Kcse Computer Studies Paper 1 2021 . Answer all the questions in this section. download free kcse past papers and marking schemes from 1996 to 2021. computer studies 451/1 turn over 2 1. This paper consists of two sections; These knec kcse papers are in pdf, docx formats all. 2 ½ hours kenya certificate of secondary education (k.c.s.e) instructions to. Define the following terms as used in computer. 451/1 computer studies paper 1 stime: Download 2021 kcse past papers and marking schemes.
from www.pinterest.com
computer studies 451/1 turn over 2 1. This paper consists of two sections; download free kcse past papers and marking schemes from 1996 to 2021. These knec kcse papers are in pdf, docx formats all. 451/1 computer studies paper 1 stime: Download 2021 kcse past papers and marking schemes. Answer all the questions in this section. 2 ½ hours kenya certificate of secondary education (k.c.s.e) instructions to. Define the following terms as used in computer.
Computer Studies Paper 1 Questions and Answers KCSE 2022 Leakage
Kcse Computer Studies Paper 1 2021 download free kcse past papers and marking schemes from 1996 to 2021. download free kcse past papers and marking schemes from 1996 to 2021. Define the following terms as used in computer. computer studies 451/1 turn over 2 1. Download 2021 kcse past papers and marking schemes. 451/1 computer studies paper 1 stime: 2 ½ hours kenya certificate of secondary education (k.c.s.e) instructions to. This paper consists of two sections; Answer all the questions in this section. These knec kcse papers are in pdf, docx formats all.
From www.scribd.com
2019 KCSE Computer Studies Paper 2 PDF Kcse Computer Studies Paper 1 2021 download free kcse past papers and marking schemes from 1996 to 2021. 451/1 computer studies paper 1 stime: Download 2021 kcse past papers and marking schemes. Answer all the questions in this section. computer studies 451/1 turn over 2 1. 2 ½ hours kenya certificate of secondary education (k.c.s.e) instructions to. This paper consists of two sections;. Kcse Computer Studies Paper 1 2021.
From muthurwa.com
KNEC KCSE 2018 Computer Studies Paper 1&2 Combined with Answers Kcse Computer Studies Paper 1 2021 2 ½ hours kenya certificate of secondary education (k.c.s.e) instructions to. 451/1 computer studies paper 1 stime: Answer all the questions in this section. This paper consists of two sections; download free kcse past papers and marking schemes from 1996 to 2021. Define the following terms as used in computer. These knec kcse papers are in pdf, docx. Kcse Computer Studies Paper 1 2021.
From www.youtube.com
2021 KCSE 451/2 COMPUTER STUDIES PP2 Q1 YouTube Kcse Computer Studies Paper 1 2021 451/1 computer studies paper 1 stime: Answer all the questions in this section. This paper consists of two sections; 2 ½ hours kenya certificate of secondary education (k.c.s.e) instructions to. These knec kcse papers are in pdf, docx formats all. computer studies 451/1 turn over 2 1. Define the following terms as used in computer. download free. Kcse Computer Studies Paper 1 2021.
From www.vrogue.co
Knec Kcse 2019 Computer Studies Paper 1 Past Paper Wi vrogue.co Kcse Computer Studies Paper 1 2021 download free kcse past papers and marking schemes from 1996 to 2021. Answer all the questions in this section. computer studies 451/1 turn over 2 1. 2 ½ hours kenya certificate of secondary education (k.c.s.e) instructions to. Define the following terms as used in computer. 451/1 computer studies paper 1 stime: This paper consists of two sections;. Kcse Computer Studies Paper 1 2021.
From www.youtube.com
Trends in Setting KCSE Computer studies paper 1 and 2 YouTube Kcse Computer Studies Paper 1 2021 These knec kcse papers are in pdf, docx formats all. This paper consists of two sections; download free kcse past papers and marking schemes from 1996 to 2021. Answer all the questions in this section. 2 ½ hours kenya certificate of secondary education (k.c.s.e) instructions to. Download 2021 kcse past papers and marking schemes. computer studies 451/1 turn. Kcse Computer Studies Paper 1 2021.
From www.youtube.com
KCSE and IGCSE Computer studies Exams Revision paper 1 and 2 Kcse Computer Studies Paper 1 2021 This paper consists of two sections; These knec kcse papers are in pdf, docx formats all. Define the following terms as used in computer. Answer all the questions in this section. 451/1 computer studies paper 1 stime: Download 2021 kcse past papers and marking schemes. download free kcse past papers and marking schemes from 1996 to 2021. 2. Kcse Computer Studies Paper 1 2021.
From www.studypool.com
SOLUTION Secret of passing KCSE Computer Studies Paper 1 Form 2 Notes Kcse Computer Studies Paper 1 2021 451/1 computer studies paper 1 stime: This paper consists of two sections; Download 2021 kcse past papers and marking schemes. 2 ½ hours kenya certificate of secondary education (k.c.s.e) instructions to. computer studies 451/1 turn over 2 1. Define the following terms as used in computer. These knec kcse papers are in pdf, docx formats all. download. Kcse Computer Studies Paper 1 2021.
From play.google.com
Computer studies Kcse papers. Apps on Google Play Kcse Computer Studies Paper 1 2021 These knec kcse papers are in pdf, docx formats all. This paper consists of two sections; download free kcse past papers and marking schemes from 1996 to 2021. Define the following terms as used in computer. Download 2021 kcse past papers and marking schemes. 2 ½ hours kenya certificate of secondary education (k.c.s.e) instructions to. computer studies 451/1. Kcse Computer Studies Paper 1 2021.
From www.youtube.com
KCSE Computer Studies Revision KCSE Computer studies paper 1 and 2 Kcse Computer Studies Paper 1 2021 Define the following terms as used in computer. These knec kcse papers are in pdf, docx formats all. download free kcse past papers and marking schemes from 1996 to 2021. Download 2021 kcse past papers and marking schemes. 2 ½ hours kenya certificate of secondary education (k.c.s.e) instructions to. 451/1 computer studies paper 1 stime: This paper consists. Kcse Computer Studies Paper 1 2021.
From www.scribd.com
Spreadsheet 20062021 Kcse Computer Studies Practical PDF Kcse Computer Studies Paper 1 2021 computer studies 451/1 turn over 2 1. 451/1 computer studies paper 1 stime: These knec kcse papers are in pdf, docx formats all. download free kcse past papers and marking schemes from 1996 to 2021. Define the following terms as used in computer. This paper consists of two sections; 2 ½ hours kenya certificate of secondary education. Kcse Computer Studies Paper 1 2021.
From www.kenyaplex.com
2022 KCSE Computer Studies Paper 3 (Project) 11839 Kcse Computer Studies Paper 1 2021 download free kcse past papers and marking schemes from 1996 to 2021. Answer all the questions in this section. Download 2021 kcse past papers and marking schemes. 451/1 computer studies paper 1 stime: computer studies 451/1 turn over 2 1. Define the following terms as used in computer. This paper consists of two sections; These knec kcse. Kcse Computer Studies Paper 1 2021.
From www.studypool.com
SOLUTION Secret of passing KCSE Computer Studies Paper 1 Form 2 Notes Kcse Computer Studies Paper 1 2021 These knec kcse papers are in pdf, docx formats all. download free kcse past papers and marking schemes from 1996 to 2021. 451/1 computer studies paper 1 stime: computer studies 451/1 turn over 2 1. 2 ½ hours kenya certificate of secondary education (k.c.s.e) instructions to. Define the following terms as used in computer. Download 2021 kcse. Kcse Computer Studies Paper 1 2021.
From www.pinterest.com
Computer Studies Paper 1 Questions and Answers KCSE 2022 Leakage Kcse Computer Studies Paper 1 2021 Answer all the questions in this section. 451/1 computer studies paper 1 stime: Define the following terms as used in computer. Download 2021 kcse past papers and marking schemes. computer studies 451/1 turn over 2 1. These knec kcse papers are in pdf, docx formats all. download free kcse past papers and marking schemes from 1996 to. Kcse Computer Studies Paper 1 2021.
From www.scribd.com
2020 KCSE Computer Studies Paper 2 PDF Kcse Computer Studies Paper 1 2021 These knec kcse papers are in pdf, docx formats all. Answer all the questions in this section. This paper consists of two sections; 451/1 computer studies paper 1 stime: computer studies 451/1 turn over 2 1. 2 ½ hours kenya certificate of secondary education (k.c.s.e) instructions to. Define the following terms as used in computer. Download 2021 kcse. Kcse Computer Studies Paper 1 2021.
From muthurwa.com
KNEC KCSE 2019 Computer Studies Paper 1 (Past Paper with Marking Scheme Kcse Computer Studies Paper 1 2021 2 ½ hours kenya certificate of secondary education (k.c.s.e) instructions to. download free kcse past papers and marking schemes from 1996 to 2021. computer studies 451/1 turn over 2 1. Define the following terms as used in computer. This paper consists of two sections; 451/1 computer studies paper 1 stime: Download 2021 kcse past papers and marking. Kcse Computer Studies Paper 1 2021.
From www.studocu.com
2018kcse 2018 computer studies paper 1 ms DISCRETE MATHEMATICS Studocu Kcse Computer Studies Paper 1 2021 2 ½ hours kenya certificate of secondary education (k.c.s.e) instructions to. These knec kcse papers are in pdf, docx formats all. Define the following terms as used in computer. This paper consists of two sections; 451/1 computer studies paper 1 stime: computer studies 451/1 turn over 2 1. download free kcse past papers and marking schemes from. Kcse Computer Studies Paper 1 2021.
From www.youtube.com
2021 KCSE MATHEMATICS PAPER 1 NO 9 YouTube Kcse Computer Studies Paper 1 2021 Answer all the questions in this section. Download 2021 kcse past papers and marking schemes. download free kcse past papers and marking schemes from 1996 to 2021. 2 ½ hours kenya certificate of secondary education (k.c.s.e) instructions to. Define the following terms as used in computer. 451/1 computer studies paper 1 stime: These knec kcse papers are in. Kcse Computer Studies Paper 1 2021.
From www.scribd.com
Kcse 2021 Computer Paper 2 Qns PDF Kcse Computer Studies Paper 1 2021 This paper consists of two sections; 451/1 computer studies paper 1 stime: These knec kcse papers are in pdf, docx formats all. computer studies 451/1 turn over 2 1. Answer all the questions in this section. 2 ½ hours kenya certificate of secondary education (k.c.s.e) instructions to. Download 2021 kcse past papers and marking schemes. download free. Kcse Computer Studies Paper 1 2021.
From www.youtube.com
KCSE 2022 November Computer Studies Paper 1 Marking scheme YouTube Kcse Computer Studies Paper 1 2021 451/1 computer studies paper 1 stime: Define the following terms as used in computer. computer studies 451/1 turn over 2 1. This paper consists of two sections; download free kcse past papers and marking schemes from 1996 to 2021. 2 ½ hours kenya certificate of secondary education (k.c.s.e) instructions to. Download 2021 kcse past papers and marking. Kcse Computer Studies Paper 1 2021.
From play.google.com
Kcse computer studies papers Apps on Google Play Kcse Computer Studies Paper 1 2021 Define the following terms as used in computer. download free kcse past papers and marking schemes from 1996 to 2021. 2 ½ hours kenya certificate of secondary education (k.c.s.e) instructions to. This paper consists of two sections; 451/1 computer studies paper 1 stime: Answer all the questions in this section. computer studies 451/1 turn over 2 1.. Kcse Computer Studies Paper 1 2021.
From www.studypool.com
SOLUTION Secret of passing KCSE Computer Studies Paper 1 Form 2 Notes Kcse Computer Studies Paper 1 2021 Answer all the questions in this section. download free kcse past papers and marking schemes from 1996 to 2021. This paper consists of two sections; These knec kcse papers are in pdf, docx formats all. computer studies 451/1 turn over 2 1. 451/1 computer studies paper 1 stime: Define the following terms as used in computer. Download. Kcse Computer Studies Paper 1 2021.
From www.youtube.com
KCSE 2023 Computer Studies Paper 1 Predictor Series 2 YouTube Kcse Computer Studies Paper 1 2021 Download 2021 kcse past papers and marking schemes. 451/1 computer studies paper 1 stime: This paper consists of two sections; Define the following terms as used in computer. 2 ½ hours kenya certificate of secondary education (k.c.s.e) instructions to. These knec kcse papers are in pdf, docx formats all. Answer all the questions in this section. download free. Kcse Computer Studies Paper 1 2021.
From teacher.co.ke
2021 KCSE Past Papers with Marking Schemes Teacher.co.ke Kcse Computer Studies Paper 1 2021 2 ½ hours kenya certificate of secondary education (k.c.s.e) instructions to. These knec kcse papers are in pdf, docx formats all. computer studies 451/1 turn over 2 1. 451/1 computer studies paper 1 stime: This paper consists of two sections; download free kcse past papers and marking schemes from 1996 to 2021. Download 2021 kcse past papers. Kcse Computer Studies Paper 1 2021.
From teacher.co.ke
2021 KCSE Past Papers with Marking Schemes Teacher.co.ke Kcse Computer Studies Paper 1 2021 Answer all the questions in this section. Define the following terms as used in computer. 2 ½ hours kenya certificate of secondary education (k.c.s.e) instructions to. Download 2021 kcse past papers and marking schemes. download free kcse past papers and marking schemes from 1996 to 2021. 451/1 computer studies paper 1 stime: This paper consists of two sections;. Kcse Computer Studies Paper 1 2021.
From www.studocu.com
Computer KCSE PAST Papers Papers PAST PAPERS COMPUTER STUDIES PAPER 1 Kcse Computer Studies Paper 1 2021 Answer all the questions in this section. download free kcse past papers and marking schemes from 1996 to 2021. Download 2021 kcse past papers and marking schemes. 451/1 computer studies paper 1 stime: computer studies 451/1 turn over 2 1. Define the following terms as used in computer. 2 ½ hours kenya certificate of secondary education (k.c.s.e). Kcse Computer Studies Paper 1 2021.
From www.youtube.com
Computer Studies Paper 2 KCSE 2021 Video Marking Scheme YouTube Kcse Computer Studies Paper 1 2021 download free kcse past papers and marking schemes from 1996 to 2021. Answer all the questions in this section. Define the following terms as used in computer. This paper consists of two sections; 451/1 computer studies paper 1 stime: Download 2021 kcse past papers and marking schemes. computer studies 451/1 turn over 2 1. 2 ½ hours. Kcse Computer Studies Paper 1 2021.
From www.youtube.com
KCSE 2021 Computer Studies PracticalWord Processing Question YouTube Kcse Computer Studies Paper 1 2021 Define the following terms as used in computer. Download 2021 kcse past papers and marking schemes. download free kcse past papers and marking schemes from 1996 to 2021. This paper consists of two sections; 451/1 computer studies paper 1 stime: 2 ½ hours kenya certificate of secondary education (k.c.s.e) instructions to. computer studies 451/1 turn over 2. Kcse Computer Studies Paper 1 2021.
From www.scribd.com
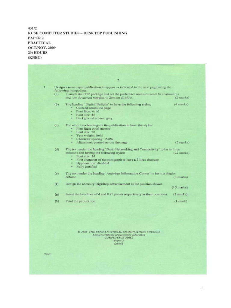
Desktop Publishing 20092021 Kcse Computer Studies Practical PDF Kcse Computer Studies Paper 1 2021 download free kcse past papers and marking schemes from 1996 to 2021. These knec kcse papers are in pdf, docx formats all. Download 2021 kcse past papers and marking schemes. Define the following terms as used in computer. 2 ½ hours kenya certificate of secondary education (k.c.s.e) instructions to. 451/1 computer studies paper 1 stime: computer studies. Kcse Computer Studies Paper 1 2021.
From www.studypool.com
SOLUTION Secret of passing KCSE Computer Studies Paper 1 Form One Kcse Computer Studies Paper 1 2021 Answer all the questions in this section. download free kcse past papers and marking schemes from 1996 to 2021. This paper consists of two sections; These knec kcse papers are in pdf, docx formats all. 451/1 computer studies paper 1 stime: computer studies 451/1 turn over 2 1. Define the following terms as used in computer. Download. Kcse Computer Studies Paper 1 2021.
From www.scribd.com
Kcse 2021 Computer Studies Paper 1 Qns (1) PDF Kcse Computer Studies Paper 1 2021 451/1 computer studies paper 1 stime: This paper consists of two sections; computer studies 451/1 turn over 2 1. Define the following terms as used in computer. Download 2021 kcse past papers and marking schemes. 2 ½ hours kenya certificate of secondary education (k.c.s.e) instructions to. Answer all the questions in this section. These knec kcse papers are. Kcse Computer Studies Paper 1 2021.
From kenyanlife.info
2011 KCSE Computer Studies Past PaperFree KCSE Past Papers with Answers. Kcse Computer Studies Paper 1 2021 These knec kcse papers are in pdf, docx formats all. Define the following terms as used in computer. Download 2021 kcse past papers and marking schemes. computer studies 451/1 turn over 2 1. download free kcse past papers and marking schemes from 1996 to 2021. Answer all the questions in this section. This paper consists of two sections;. Kcse Computer Studies Paper 1 2021.
From www.youtube.com
KCSE 2022 March COMPUTER STUDIES PRACTICAL VIDEO MARKING SCHEME PAPER 2 Kcse Computer Studies Paper 1 2021 computer studies 451/1 turn over 2 1. These knec kcse papers are in pdf, docx formats all. 2 ½ hours kenya certificate of secondary education (k.c.s.e) instructions to. Answer all the questions in this section. 451/1 computer studies paper 1 stime: Define the following terms as used in computer. This paper consists of two sections; Download 2021 kcse. Kcse Computer Studies Paper 1 2021.
From www.youtube.com
KCSE 2020 Computer Studies Paper 1 Revision Marking Scheme Kcse Computer Studies Paper 1 2021 2 ½ hours kenya certificate of secondary education (k.c.s.e) instructions to. These knec kcse papers are in pdf, docx formats all. 451/1 computer studies paper 1 stime: download free kcse past papers and marking schemes from 1996 to 2021. This paper consists of two sections; Download 2021 kcse past papers and marking schemes. computer studies 451/1 turn. Kcse Computer Studies Paper 1 2021.
From www.studypool.com
SOLUTION Secret of passing KCSE Computer Studies Paper 1 Form One Kcse Computer Studies Paper 1 2021 This paper consists of two sections; 2 ½ hours kenya certificate of secondary education (k.c.s.e) instructions to. download free kcse past papers and marking schemes from 1996 to 2021. 451/1 computer studies paper 1 stime: These knec kcse papers are in pdf, docx formats all. Answer all the questions in this section. Download 2021 kcse past papers and. Kcse Computer Studies Paper 1 2021.
From www.youtube.com
Computer Studies Revision computer studies KCSE Computer Studies Kcse Computer Studies Paper 1 2021 These knec kcse papers are in pdf, docx formats all. 2 ½ hours kenya certificate of secondary education (k.c.s.e) instructions to. download free kcse past papers and marking schemes from 1996 to 2021. 451/1 computer studies paper 1 stime: This paper consists of two sections; Define the following terms as used in computer. Answer all the questions in. Kcse Computer Studies Paper 1 2021.