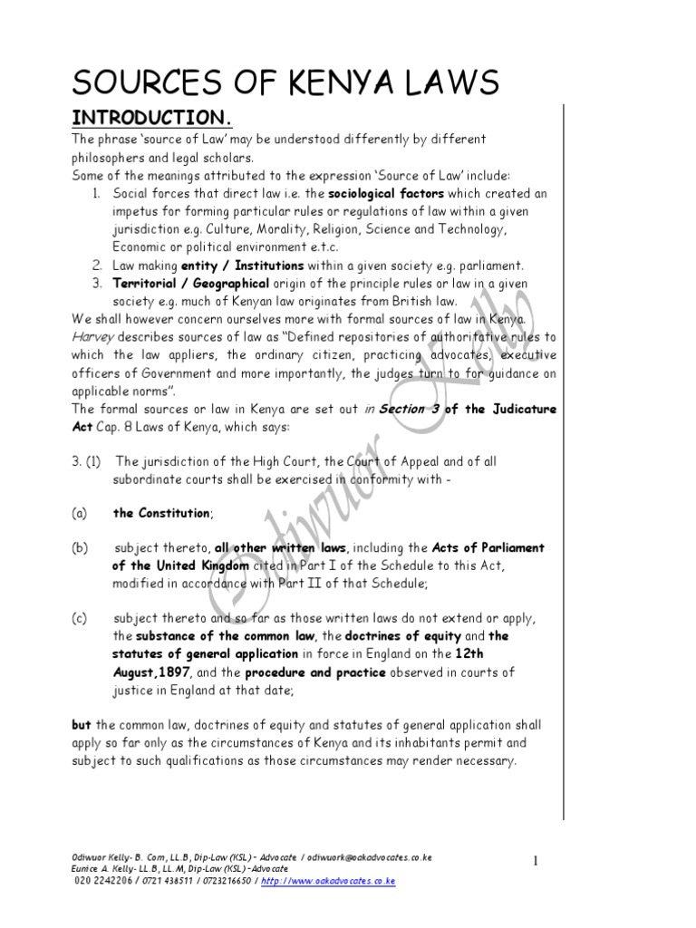
Sources Of Law In Kenya Notes . The judicature act and the constitution supply a good basis for the. the constitution is the most important source of law in kenya. the phrase `sources of kenya law’ therefore means the origin of the legal rules which constitute the law of kenya. This is a body of basic rules and principles by which a society has resolved to govern itself or. Hindu marriage and divorce act. sources of law in kenya. material sources of law in kenya. the various sources of law of kenya are identified by: these are sources of law which regulate certain categories of people in kenya in relation to certain matters and include:. the sources of law in kenya are provided for under section 3 of the judicature act cap 8 laws of kenya (as amended by act no.
from www.academia.edu
the phrase `sources of kenya law’ therefore means the origin of the legal rules which constitute the law of kenya. these are sources of law which regulate certain categories of people in kenya in relation to certain matters and include:. the various sources of law of kenya are identified by: Hindu marriage and divorce act. This is a body of basic rules and principles by which a society has resolved to govern itself or. the constitution is the most important source of law in kenya. sources of law in kenya. the sources of law in kenya are provided for under section 3 of the judicature act cap 8 laws of kenya (as amended by act no. The judicature act and the constitution supply a good basis for the. material sources of law in kenya.
ENVIRONMENTAL LAW IN KENYA Notes GL M NG Academia.edu
Sources Of Law In Kenya Notes these are sources of law which regulate certain categories of people in kenya in relation to certain matters and include:. the sources of law in kenya are provided for under section 3 of the judicature act cap 8 laws of kenya (as amended by act no. sources of law in kenya. the various sources of law of kenya are identified by: This is a body of basic rules and principles by which a society has resolved to govern itself or. these are sources of law which regulate certain categories of people in kenya in relation to certain matters and include:. Hindu marriage and divorce act. the phrase `sources of kenya law’ therefore means the origin of the legal rules which constitute the law of kenya. The judicature act and the constitution supply a good basis for the. the constitution is the most important source of law in kenya. material sources of law in kenya.
From www.tuko.co.ke
Sources of Law in Kenya What is the Kenyan Law based on? Tuko.co.ke Sources Of Law In Kenya Notes material sources of law in kenya. these are sources of law which regulate certain categories of people in kenya in relation to certain matters and include:. the constitution is the most important source of law in kenya. This is a body of basic rules and principles by which a society has resolved to govern itself or. . Sources Of Law In Kenya Notes.
From www.studocu.com
Sources OF LAW Lecture notes 1 THE SOURCES OF LAW IN KENYA LESSON Sources Of Law In Kenya Notes these are sources of law which regulate certain categories of people in kenya in relation to certain matters and include:. Hindu marriage and divorce act. material sources of law in kenya. the phrase `sources of kenya law’ therefore means the origin of the legal rules which constitute the law of kenya. the constitution is the most. Sources Of Law In Kenya Notes.
From www.studocu.com
kenya notice on laws [ 2395 THE KENYA GAZETTE Published by Authority Sources Of Law In Kenya Notes This is a body of basic rules and principles by which a society has resolved to govern itself or. sources of law in kenya. The judicature act and the constitution supply a good basis for the. the various sources of law of kenya are identified by: the sources of law in kenya are provided for under section. Sources Of Law In Kenya Notes.
From www.studocu.com
Sources of Business Law The bulk of the Kenyan Business Law is based Sources Of Law In Kenya Notes material sources of law in kenya. Hindu marriage and divorce act. The judicature act and the constitution supply a good basis for the. the various sources of law of kenya are identified by: the phrase `sources of kenya law’ therefore means the origin of the legal rules which constitute the law of kenya. the sources of. Sources Of Law In Kenya Notes.
From www.scribd.com
0 CltIntroduction PDF Sources Of Law Kenya Sources Of Law In Kenya Notes Hindu marriage and divorce act. the sources of law in kenya are provided for under section 3 of the judicature act cap 8 laws of kenya (as amended by act no. the phrase `sources of kenya law’ therefore means the origin of the legal rules which constitute the law of kenya. The judicature act and the constitution supply. Sources Of Law In Kenya Notes.
From www.scribd.com
sources of kenya law Bill (Law) Royal Assent Sources Of Law In Kenya Notes these are sources of law which regulate certain categories of people in kenya in relation to certain matters and include:. the sources of law in kenya are provided for under section 3 of the judicature act cap 8 laws of kenya (as amended by act no. the constitution is the most important source of law in kenya.. Sources Of Law In Kenya Notes.
From victormatara.com
Photos of New Generation Kenyan Currency Notes Ksh 50 to 1000 Sources Of Law In Kenya Notes the phrase `sources of kenya law’ therefore means the origin of the legal rules which constitute the law of kenya. the various sources of law of kenya are identified by: material sources of law in kenya. these are sources of law which regulate certain categories of people in kenya in relation to certain matters and include:.. Sources Of Law In Kenya Notes.
From www.studocu.com
2781Submissions Legal submissions to the law court 1 REPUBLIC OF Sources Of Law In Kenya Notes The judicature act and the constitution supply a good basis for the. Hindu marriage and divorce act. This is a body of basic rules and principles by which a society has resolved to govern itself or. the constitution is the most important source of law in kenya. the sources of law in kenya are provided for under section. Sources Of Law In Kenya Notes.
From nuriakenya.com
A GUIDE TO THE LAWS OF KENYA Nuria Store Sources Of Law In Kenya Notes these are sources of law which regulate certain categories of people in kenya in relation to certain matters and include:. sources of law in kenya. the constitution is the most important source of law in kenya. The judicature act and the constitution supply a good basis for the. Hindu marriage and divorce act. the various sources. Sources Of Law In Kenya Notes.
From www.studocu.com
Tax Law Notes 2 Kenyan Tax Law DISCLAIMER The notes below are Sources Of Law In Kenya Notes the phrase `sources of kenya law’ therefore means the origin of the legal rules which constitute the law of kenya. the various sources of law of kenya are identified by: This is a body of basic rules and principles by which a society has resolved to govern itself or. The judicature act and the constitution supply a good. Sources Of Law In Kenya Notes.
From www.studocu.com
Respondents written Submissions on costs Page 1 of 23 REPUBLIC OF Sources Of Law In Kenya Notes This is a body of basic rules and principles by which a society has resolved to govern itself or. sources of law in kenya. material sources of law in kenya. the constitution is the most important source of law in kenya. the various sources of law of kenya are identified by: Hindu marriage and divorce act.. Sources Of Law In Kenya Notes.
From www.studocu.com
Administrative law Notes Kenya Administrative law, though law is Sources Of Law In Kenya Notes This is a body of basic rules and principles by which a society has resolved to govern itself or. The judicature act and the constitution supply a good basis for the. the sources of law in kenya are provided for under section 3 of the judicature act cap 8 laws of kenya (as amended by act no. the. Sources Of Law In Kenya Notes.
From victormatara.com
Photos of New Generation Kenyan Currency Notes Ksh 50 to 1000 Sources Of Law In Kenya Notes This is a body of basic rules and principles by which a society has resolved to govern itself or. the sources of law in kenya are provided for under section 3 of the judicature act cap 8 laws of kenya (as amended by act no. the phrase `sources of kenya law’ therefore means the origin of the legal. Sources Of Law In Kenya Notes.
From www.bbc.com
Kenya's new banknotes and the battle against corruption BBC News Sources Of Law In Kenya Notes these are sources of law which regulate certain categories of people in kenya in relation to certain matters and include:. the sources of law in kenya are provided for under section 3 of the judicature act cap 8 laws of kenya (as amended by act no. Hindu marriage and divorce act. the phrase `sources of kenya law’. Sources Of Law In Kenya Notes.
From www.academia.edu
ENVIRONMENTAL LAW IN KENYA Notes GL M NG Academia.edu Sources Of Law In Kenya Notes the various sources of law of kenya are identified by: The judicature act and the constitution supply a good basis for the. Hindu marriage and divorce act. the sources of law in kenya are provided for under section 3 of the judicature act cap 8 laws of kenya (as amended by act no. the phrase `sources of. Sources Of Law In Kenya Notes.
From www.slideserve.com
PPT PRESENTATION ON LAW REVISION IN KENYA BY ANN ASUGAH HEAD OF Sources Of Law In Kenya Notes the phrase `sources of kenya law’ therefore means the origin of the legal rules which constitute the law of kenya. the sources of law in kenya are provided for under section 3 of the judicature act cap 8 laws of kenya (as amended by act no. the constitution is the most important source of law in kenya.. Sources Of Law In Kenya Notes.
From open.lib.umn.edu
1.6 Sources of Law Criminal Law Sources Of Law In Kenya Notes the various sources of law of kenya are identified by: the constitution is the most important source of law in kenya. Hindu marriage and divorce act. the sources of law in kenya are provided for under section 3 of the judicature act cap 8 laws of kenya (as amended by act no. material sources of law. Sources Of Law In Kenya Notes.
From victormatara.com
Photos of New Generation Kenyan Currency Notes Ksh 50 to 1000 Sources Of Law In Kenya Notes material sources of law in kenya. the constitution is the most important source of law in kenya. Hindu marriage and divorce act. the sources of law in kenya are provided for under section 3 of the judicature act cap 8 laws of kenya (as amended by act no. the various sources of law of kenya are. Sources Of Law In Kenya Notes.
From victormatara.com
Photos of New Kenyan Currency Notes from 50 to 1000 Notes Sources Of Law In Kenya Notes material sources of law in kenya. sources of law in kenya. the constitution is the most important source of law in kenya. This is a body of basic rules and principles by which a society has resolved to govern itself or. the sources of law in kenya are provided for under section 3 of the judicature. Sources Of Law In Kenya Notes.
From www.pulselive.co.ke
7 security features in new Kenyan banknotes launched by President Uhuru Sources Of Law In Kenya Notes sources of law in kenya. The judicature act and the constitution supply a good basis for the. these are sources of law which regulate certain categories of people in kenya in relation to certain matters and include:. the phrase `sources of kenya law’ therefore means the origin of the legal rules which constitute the law of kenya.. Sources Of Law In Kenya Notes.
From victormatara.com
Photos of New Generation Kenyan Currency Notes Ksh 50 to 1000 Sources Of Law In Kenya Notes the sources of law in kenya are provided for under section 3 of the judicature act cap 8 laws of kenya (as amended by act no. material sources of law in kenya. sources of law in kenya. The judicature act and the constitution supply a good basis for the. Hindu marriage and divorce act. the constitution. Sources Of Law In Kenya Notes.
From ilacnet.org
Rule of Law Assessment Report Kenya International Legal Assistance Sources Of Law In Kenya Notes material sources of law in kenya. the constitution is the most important source of law in kenya. The judicature act and the constitution supply a good basis for the. sources of law in kenya. Hindu marriage and divorce act. these are sources of law which regulate certain categories of people in kenya in relation to certain. Sources Of Law In Kenya Notes.
From www.studocu.com
Sources OF LAW (1) SOURCES OF THE KENYAN LAW A source of law refers Sources Of Law In Kenya Notes The judicature act and the constitution supply a good basis for the. the various sources of law of kenya are identified by: This is a body of basic rules and principles by which a society has resolved to govern itself or. sources of law in kenya. the constitution is the most important source of law in kenya.. Sources Of Law In Kenya Notes.
From www.studocu.com
Company Law Notes Kenya LAW OF BUSINESS ASSOCIATIONS LAW Sources Of Law In Kenya Notes This is a body of basic rules and principles by which a society has resolved to govern itself or. The judicature act and the constitution supply a good basis for the. these are sources of law which regulate certain categories of people in kenya in relation to certain matters and include:. sources of law in kenya. the. Sources Of Law In Kenya Notes.
From victormatara.com
Photos of New Kenyan Currency Notes from 50 to 1000 Notes Sources Of Law In Kenya Notes The judicature act and the constitution supply a good basis for the. sources of law in kenya. these are sources of law which regulate certain categories of people in kenya in relation to certain matters and include:. the phrase `sources of kenya law’ therefore means the origin of the legal rules which constitute the law of kenya.. Sources Of Law In Kenya Notes.
From www.tuko.co.ke
Sources of Law in Kenya What is the Kenyan Law based on? Tuko.co.ke Sources Of Law In Kenya Notes material sources of law in kenya. The judicature act and the constitution supply a good basis for the. sources of law in kenya. these are sources of law which regulate certain categories of people in kenya in relation to certain matters and include:. Hindu marriage and divorce act. the phrase `sources of kenya law’ therefore means. Sources Of Law In Kenya Notes.
From www.studocu.com
Hierarchy of Various Sources of Kenyan Laws criminal law UoN Studocu Sources Of Law In Kenya Notes The judicature act and the constitution supply a good basis for the. This is a body of basic rules and principles by which a society has resolved to govern itself or. material sources of law in kenya. the sources of law in kenya are provided for under section 3 of the judicature act cap 8 laws of kenya. Sources Of Law In Kenya Notes.
From www.studocu.com
Kenya court decision demonstrates respect for rule of law Kenya court Sources Of Law In Kenya Notes material sources of law in kenya. This is a body of basic rules and principles by which a society has resolved to govern itself or. sources of law in kenya. these are sources of law which regulate certain categories of people in kenya in relation to certain matters and include:. the constitution is the most important. Sources Of Law In Kenya Notes.
From victormatara.com
Photos of New Kenyan Currency Notes from 50 to 1000 Notes Sources Of Law In Kenya Notes The judicature act and the constitution supply a good basis for the. the phrase `sources of kenya law’ therefore means the origin of the legal rules which constitute the law of kenya. the various sources of law of kenya are identified by: these are sources of law which regulate certain categories of people in kenya in relation. Sources Of Law In Kenya Notes.
From www.studocu.com
Memo of Appeal Lecture notes 1,3,3, REPUBLIC OF KENYA IN THE HIGH Sources Of Law In Kenya Notes sources of law in kenya. material sources of law in kenya. Hindu marriage and divorce act. the sources of law in kenya are provided for under section 3 of the judicature act cap 8 laws of kenya (as amended by act no. these are sources of law which regulate certain categories of people in kenya in. Sources Of Law In Kenya Notes.
From www.studocu.com
Property law kenyan perspective PROPERTY LAW Class Notes University Sources Of Law In Kenya Notes the various sources of law of kenya are identified by: these are sources of law which regulate certain categories of people in kenya in relation to certain matters and include:. material sources of law in kenya. Hindu marriage and divorce act. The judicature act and the constitution supply a good basis for the. the constitution is. Sources Of Law In Kenya Notes.
From www.studocu.com
Topic TWO Sources OF LAW TOPIC TWO SOURCES OF KENYA LAW The phrase Sources Of Law In Kenya Notes the constitution is the most important source of law in kenya. This is a body of basic rules and principles by which a society has resolved to govern itself or. sources of law in kenya. material sources of law in kenya. the phrase `sources of kenya law’ therefore means the origin of the legal rules which. Sources Of Law In Kenya Notes.
From www.scribd.com
Sources of Kenya Lawsmodified for Ccm on 26042011(1) Precedent Sources Of Law In Kenya Notes the sources of law in kenya are provided for under section 3 of the judicature act cap 8 laws of kenya (as amended by act no. the constitution is the most important source of law in kenya. This is a body of basic rules and principles by which a society has resolved to govern itself or. The judicature. Sources Of Law In Kenya Notes.
From www.youtube.com
Features of the new Kenyan currency notes. YouTube Sources Of Law In Kenya Notes This is a body of basic rules and principles by which a society has resolved to govern itself or. The judicature act and the constitution supply a good basis for the. material sources of law in kenya. the sources of law in kenya are provided for under section 3 of the judicature act cap 8 laws of kenya. Sources Of Law In Kenya Notes.
From urbankenyans.com
How to get the new Ksh 1000 notes Sources Of Law In Kenya Notes sources of law in kenya. these are sources of law which regulate certain categories of people in kenya in relation to certain matters and include:. the constitution is the most important source of law in kenya. Hindu marriage and divorce act. This is a body of basic rules and principles by which a society has resolved to. Sources Of Law In Kenya Notes.