goes from rest to 3240 The Crankshaft In A Race Car Goes From What is the crankshaft's angular acceleration? A) what is the angular acceleration of the crankshaft? A) what is the angular acceleration of the crankshaft? The crankshaft in a race car goes from rest to 3600 rpm in 3.3 seconds. If the crankshaft accelerates uniformly from rest to a certain rotational speed, one can study this behavior using rotational kinematics. To. The Crankshaft In A Race Car Goes From.
From www.chegg.com
Solved Review The crankshaft in a race car goes from rest to The Crankshaft In A Race Car Goes From 3600 rpm = 3600/60 = 60 revolutions per second = 60 x 2π = 120π radians. If the crankshaft accelerates uniformly from rest to a certain rotational speed, one can study this behavior using rotational kinematics. What is the crankshaft's angular acceleration? The crankshaft in a race car goes from rest to 3000 rpm in 2.0 s. 1) what is. The Crankshaft In A Race Car Goes From.
From www.chegg.com
Solved The crankshaft in a race car goes from rest to The Crankshaft In A Race Car Goes From To find the crankshaft's angular acceleration in a race car that goes from rest to 3,000 rpm in 2.0 seconds, we can follow these. The crankshaft in a race car goes from rest to 3000 rpm in 2.0 s. The crankshaft in a race car goes from rest to 3000 rpm in 2.0seconds. 3600 rpm = 3600/60 = 60 revolutions. The Crankshaft In A Race Car Goes From.
From www.chegg.com
Solved 20N 2. The crankshaft in a race car goes from rest to The Crankshaft In A Race Car Goes From A) what is the angular acceleration of the crankshaft? 1) what is the crankshafts angularacceleration?> 2) how. A) what is the angular acceleration of the crankshaft? 3600 rpm = 3600/60 = 60 revolutions per second = 60 x 2π = 120π radians. The crankshaft in a race car goes from rest to 3000 rpm in 2.0 s. To find the. The Crankshaft In A Race Car Goes From.
From www.numerade.com
SOLVED The crankshaft in a race car goes from rest to 3240 rpm in 2.3 The Crankshaft In A Race Car Goes From A) what is the angular acceleration of the crankshaft? 1) what is the crankshafts angularacceleration?> 2) how. To find the crankshaft's angular acceleration in a race car that goes from rest to 3,000 rpm in 2.0 seconds, we can follow these. The crankshaft in a race car goes from rest to 3600 rpm in 3.3 seconds. (in rad / s. The Crankshaft In A Race Car Goes From.
From www.chegg.com
Solved The crankshaft in a race car goes from rest to The Crankshaft In A Race Car Goes From The crankshaft in a race car goes from rest to 3600 rpm in 3.3 seconds. A) what is the angular acceleration of the crankshaft? 3600 rpm = 3600/60 = 60 revolutions per second = 60 x 2π = 120π radians. We know that 1 revolution = 2π radians, so: 1) what is the crankshafts angularacceleration?> 2) how. A) what is. The Crankshaft In A Race Car Goes From.
From www.enginelabs.com
SCAT Crankshafts Can Help You With A Custom Crank For Drag Racing The Crankshaft In A Race Car Goes From The crankshaft in a race car goes from rest to 3000 rpm in 2.0 s. A) what is the angular acceleration of the crankshaft? The crankshaft in a race car goes from rest to 3600 rpm in 3.3 seconds. 1) what is the crankshafts angularacceleration?> 2) how. 3600 rpm = 3600/60 = 60 revolutions per second = 60 x 2π. The Crankshaft In A Race Car Goes From.
From www.chegg.com
Solved The crankshaft in a race car goes from rest to 3300 The Crankshaft In A Race Car Goes From A) what is the angular acceleration of the crankshaft? To find the crankshaft's angular acceleration in a race car that goes from rest to 3,000 rpm in 2.0 seconds, we can follow these. 1) what is the crankshafts angularacceleration?> 2) how. The crankshaft in a race car goes from rest to 3000 rpm in 2.0 s. If the crankshaft accelerates. The Crankshaft In A Race Car Goes From.