Long Shunt Generator Problems And Solutions . The question is as follows: Shunt generator has an armature resistance of 0.018. This set of dc generator problems with solution focuses on problems based on emf equation of dc generator. A long shunt compound dc generator delivers a load current of 50a at 500v and has armature, series field and shunt field.
from circuitglobe.com
Shunt generator has an armature resistance of 0.018. This set of dc generator problems with solution focuses on problems based on emf equation of dc generator. The question is as follows: A long shunt compound dc generator delivers a load current of 50a at 500v and has armature, series field and shunt field.
What is Compound Wound Generator? Long & Short Shunt Compound Wound
Long Shunt Generator Problems And Solutions A long shunt compound dc generator delivers a load current of 50a at 500v and has armature, series field and shunt field. This set of dc generator problems with solution focuses on problems based on emf equation of dc generator. The question is as follows: A long shunt compound dc generator delivers a load current of 50a at 500v and has armature, series field and shunt field. Shunt generator has an armature resistance of 0.018.
From www.chegg.com
Solved Exercise 3 A long shunt generator delivers 100A at Long Shunt Generator Problems And Solutions A long shunt compound dc generator delivers a load current of 50a at 500v and has armature, series field and shunt field. The question is as follows: Shunt generator has an armature resistance of 0.018. This set of dc generator problems with solution focuses on problems based on emf equation of dc generator. Long Shunt Generator Problems And Solutions.
From www.youtube.com
Long shunt dc generator Induced emf and terminal voltage equation Long Shunt Generator Problems And Solutions A long shunt compound dc generator delivers a load current of 50a at 500v and has armature, series field and shunt field. This set of dc generator problems with solution focuses on problems based on emf equation of dc generator. Shunt generator has an armature resistance of 0.018. The question is as follows: Long Shunt Generator Problems And Solutions.
From www.coursehero.com
[Solved] Draw the diagram of long shunt compound generator and derive Long Shunt Generator Problems And Solutions A long shunt compound dc generator delivers a load current of 50a at 500v and has armature, series field and shunt field. Shunt generator has an armature resistance of 0.018. This set of dc generator problems with solution focuses on problems based on emf equation of dc generator. The question is as follows: Long Shunt Generator Problems And Solutions.
From www.chegg.com
Solved 1.) A lap wound long shunt generator has 4 field Long Shunt Generator Problems And Solutions The question is as follows: A long shunt compound dc generator delivers a load current of 50a at 500v and has armature, series field and shunt field. This set of dc generator problems with solution focuses on problems based on emf equation of dc generator. Shunt generator has an armature resistance of 0.018. Long Shunt Generator Problems And Solutions.
From www.studypool.com
SOLUTION Series short and long shunt compound generator Studypool Long Shunt Generator Problems And Solutions Shunt generator has an armature resistance of 0.018. The question is as follows: A long shunt compound dc generator delivers a load current of 50a at 500v and has armature, series field and shunt field. This set of dc generator problems with solution focuses on problems based on emf equation of dc generator. Long Shunt Generator Problems And Solutions.
From www.chegg.com
Solved A longshunt compound generator delivers a load Long Shunt Generator Problems And Solutions This set of dc generator problems with solution focuses on problems based on emf equation of dc generator. Shunt generator has an armature resistance of 0.018. The question is as follows: A long shunt compound dc generator delivers a load current of 50a at 500v and has armature, series field and shunt field. Long Shunt Generator Problems And Solutions.
From www.chegg.com
Solved A longshunt compound generator delivers a load Long Shunt Generator Problems And Solutions This set of dc generator problems with solution focuses on problems based on emf equation of dc generator. A long shunt compound dc generator delivers a load current of 50a at 500v and has armature, series field and shunt field. Shunt generator has an armature resistance of 0.018. The question is as follows: Long Shunt Generator Problems And Solutions.
From www.youtube.com
DC. Shunt generator problem & solution YouTube Long Shunt Generator Problems And Solutions This set of dc generator problems with solution focuses on problems based on emf equation of dc generator. The question is as follows: A long shunt compound dc generator delivers a load current of 50a at 500v and has armature, series field and shunt field. Shunt generator has an armature resistance of 0.018. Long Shunt Generator Problems And Solutions.
From electricalworkbook.com
Characteristics of DC Shunt Generator Explanation, Types & Diagram Long Shunt Generator Problems And Solutions The question is as follows: This set of dc generator problems with solution focuses on problems based on emf equation of dc generator. A long shunt compound dc generator delivers a load current of 50a at 500v and has armature, series field and shunt field. Shunt generator has an armature resistance of 0.018. Long Shunt Generator Problems And Solutions.
From www.studocu.com
Long shunt and short shunt compound motor example and diagram Physics Long Shunt Generator Problems And Solutions The question is as follows: A long shunt compound dc generator delivers a load current of 50a at 500v and has armature, series field and shunt field. This set of dc generator problems with solution focuses on problems based on emf equation of dc generator. Shunt generator has an armature resistance of 0.018. Long Shunt Generator Problems And Solutions.
From www.youtube.com
A long shunt compound generator has an armature winding resistance of 0 Long Shunt Generator Problems And Solutions This set of dc generator problems with solution focuses on problems based on emf equation of dc generator. The question is as follows: Shunt generator has an armature resistance of 0.018. A long shunt compound dc generator delivers a load current of 50a at 500v and has armature, series field and shunt field. Long Shunt Generator Problems And Solutions.
From www.numerade.com
SOLVED a long shunt compound generator supplies 100A at a terminal Long Shunt Generator Problems And Solutions Shunt generator has an armature resistance of 0.018. A long shunt compound dc generator delivers a load current of 50a at 500v and has armature, series field and shunt field. This set of dc generator problems with solution focuses on problems based on emf equation of dc generator. The question is as follows: Long Shunt Generator Problems And Solutions.
From www.studypool.com
SOLUTION Short and long shunt generator Studypool Long Shunt Generator Problems And Solutions The question is as follows: This set of dc generator problems with solution focuses on problems based on emf equation of dc generator. A long shunt compound dc generator delivers a load current of 50a at 500v and has armature, series field and shunt field. Shunt generator has an armature resistance of 0.018. Long Shunt Generator Problems And Solutions.
From www.coursehero.com
[Solved] A 420 KW 600VOLT 580 RPM LONG SHUNT GENERATOR HAS AN ARMATURE Long Shunt Generator Problems And Solutions This set of dc generator problems with solution focuses on problems based on emf equation of dc generator. Shunt generator has an armature resistance of 0.018. A long shunt compound dc generator delivers a load current of 50a at 500v and has armature, series field and shunt field. The question is as follows: Long Shunt Generator Problems And Solutions.
From www.chegg.com
Solved 4. (25p) A 300−kW,600−V, longshunt compound Long Shunt Generator Problems And Solutions The question is as follows: Shunt generator has an armature resistance of 0.018. A long shunt compound dc generator delivers a load current of 50a at 500v and has armature, series field and shunt field. This set of dc generator problems with solution focuses on problems based on emf equation of dc generator. Long Shunt Generator Problems And Solutions.
From www.coursehero.com
[Solved] In a longshunt compound generator, the terminal voltage is Long Shunt Generator Problems And Solutions Shunt generator has an armature resistance of 0.018. The question is as follows: This set of dc generator problems with solution focuses on problems based on emf equation of dc generator. A long shunt compound dc generator delivers a load current of 50a at 500v and has armature, series field and shunt field. Long Shunt Generator Problems And Solutions.
From www.studypool.com
SOLUTION Back e m f in d c compound motor long shunt short shunt Long Shunt Generator Problems And Solutions Shunt generator has an armature resistance of 0.018. A long shunt compound dc generator delivers a load current of 50a at 500v and has armature, series field and shunt field. The question is as follows: This set of dc generator problems with solution focuses on problems based on emf equation of dc generator. Long Shunt Generator Problems And Solutions.
From www.chegg.com
Solved A long shunt generator supplies 20kW at a full load Long Shunt Generator Problems And Solutions A long shunt compound dc generator delivers a load current of 50a at 500v and has armature, series field and shunt field. The question is as follows: This set of dc generator problems with solution focuses on problems based on emf equation of dc generator. Shunt generator has an armature resistance of 0.018. Long Shunt Generator Problems And Solutions.
From www.coursehero.com
[Solved] Two shunt generators A and B operate in parallel and their Long Shunt Generator Problems And Solutions The question is as follows: A long shunt compound dc generator delivers a load current of 50a at 500v and has armature, series field and shunt field. This set of dc generator problems with solution focuses on problems based on emf equation of dc generator. Shunt generator has an armature resistance of 0.018. Long Shunt Generator Problems And Solutions.
From www.scribd.com
LEC07+08 (Series, Shunt and Compound Generator & Problem Solutions Long Shunt Generator Problems And Solutions The question is as follows: A long shunt compound dc generator delivers a load current of 50a at 500v and has armature, series field and shunt field. This set of dc generator problems with solution focuses on problems based on emf equation of dc generator. Shunt generator has an armature resistance of 0.018. Long Shunt Generator Problems And Solutions.
From circuitglobe.com
What is Compound Wound Generator? Long & Short Shunt Compound Wound Long Shunt Generator Problems And Solutions This set of dc generator problems with solution focuses on problems based on emf equation of dc generator. A long shunt compound dc generator delivers a load current of 50a at 500v and has armature, series field and shunt field. Shunt generator has an armature resistance of 0.018. The question is as follows: Long Shunt Generator Problems And Solutions.
From www.studypool.com
SOLUTION Short and long shunt generator Studypool Long Shunt Generator Problems And Solutions The question is as follows: Shunt generator has an armature resistance of 0.018. A long shunt compound dc generator delivers a load current of 50a at 500v and has armature, series field and shunt field. This set of dc generator problems with solution focuses on problems based on emf equation of dc generator. Long Shunt Generator Problems And Solutions.
From www.chegg.com
Solved 8 A longshunt generator supplies a current of 100 A Long Shunt Generator Problems And Solutions This set of dc generator problems with solution focuses on problems based on emf equation of dc generator. The question is as follows: Shunt generator has an armature resistance of 0.018. A long shunt compound dc generator delivers a load current of 50a at 500v and has armature, series field and shunt field. Long Shunt Generator Problems And Solutions.
From www.chegg.com
Solved Exercise 3 A long shunt generator delivers 100A at Long Shunt Generator Problems And Solutions This set of dc generator problems with solution focuses on problems based on emf equation of dc generator. The question is as follows: Shunt generator has an armature resistance of 0.018. A long shunt compound dc generator delivers a load current of 50a at 500v and has armature, series field and shunt field. Long Shunt Generator Problems And Solutions.
From www.studypool.com
SOLUTION Series short and long shunt compound generator Studypool Long Shunt Generator Problems And Solutions A long shunt compound dc generator delivers a load current of 50a at 500v and has armature, series field and shunt field. This set of dc generator problems with solution focuses on problems based on emf equation of dc generator. The question is as follows: Shunt generator has an armature resistance of 0.018. Long Shunt Generator Problems And Solutions.
From www.chegg.com
Solved Sample Problem 6. A long shunt compound generator has Long Shunt Generator Problems And Solutions The question is as follows: A long shunt compound dc generator delivers a load current of 50a at 500v and has armature, series field and shunt field. This set of dc generator problems with solution focuses on problems based on emf equation of dc generator. Shunt generator has an armature resistance of 0.018. Long Shunt Generator Problems And Solutions.
From www.youtube.com
Long Shunt Compound Generator YouTube Long Shunt Generator Problems And Solutions Shunt generator has an armature resistance of 0.018. The question is as follows: A long shunt compound dc generator delivers a load current of 50a at 500v and has armature, series field and shunt field. This set of dc generator problems with solution focuses on problems based on emf equation of dc generator. Long Shunt Generator Problems And Solutions.
From www.youtube.com
DC Shunt Generator Generated EMF Problem Solution EE Tutorial 7 YouTube Long Shunt Generator Problems And Solutions This set of dc generator problems with solution focuses on problems based on emf equation of dc generator. The question is as follows: Shunt generator has an armature resistance of 0.018. A long shunt compound dc generator delivers a load current of 50a at 500v and has armature, series field and shunt field. Long Shunt Generator Problems And Solutions.
From www.coursehero.com
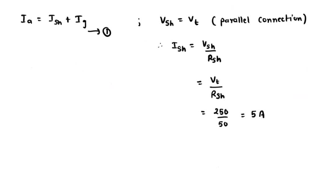
[Solved] A long shunt compound generator delivers 100A, 250V at rated Long Shunt Generator Problems And Solutions This set of dc generator problems with solution focuses on problems based on emf equation of dc generator. A long shunt compound dc generator delivers a load current of 50a at 500v and has armature, series field and shunt field. Shunt generator has an armature resistance of 0.018. The question is as follows: Long Shunt Generator Problems And Solutions.
From www.chegg.com
Solved A4 pole , 250V dc longshunt compound generator Long Shunt Generator Problems And Solutions The question is as follows: This set of dc generator problems with solution focuses on problems based on emf equation of dc generator. Shunt generator has an armature resistance of 0.018. A long shunt compound dc generator delivers a load current of 50a at 500v and has armature, series field and shunt field. Long Shunt Generator Problems And Solutions.
From www.youtube.com
Long Shunt Compounded DC Generator and Motor YouTube Long Shunt Generator Problems And Solutions Shunt generator has an armature resistance of 0.018. This set of dc generator problems with solution focuses on problems based on emf equation of dc generator. A long shunt compound dc generator delivers a load current of 50a at 500v and has armature, series field and shunt field. The question is as follows: Long Shunt Generator Problems And Solutions.
From www.chegg.com
Solved A longshunt compound dc generator as shown in the Long Shunt Generator Problems And Solutions The question is as follows: A long shunt compound dc generator delivers a load current of 50a at 500v and has armature, series field and shunt field. Shunt generator has an armature resistance of 0.018. This set of dc generator problems with solution focuses on problems based on emf equation of dc generator. Long Shunt Generator Problems And Solutions.
From www.coursehero.com
[Solved] A long shunt compound generator delivers 90A, 250V at rated Long Shunt Generator Problems And Solutions The question is as follows: Shunt generator has an armature resistance of 0.018. A long shunt compound dc generator delivers a load current of 50a at 500v and has armature, series field and shunt field. This set of dc generator problems with solution focuses on problems based on emf equation of dc generator. Long Shunt Generator Problems And Solutions.
From www.chegg.com
Solved 2. A 10HP, 110volt long shunt generator runs at 1000 Long Shunt Generator Problems And Solutions This set of dc generator problems with solution focuses on problems based on emf equation of dc generator. The question is as follows: Shunt generator has an armature resistance of 0.018. A long shunt compound dc generator delivers a load current of 50a at 500v and has armature, series field and shunt field. Long Shunt Generator Problems And Solutions.
From www.coursehero.com
[Solved] 1). A 150kw 250V compound generator is connected long shunt. I Long Shunt Generator Problems And Solutions Shunt generator has an armature resistance of 0.018. A long shunt compound dc generator delivers a load current of 50a at 500v and has armature, series field and shunt field. This set of dc generator problems with solution focuses on problems based on emf equation of dc generator. The question is as follows: Long Shunt Generator Problems And Solutions.