Rope Under Tension . To calculate the tension on a rope holding 1 object, multiply the mass and gravitational acceleration of the object. In this article, you can also learn. The tautline hitch is essentially a rolling hitch tied on the standing part of a tight line after it has been secured around a object. A block of mass \(m\) is suspended by a wire, and the upper end of the wire is attached to two more ropes or wires that connect to the ceiling. If the object is experiencing any other. It acts along the length of the wire and is equal and opposite to the applied force, that is, the force with which it is pulled. The tension or tension force is a force experienced by a rope, string, or cable when it is pulled from the opposite end. This tension calculator will teach you how to find the tension force in a rope or string used to lift an object. The resulting tension between the branch and gravity pulls the swing upwards and the branch downwards. Tension is a contact force transmitted through a rope or similar object when forces pull on the object's opposite ends.
from www.theknotsmanual.com
If the object is experiencing any other. In this article, you can also learn. A block of mass \(m\) is suspended by a wire, and the upper end of the wire is attached to two more ropes or wires that connect to the ceiling. The tension or tension force is a force experienced by a rope, string, or cable when it is pulled from the opposite end. The resulting tension between the branch and gravity pulls the swing upwards and the branch downwards. Tension is a contact force transmitted through a rope or similar object when forces pull on the object's opposite ends. The tautline hitch is essentially a rolling hitch tied on the standing part of a tight line after it has been secured around a object. It acts along the length of the wire and is equal and opposite to the applied force, that is, the force with which it is pulled. To calculate the tension on a rope holding 1 object, multiply the mass and gravitational acceleration of the object. This tension calculator will teach you how to find the tension force in a rope or string used to lift an object.
What Determines Rope Strength?
Rope Under Tension A block of mass \(m\) is suspended by a wire, and the upper end of the wire is attached to two more ropes or wires that connect to the ceiling. The resulting tension between the branch and gravity pulls the swing upwards and the branch downwards. In this article, you can also learn. This tension calculator will teach you how to find the tension force in a rope or string used to lift an object. A block of mass \(m\) is suspended by a wire, and the upper end of the wire is attached to two more ropes or wires that connect to the ceiling. The tautline hitch is essentially a rolling hitch tied on the standing part of a tight line after it has been secured around a object. The tension or tension force is a force experienced by a rope, string, or cable when it is pulled from the opposite end. To calculate the tension on a rope holding 1 object, multiply the mass and gravitational acceleration of the object. If the object is experiencing any other. Tension is a contact force transmitted through a rope or similar object when forces pull on the object's opposite ends. It acts along the length of the wire and is equal and opposite to the applied force, that is, the force with which it is pulled.
From www.dreamstime.com
Rope Under Tension Stock Photos Free & RoyaltyFree Stock Photos from Rope Under Tension To calculate the tension on a rope holding 1 object, multiply the mass and gravitational acceleration of the object. The resulting tension between the branch and gravity pulls the swing upwards and the branch downwards. Tension is a contact force transmitted through a rope or similar object when forces pull on the object's opposite ends. This tension calculator will teach. Rope Under Tension.
From www.alamy.com
rope ropes under tension stress strain force forces acting on dock boat Rope Under Tension The resulting tension between the branch and gravity pulls the swing upwards and the branch downwards. Tension is a contact force transmitted through a rope or similar object when forces pull on the object's opposite ends. It acts along the length of the wire and is equal and opposite to the applied force, that is, the force with which it. Rope Under Tension.
From www.alamy.com
Locked padlock secures two separate ropes together under tension Stock Rope Under Tension It acts along the length of the wire and is equal and opposite to the applied force, that is, the force with which it is pulled. Tension is a contact force transmitted through a rope or similar object when forces pull on the object's opposite ends. If the object is experiencing any other. This tension calculator will teach you how. Rope Under Tension.
From www.alamy.com
Tension Rope High Resolution Stock Photography and Images Alamy Rope Under Tension If the object is experiencing any other. This tension calculator will teach you how to find the tension force in a rope or string used to lift an object. The tension or tension force is a force experienced by a rope, string, or cable when it is pulled from the opposite end. The resulting tension between the branch and gravity. Rope Under Tension.
From www.dreamstime.com
Rope Under Tension, the Moment before Splitting Stock Photo Image of Rope Under Tension This tension calculator will teach you how to find the tension force in a rope or string used to lift an object. To calculate the tension on a rope holding 1 object, multiply the mass and gravitational acceleration of the object. A block of mass \(m\) is suspended by a wire, and the upper end of the wire is attached. Rope Under Tension.
From www.youtube.com
Rope Tensioning System How to Use a "Cow Hitch" Tension Locking Knot Rope Under Tension Tension is a contact force transmitted through a rope or similar object when forces pull on the object's opposite ends. A block of mass \(m\) is suspended by a wire, and the upper end of the wire is attached to two more ropes or wires that connect to the ceiling. The tension or tension force is a force experienced by. Rope Under Tension.
From www.shutterstock.com
CloseUp Of Ship'S Rope Under Tension Stock Photo 264026 Shutterstock Rope Under Tension To calculate the tension on a rope holding 1 object, multiply the mass and gravitational acceleration of the object. Tension is a contact force transmitted through a rope or similar object when forces pull on the object's opposite ends. The resulting tension between the branch and gravity pulls the swing upwards and the branch downwards. In this article, you can. Rope Under Tension.
From www.youtube.com
Put Incredible Tension on a Rope with these Knots YouTube Rope Under Tension A block of mass \(m\) is suspended by a wire, and the upper end of the wire is attached to two more ropes or wires that connect to the ceiling. In this article, you can also learn. If the object is experiencing any other. This tension calculator will teach you how to find the tension force in a rope or. Rope Under Tension.
From byjus.com
A heavy block of mass M hangs in equilibrium at the end of a rope of Rope Under Tension It acts along the length of the wire and is equal and opposite to the applied force, that is, the force with which it is pulled. A block of mass \(m\) is suspended by a wire, and the upper end of the wire is attached to two more ropes or wires that connect to the ceiling. In this article, you. Rope Under Tension.
From www.dreamstime.com
Rope Under Tension Stock Photos Free & RoyaltyFree Stock Photos from Rope Under Tension It acts along the length of the wire and is equal and opposite to the applied force, that is, the force with which it is pulled. If the object is experiencing any other. To calculate the tension on a rope holding 1 object, multiply the mass and gravitational acceleration of the object. This tension calculator will teach you how to. Rope Under Tension.
From www.theknotsmanual.com
What Determines Rope Strength? Rope Under Tension The resulting tension between the branch and gravity pulls the swing upwards and the branch downwards. The tautline hitch is essentially a rolling hitch tied on the standing part of a tight line after it has been secured around a object. This tension calculator will teach you how to find the tension force in a rope or string used to. Rope Under Tension.
From www.shutterstock.com
Rope Under Tension Moment Before Splitting Stock Photo 233873125 Rope Under Tension The resulting tension between the branch and gravity pulls the swing upwards and the branch downwards. The tension or tension force is a force experienced by a rope, string, or cable when it is pulled from the opposite end. If the object is experiencing any other. A block of mass \(m\) is suspended by a wire, and the upper end. Rope Under Tension.
From www.alamy.com
Ropes under tension Stock Photo Alamy Rope Under Tension The resulting tension between the branch and gravity pulls the swing upwards and the branch downwards. The tautline hitch is essentially a rolling hitch tied on the standing part of a tight line after it has been secured around a object. Tension is a contact force transmitted through a rope or similar object when forces pull on the object's opposite. Rope Under Tension.
From www.istockphoto.com
Pulley And Ropes Under Tension Stock Photo Download Image Now Rope Under Tension It acts along the length of the wire and is equal and opposite to the applied force, that is, the force with which it is pulled. To calculate the tension on a rope holding 1 object, multiply the mass and gravitational acceleration of the object. Tension is a contact force transmitted through a rope or similar object when forces pull. Rope Under Tension.
From www.alamy.com
sports climbing safety rope with iron knot under tension Stock Photo Rope Under Tension It acts along the length of the wire and is equal and opposite to the applied force, that is, the force with which it is pulled. Tension is a contact force transmitted through a rope or similar object when forces pull on the object's opposite ends. If the object is experiencing any other. The resulting tension between the branch and. Rope Under Tension.
From www.alamy.com
Rope under tension Stock Photo Alamy Rope Under Tension The resulting tension between the branch and gravity pulls the swing upwards and the branch downwards. If the object is experiencing any other. The tautline hitch is essentially a rolling hitch tied on the standing part of a tight line after it has been secured around a object. To calculate the tension on a rope holding 1 object, multiply the. Rope Under Tension.
From www.imca-int.com
Rope under tension parted on deck IMCA Rope Under Tension The resulting tension between the branch and gravity pulls the swing upwards and the branch downwards. To calculate the tension on a rope holding 1 object, multiply the mass and gravitational acceleration of the object. The tension or tension force is a force experienced by a rope, string, or cable when it is pulled from the opposite end. Tension is. Rope Under Tension.
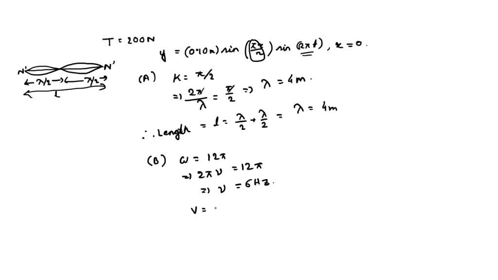
From www.numerade.com
SOLVED A rope, under tension of 200 N and fixed at both ends Rope Under Tension In this article, you can also learn. Tension is a contact force transmitted through a rope or similar object when forces pull on the object's opposite ends. This tension calculator will teach you how to find the tension force in a rope or string used to lift an object. It acts along the length of the wire and is equal. Rope Under Tension.
From www.youtube.com
Cutting a rope under tension YouTube Rope Under Tension It acts along the length of the wire and is equal and opposite to the applied force, that is, the force with which it is pulled. A block of mass \(m\) is suspended by a wire, and the upper end of the wire is attached to two more ropes or wires that connect to the ceiling. The tautline hitch is. Rope Under Tension.
From ar.inspiredpencil.com
Rope Pulling Tension Rope Under Tension The tension or tension force is a force experienced by a rope, string, or cable when it is pulled from the opposite end. It acts along the length of the wire and is equal and opposite to the applied force, that is, the force with which it is pulled. If the object is experiencing any other. To calculate the tension. Rope Under Tension.
From www.alamy.com
Under extreme tension. Athletic contest. Tug war is a sport. Male hands Rope Under Tension If the object is experiencing any other. To calculate the tension on a rope holding 1 object, multiply the mass and gravitational acceleration of the object. Tension is a contact force transmitted through a rope or similar object when forces pull on the object's opposite ends. A block of mass \(m\) is suspended by a wire, and the upper end. Rope Under Tension.
From www.istockphoto.com
Ropes Under Tension And Pulley Stock Photo Download Image Now Rope Under Tension The resulting tension between the branch and gravity pulls the swing upwards and the branch downwards. Tension is a contact force transmitted through a rope or similar object when forces pull on the object's opposite ends. The tension or tension force is a force experienced by a rope, string, or cable when it is pulled from the opposite end. To. Rope Under Tension.
From www.slideserve.com
PPT Tension in a rope has two properties * it is evenly distributed Rope Under Tension This tension calculator will teach you how to find the tension force in a rope or string used to lift an object. To calculate the tension on a rope holding 1 object, multiply the mass and gravitational acceleration of the object. The tautline hitch is essentially a rolling hitch tied on the standing part of a tight line after it. Rope Under Tension.
From www.chegg.com
Solved A rope, under tension of 200 N and fixed at both Rope Under Tension Tension is a contact force transmitted through a rope or similar object when forces pull on the object's opposite ends. The tautline hitch is essentially a rolling hitch tied on the standing part of a tight line after it has been secured around a object. If the object is experiencing any other. This tension calculator will teach you how to. Rope Under Tension.
From www.slideserve.com
PPT Tension in a rope has two properties * it is evenly distributed Rope Under Tension If the object is experiencing any other. This tension calculator will teach you how to find the tension force in a rope or string used to lift an object. A block of mass \(m\) is suspended by a wire, and the upper end of the wire is attached to two more ropes or wires that connect to the ceiling. The. Rope Under Tension.
From www.alamy.com
Rope Tension Stock Photos & Rope Tension Stock Images Alamy Rope Under Tension It acts along the length of the wire and is equal and opposite to the applied force, that is, the force with which it is pulled. In this article, you can also learn. The tautline hitch is essentially a rolling hitch tied on the standing part of a tight line after it has been secured around a object. To calculate. Rope Under Tension.
From www.dreamstime.com
Metal Fastening on the Ring. the Ring Holds the Rope Under Tension Rope Under Tension The tension or tension force is a force experienced by a rope, string, or cable when it is pulled from the opposite end. This tension calculator will teach you how to find the tension force in a rope or string used to lift an object. A block of mass \(m\) is suspended by a wire, and the upper end of. Rope Under Tension.
From www.youtube.com
BEST Tensioning Knot Taut Line Hitch HOW TO YouTube Rope Under Tension The tension or tension force is a force experienced by a rope, string, or cable when it is pulled from the opposite end. If the object is experiencing any other. This tension calculator will teach you how to find the tension force in a rope or string used to lift an object. In this article, you can also learn. The. Rope Under Tension.
From readingandwritingprojectcom.web.fc2.com
how to find tension in a rope Rope Under Tension This tension calculator will teach you how to find the tension force in a rope or string used to lift an object. A block of mass \(m\) is suspended by a wire, and the upper end of the wire is attached to two more ropes or wires that connect to the ceiling. Tension is a contact force transmitted through a. Rope Under Tension.
From www.alamy.com
Rope Tension Stock Photos & Rope Tension Stock Images Alamy Rope Under Tension To calculate the tension on a rope holding 1 object, multiply the mass and gravitational acceleration of the object. Tension is a contact force transmitted through a rope or similar object when forces pull on the object's opposite ends. If the object is experiencing any other. The tension or tension force is a force experienced by a rope, string, or. Rope Under Tension.
From www.inc.com
10 Best Ways to Handle Stress Under Pressure Rope Under Tension The resulting tension between the branch and gravity pulls the swing upwards and the branch downwards. To calculate the tension on a rope holding 1 object, multiply the mass and gravitational acceleration of the object. In this article, you can also learn. The tautline hitch is essentially a rolling hitch tied on the standing part of a tight line after. Rope Under Tension.
From www.numerade.com
A rope, under a tension of 200 N and fixed at both ends, oscillates in Rope Under Tension Tension is a contact force transmitted through a rope or similar object when forces pull on the object's opposite ends. This tension calculator will teach you how to find the tension force in a rope or string used to lift an object. The tension or tension force is a force experienced by a rope, string, or cable when it is. Rope Under Tension.
From www.alamy.com
Rope under tension Stock Photo Alamy Rope Under Tension To calculate the tension on a rope holding 1 object, multiply the mass and gravitational acceleration of the object. The tension or tension force is a force experienced by a rope, string, or cable when it is pulled from the opposite end. In this article, you can also learn. A block of mass \(m\) is suspended by a wire, and. Rope Under Tension.
From www.alamy.com
On the photo you can see three ship ropes under tension Stock Photo Alamy Rope Under Tension Tension is a contact force transmitted through a rope or similar object when forces pull on the object's opposite ends. The tautline hitch is essentially a rolling hitch tied on the standing part of a tight line after it has been secured around a object. To calculate the tension on a rope holding 1 object, multiply the mass and gravitational. Rope Under Tension.
From www.alamy.com
Rope under tension Stock Photo Alamy Rope Under Tension If the object is experiencing any other. To calculate the tension on a rope holding 1 object, multiply the mass and gravitational acceleration of the object. In this article, you can also learn. This tension calculator will teach you how to find the tension force in a rope or string used to lift an object. Tension is a contact force. Rope Under Tension.