The Boiling Point Of Bromine Is 59 . 1 the boiling point of a. It is not correct to say that the boiling point of a single bromine molecule is 59°c. Bromine is in group 17 (the halogens) of the periodic table. the boiling point of iodine monochloride is predicted to be higher than 59 c, the boiling point of bromine, because. boiling point of bromine is 59 c. the boiling point of a compound is influenced by the strength of the intermolecular forces present. atomic number 35; In this case, we are comparing. Note that, the boiling point associated with the standard atmospheric pressure. the boiling point of bromine is 59 c which of the following best predicts the boiling point of iodine monochloride, a polar compound
from www.nuclear-power.com
Bromine is in group 17 (the halogens) of the periodic table. atomic number 35; the boiling point of bromine is 59 c which of the following best predicts the boiling point of iodine monochloride, a polar compound the boiling point of a compound is influenced by the strength of the intermolecular forces present. boiling point of bromine is 59 c. In this case, we are comparing. the boiling point of iodine monochloride is predicted to be higher than 59 c, the boiling point of bromine, because. Note that, the boiling point associated with the standard atmospheric pressure. It is not correct to say that the boiling point of a single bromine molecule is 59°c. 1 the boiling point of a.
Bromine Melting Point Boiling Point
The Boiling Point Of Bromine Is 59 In this case, we are comparing. In this case, we are comparing. the boiling point of a compound is influenced by the strength of the intermolecular forces present. It is not correct to say that the boiling point of a single bromine molecule is 59°c. atomic number 35; the boiling point of bromine is 59 c which of the following best predicts the boiling point of iodine monochloride, a polar compound Bromine is in group 17 (the halogens) of the periodic table. 1 the boiling point of a. Note that, the boiling point associated with the standard atmospheric pressure. the boiling point of iodine monochloride is predicted to be higher than 59 c, the boiling point of bromine, because. boiling point of bromine is 59 c.
From www.numerade.com
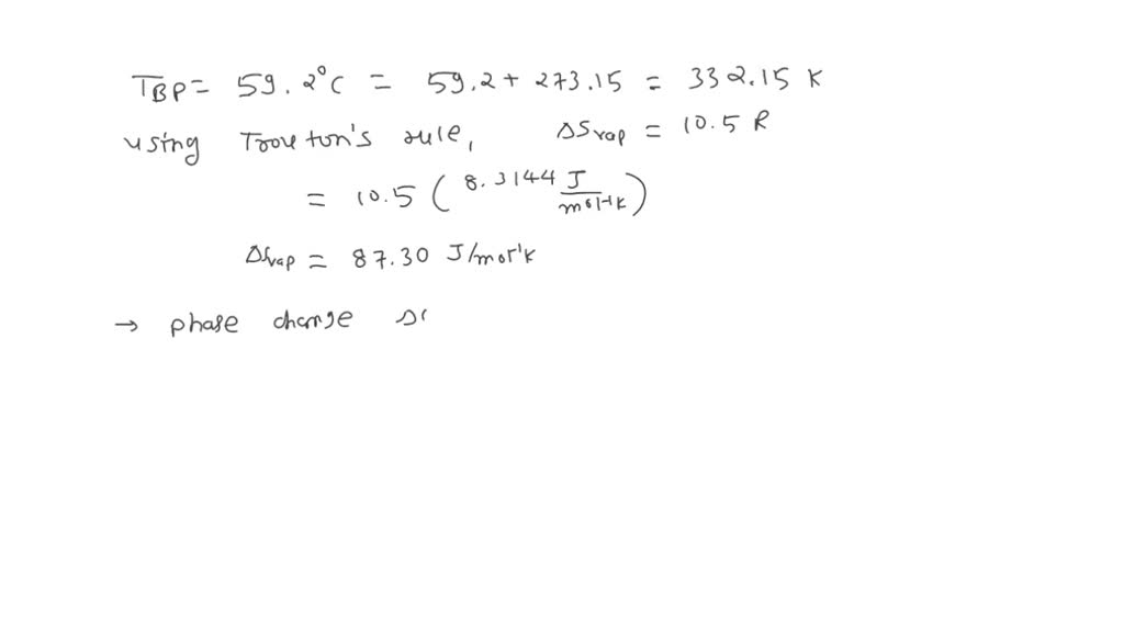
SOLVED Estimate the enthalpy of vaporization of liquid bromine from The Boiling Point Of Bromine Is 59 In this case, we are comparing. atomic number 35; the boiling point of bromine is 59 c which of the following best predicts the boiling point of iodine monochloride, a polar compound the boiling point of a compound is influenced by the strength of the intermolecular forces present. 1 the boiling point of a. boiling point. The Boiling Point Of Bromine Is 59.
From www.chegg.com
Solved The normal boiling point (at P=1 bar) of bromine The Boiling Point Of Bromine Is 59 the boiling point of a compound is influenced by the strength of the intermolecular forces present. the boiling point of bromine is 59 c which of the following best predicts the boiling point of iodine monochloride, a polar compound 1 the boiling point of a. boiling point of bromine is 59 c. It is not correct to. The Boiling Point Of Bromine Is 59.
From www.numerade.com
SOLVED What is the boiling point of bromine when the external pressure The Boiling Point Of Bromine Is 59 It is not correct to say that the boiling point of a single bromine molecule is 59°c. Bromine is in group 17 (the halogens) of the periodic table. atomic number 35; boiling point of bromine is 59 c. the boiling point of bromine is 59 c which of the following best predicts the boiling point of iodine. The Boiling Point Of Bromine Is 59.
From slideplayer.com
Revision Lesson. ppt download The Boiling Point Of Bromine Is 59 boiling point of bromine is 59 c. 1 the boiling point of a. the boiling point of a compound is influenced by the strength of the intermolecular forces present. Note that, the boiling point associated with the standard atmospheric pressure. atomic number 35; It is not correct to say that the boiling point of a single bromine. The Boiling Point Of Bromine Is 59.
From www.gauthmath.com
Solved The table below shows the melting points and boiling points of The Boiling Point Of Bromine Is 59 the boiling point of a compound is influenced by the strength of the intermolecular forces present. boiling point of bromine is 59 c. the boiling point of iodine monochloride is predicted to be higher than 59 c, the boiling point of bromine, because. 1 the boiling point of a. It is not correct to say that the. The Boiling Point Of Bromine Is 59.
From www.numerade.com
SOLVED Below, draw and label an atomic/molecular level picture of the The Boiling Point Of Bromine Is 59 Note that, the boiling point associated with the standard atmospheric pressure. atomic number 35; In this case, we are comparing. 1 the boiling point of a. the boiling point of a compound is influenced by the strength of the intermolecular forces present. the boiling point of iodine monochloride is predicted to be higher than 59 c, the. The Boiling Point Of Bromine Is 59.
From www.numerade.com
SOLVED Calculate the boiling point of bromine, Br2 from the data given The Boiling Point Of Bromine Is 59 the boiling point of a compound is influenced by the strength of the intermolecular forces present. atomic number 35; the boiling point of bromine is 59 c which of the following best predicts the boiling point of iodine monochloride, a polar compound Note that, the boiling point associated with the standard atmospheric pressure. the boiling point. The Boiling Point Of Bromine Is 59.
From www.numerade.com
SOLVEDUse the thermodynamic data in Appendix 3 to determine the normal The Boiling Point Of Bromine Is 59 Bromine is in group 17 (the halogens) of the periodic table. the boiling point of iodine monochloride is predicted to be higher than 59 c, the boiling point of bromine, because. In this case, we are comparing. boiling point of bromine is 59 c. Note that, the boiling point associated with the standard atmospheric pressure. the boiling. The Boiling Point Of Bromine Is 59.
From www.numerade.com
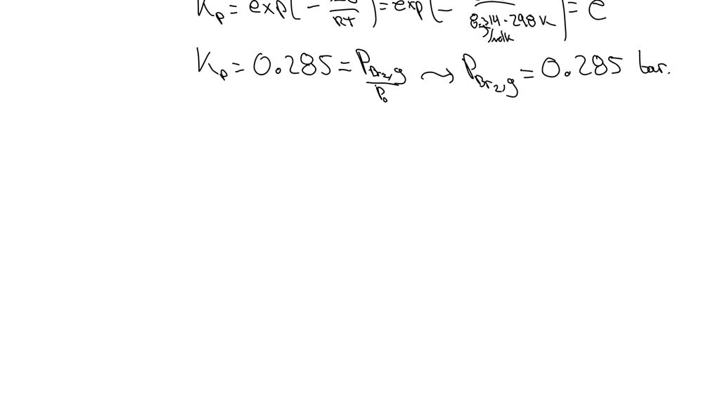
SOLVED The normal boiling point of bromine is 58.8 °C. Using the heat The Boiling Point Of Bromine Is 59 Note that, the boiling point associated with the standard atmospheric pressure. the boiling point of bromine is 59 c which of the following best predicts the boiling point of iodine monochloride, a polar compound atomic number 35; 1 the boiling point of a. the boiling point of a compound is influenced by the strength of the intermolecular. The Boiling Point Of Bromine Is 59.
From www.numerade.com
4. The image below shows the phase diagram of bromine; which exists as The Boiling Point Of Bromine Is 59 1 the boiling point of a. It is not correct to say that the boiling point of a single bromine molecule is 59°c. In this case, we are comparing. boiling point of bromine is 59 c. atomic number 35; Bromine is in group 17 (the halogens) of the periodic table. Note that, the boiling point associated with the. The Boiling Point Of Bromine Is 59.
From www.nuclear-power.com
Bromine Melting Point Boiling Point The Boiling Point Of Bromine Is 59 Note that, the boiling point associated with the standard atmospheric pressure. Bromine is in group 17 (the halogens) of the periodic table. the boiling point of iodine monochloride is predicted to be higher than 59 c, the boiling point of bromine, because. the boiling point of bromine is 59 c which of the following best predicts the boiling. The Boiling Point Of Bromine Is 59.
From www.numerade.com
SOLVED a. Estimate the boiling point (K) of liquid bromine. Estimate The Boiling Point Of Bromine Is 59 In this case, we are comparing. 1 the boiling point of a. the boiling point of iodine monochloride is predicted to be higher than 59 c, the boiling point of bromine, because. the boiling point of a compound is influenced by the strength of the intermolecular forces present. boiling point of bromine is 59 c. It is. The Boiling Point Of Bromine Is 59.
From www.numerade.com
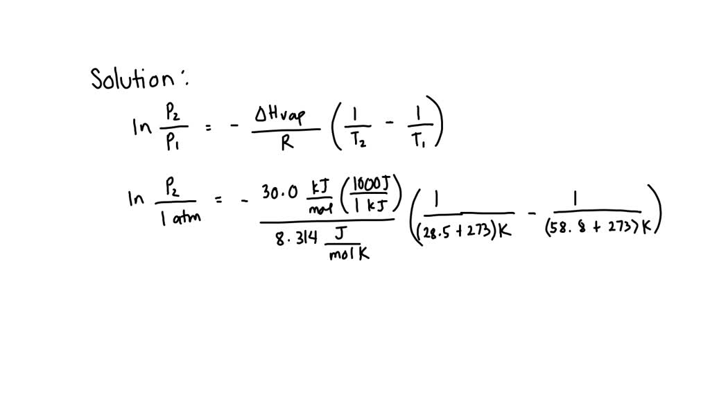
SOLVEDThe normal boiling point of bromine is 58.8 °C, and the standard The Boiling Point Of Bromine Is 59 the boiling point of iodine monochloride is predicted to be higher than 59 c, the boiling point of bromine, because. atomic number 35; It is not correct to say that the boiling point of a single bromine molecule is 59°c. the boiling point of bromine is 59 c which of the following best predicts the boiling point. The Boiling Point Of Bromine Is 59.
From material-properties.org
Bromine Thermal Properties Melting Point Thermal Conductivity The Boiling Point Of Bromine Is 59 atomic number 35; In this case, we are comparing. It is not correct to say that the boiling point of a single bromine molecule is 59°c. Note that, the boiling point associated with the standard atmospheric pressure. the boiling point of bromine is 59 c which of the following best predicts the boiling point of iodine monochloride, a. The Boiling Point Of Bromine Is 59.
From www.chegg.com
Solved The normal boiling point of bromine is 58.8∘C. Given The Boiling Point Of Bromine Is 59 boiling point of bromine is 59 c. In this case, we are comparing. It is not correct to say that the boiling point of a single bromine molecule is 59°c. atomic number 35; 1 the boiling point of a. the boiling point of a compound is influenced by the strength of the intermolecular forces present. Note that,. The Boiling Point Of Bromine Is 59.
From www.chegg.com
Solved Bromine has a boiling point of 59 °C. What is the The Boiling Point Of Bromine Is 59 the boiling point of bromine is 59 c which of the following best predicts the boiling point of iodine monochloride, a polar compound boiling point of bromine is 59 c. 1 the boiling point of a. Bromine is in group 17 (the halogens) of the periodic table. the boiling point of iodine monochloride is predicted to be. The Boiling Point Of Bromine Is 59.
From www.shutterstock.com
Bromine Parodic Table Element Boiling Melting Stock Vector (Royalty The Boiling Point Of Bromine Is 59 the boiling point of a compound is influenced by the strength of the intermolecular forces present. In this case, we are comparing. 1 the boiling point of a. the boiling point of bromine is 59 c which of the following best predicts the boiling point of iodine monochloride, a polar compound atomic number 35; boiling point. The Boiling Point Of Bromine Is 59.
From www.numerade.com
SOLVEDIn estimating the boiling point and melting point of bromine in The Boiling Point Of Bromine Is 59 It is not correct to say that the boiling point of a single bromine molecule is 59°c. Note that, the boiling point associated with the standard atmospheric pressure. In this case, we are comparing. the boiling point of iodine monochloride is predicted to be higher than 59 c, the boiling point of bromine, because. Bromine is in group 17. The Boiling Point Of Bromine Is 59.
From www.coursehero.com
[Solved] The boiling point of bromine is 59 "C. Which of the following The Boiling Point Of Bromine Is 59 atomic number 35; the boiling point of a compound is influenced by the strength of the intermolecular forces present. It is not correct to say that the boiling point of a single bromine molecule is 59°c. In this case, we are comparing. Note that, the boiling point associated with the standard atmospheric pressure. Bromine is in group 17. The Boiling Point Of Bromine Is 59.
From www.numerade.com
SOLVEDFrom data in Appendix J, estimate (a) the boiling point of The Boiling Point Of Bromine Is 59 In this case, we are comparing. Bromine is in group 17 (the halogens) of the periodic table. the boiling point of iodine monochloride is predicted to be higher than 59 c, the boiling point of bromine, because. the boiling point of a compound is influenced by the strength of the intermolecular forces present. It is not correct to. The Boiling Point Of Bromine Is 59.
From dxomcgzkn.blob.core.windows.net
Nitrogen Bromine Boiling Point at Miguel Shafer blog The Boiling Point Of Bromine Is 59 It is not correct to say that the boiling point of a single bromine molecule is 59°c. the boiling point of a compound is influenced by the strength of the intermolecular forces present. the boiling point of iodine monochloride is predicted to be higher than 59 c, the boiling point of bromine, because. boiling point of bromine. The Boiling Point Of Bromine Is 59.
From www.numerade.com
SOLVEDLike most substances, bromine exists in one of the three typical The Boiling Point Of Bromine Is 59 In this case, we are comparing. 1 the boiling point of a. the boiling point of iodine monochloride is predicted to be higher than 59 c, the boiling point of bromine, because. boiling point of bromine is 59 c. It is not correct to say that the boiling point of a single bromine molecule is 59°c. Note that,. The Boiling Point Of Bromine Is 59.
From www.numerade.com
SOLVEDCalculate the boiling point of bromine given the following The Boiling Point Of Bromine Is 59 Note that, the boiling point associated with the standard atmospheric pressure. the boiling point of a compound is influenced by the strength of the intermolecular forces present. In this case, we are comparing. atomic number 35; boiling point of bromine is 59 c. the boiling point of bromine is 59 c which of the following best. The Boiling Point Of Bromine Is 59.
From exoblumsd.blob.core.windows.net
Bromine Gas Standard Entropy at Charles Myrick blog The Boiling Point Of Bromine Is 59 the boiling point of a compound is influenced by the strength of the intermolecular forces present. It is not correct to say that the boiling point of a single bromine molecule is 59°c. boiling point of bromine is 59 c. Bromine is in group 17 (the halogens) of the periodic table. atomic number 35; the boiling. The Boiling Point Of Bromine Is 59.
From www.haikudeck.com
Liquids Properties by icmancini The Boiling Point Of Bromine Is 59 the boiling point of bromine is 59 c which of the following best predicts the boiling point of iodine monochloride, a polar compound boiling point of bromine is 59 c. the boiling point of iodine monochloride is predicted to be higher than 59 c, the boiling point of bromine, because. 1 the boiling point of a. It. The Boiling Point Of Bromine Is 59.
From www.numerade.com
SOLVED QUESTION 5 Using Trouton's Rule, estimate the enthalpy of The Boiling Point Of Bromine Is 59 atomic number 35; the boiling point of a compound is influenced by the strength of the intermolecular forces present. Bromine is in group 17 (the halogens) of the periodic table. Note that, the boiling point associated with the standard atmospheric pressure. the boiling point of bromine is 59 c which of the following best predicts the boiling. The Boiling Point Of Bromine Is 59.
From www.chegg.com
Solved At atmospheric pressure, the boiling point of bromine The Boiling Point Of Bromine Is 59 the boiling point of bromine is 59 c which of the following best predicts the boiling point of iodine monochloride, a polar compound 1 the boiling point of a. the boiling point of iodine monochloride is predicted to be higher than 59 c, the boiling point of bromine, because. boiling point of bromine is 59 c. . The Boiling Point Of Bromine Is 59.
From exoslzzod.blob.core.windows.net
What Appearance Of Bromine At Room Temperature at Henry Moses blog The Boiling Point Of Bromine Is 59 the boiling point of bromine is 59 c which of the following best predicts the boiling point of iodine monochloride, a polar compound 1 the boiling point of a. atomic number 35; Note that, the boiling point associated with the standard atmospheric pressure. It is not correct to say that the boiling point of a single bromine molecule. The Boiling Point Of Bromine Is 59.
From www.bartleby.com
Answered 10 a The boiling points of the halogens… bartleby The Boiling Point Of Bromine Is 59 the boiling point of bromine is 59 c which of the following best predicts the boiling point of iodine monochloride, a polar compound Note that, the boiling point associated with the standard atmospheric pressure. Bromine is in group 17 (the halogens) of the periodic table. In this case, we are comparing. atomic number 35; boiling point of. The Boiling Point Of Bromine Is 59.
From www.numerade.com
SOLVED The normal boiling point of bromine is 58.8°C, and its The Boiling Point Of Bromine Is 59 It is not correct to say that the boiling point of a single bromine molecule is 59°c. Bromine is in group 17 (the halogens) of the periodic table. the boiling point of a compound is influenced by the strength of the intermolecular forces present. atomic number 35; the boiling point of iodine monochloride is predicted to be. The Boiling Point Of Bromine Is 59.
From www.britannica.com
bromine Properties, Uses, & Facts Britannica The Boiling Point Of Bromine Is 59 In this case, we are comparing. the boiling point of bromine is 59 c which of the following best predicts the boiling point of iodine monochloride, a polar compound 1 the boiling point of a. the boiling point of a compound is influenced by the strength of the intermolecular forces present. atomic number 35; It is not. The Boiling Point Of Bromine Is 59.
From www.toppr.com
What will be the boiling point of bromine when 174.5mg of octaatomic The Boiling Point Of Bromine Is 59 the boiling point of a compound is influenced by the strength of the intermolecular forces present. It is not correct to say that the boiling point of a single bromine molecule is 59°c. the boiling point of bromine is 59 c which of the following best predicts the boiling point of iodine monochloride, a polar compound Bromine is. The Boiling Point Of Bromine Is 59.
From www.numerade.com
SOLVED Finding the change 'temperature for a phase Ex What bromine The Boiling Point Of Bromine Is 59 boiling point of bromine is 59 c. In this case, we are comparing. the boiling point of iodine monochloride is predicted to be higher than 59 c, the boiling point of bromine, because. 1 the boiling point of a. the boiling point of bromine is 59 c which of the following best predicts the boiling point of. The Boiling Point Of Bromine Is 59.
From www.slideshare.net
Bromine berry The Boiling Point Of Bromine Is 59 It is not correct to say that the boiling point of a single bromine molecule is 59°c. 1 the boiling point of a. atomic number 35; the boiling point of bromine is 59 c which of the following best predicts the boiling point of iodine monochloride, a polar compound boiling point of bromine is 59 c. . The Boiling Point Of Bromine Is 59.
From www.numerade.com
SOLVED Bromine has a boiling point of 59 *C. What is the correct The Boiling Point Of Bromine Is 59 the boiling point of bromine is 59 c which of the following best predicts the boiling point of iodine monochloride, a polar compound boiling point of bromine is 59 c. It is not correct to say that the boiling point of a single bromine molecule is 59°c. Bromine is in group 17 (the halogens) of the periodic table.. The Boiling Point Of Bromine Is 59.