Which Ball Has The Greatest Momentum . A 0.15 kg baseball moving at 10.0 m/s c. Study with quizlet and memorize flashcards containing terms like what is the product of an object's mass and velocity?, which of the. It is a vector quantity having both magnitude and direction. If a ball has the same speed just before being caught and just after being thrown, in which case does the ball undergo the greatest change in. A 4.0 kg bowling ball moving at 2.0 m/s b. Since the mass of the balls is not provided, we can assume that all the balls have the same mass for comparison purposes. Momentum is a fundamental property in physics and is defined as the product of the object’s mass and velocity. Which of the following has the greatest momentum? A 1.6 103 kg car moving at 0.5 m/s d.
from www.youtube.com
If a ball has the same speed just before being caught and just after being thrown, in which case does the ball undergo the greatest change in. Momentum is a fundamental property in physics and is defined as the product of the object’s mass and velocity. It is a vector quantity having both magnitude and direction. Which of the following has the greatest momentum? Since the mass of the balls is not provided, we can assume that all the balls have the same mass for comparison purposes. Study with quizlet and memorize flashcards containing terms like what is the product of an object's mass and velocity?, which of the. A 0.15 kg baseball moving at 10.0 m/s c. A 4.0 kg bowling ball moving at 2.0 m/s b. A 1.6 103 kg car moving at 0.5 m/s d.
Mastering Physics Momentum Problem 9 3 Enhanced with Feedback YouTube
Which Ball Has The Greatest Momentum Since the mass of the balls is not provided, we can assume that all the balls have the same mass for comparison purposes. A 4.0 kg bowling ball moving at 2.0 m/s b. Momentum is a fundamental property in physics and is defined as the product of the object’s mass and velocity. A 1.6 103 kg car moving at 0.5 m/s d. If a ball has the same speed just before being caught and just after being thrown, in which case does the ball undergo the greatest change in. It is a vector quantity having both magnitude and direction. Which of the following has the greatest momentum? Study with quizlet and memorize flashcards containing terms like what is the product of an object's mass and velocity?, which of the. Since the mass of the balls is not provided, we can assume that all the balls have the same mass for comparison purposes. A 0.15 kg baseball moving at 10.0 m/s c.
From www.youtube.com
Mastering Physics Momentum Problem 9 3 Enhanced with Feedback YouTube Which Ball Has The Greatest Momentum A 4.0 kg bowling ball moving at 2.0 m/s b. Which of the following has the greatest momentum? A 1.6 103 kg car moving at 0.5 m/s d. If a ball has the same speed just before being caught and just after being thrown, in which case does the ball undergo the greatest change in. It is a vector quantity. Which Ball Has The Greatest Momentum.
From www.nagwa.com
Question Video Finding a Ball’s Change in Momentum after Collision Which Ball Has The Greatest Momentum Since the mass of the balls is not provided, we can assume that all the balls have the same mass for comparison purposes. If a ball has the same speed just before being caught and just after being thrown, in which case does the ball undergo the greatest change in. Study with quizlet and memorize flashcards containing terms like what. Which Ball Has The Greatest Momentum.
From www.slideserve.com
PPT Chapter 11 PowerPoint Presentation, free download ID5746733 Which Ball Has The Greatest Momentum If a ball has the same speed just before being caught and just after being thrown, in which case does the ball undergo the greatest change in. A 1.6 103 kg car moving at 0.5 m/s d. Which of the following has the greatest momentum? Study with quizlet and memorize flashcards containing terms like what is the product of an. Which Ball Has The Greatest Momentum.
From www.numerade.com
SOLVED Which of the following has the greatest momentum? A. 0.2 kg Which Ball Has The Greatest Momentum It is a vector quantity having both magnitude and direction. Study with quizlet and memorize flashcards containing terms like what is the product of an object's mass and velocity?, which of the. A 0.15 kg baseball moving at 10.0 m/s c. Which of the following has the greatest momentum? A 4.0 kg bowling ball moving at 2.0 m/s b. Momentum. Which Ball Has The Greatest Momentum.
From scienceres-edcp-educ.sites.olt.ubc.ca
Collisions MSTLTT Which Ball Has The Greatest Momentum A 0.15 kg baseball moving at 10.0 m/s c. Since the mass of the balls is not provided, we can assume that all the balls have the same mass for comparison purposes. Study with quizlet and memorize flashcards containing terms like what is the product of an object's mass and velocity?, which of the. A 1.6 103 kg car moving. Which Ball Has The Greatest Momentum.
From www.slideserve.com
PPT "the total momentum of the two balls is the same as it was before Which Ball Has The Greatest Momentum Study with quizlet and memorize flashcards containing terms like what is the product of an object's mass and velocity?, which of the. If a ball has the same speed just before being caught and just after being thrown, in which case does the ball undergo the greatest change in. It is a vector quantity having both magnitude and direction. Which. Which Ball Has The Greatest Momentum.
From www.numerade.com
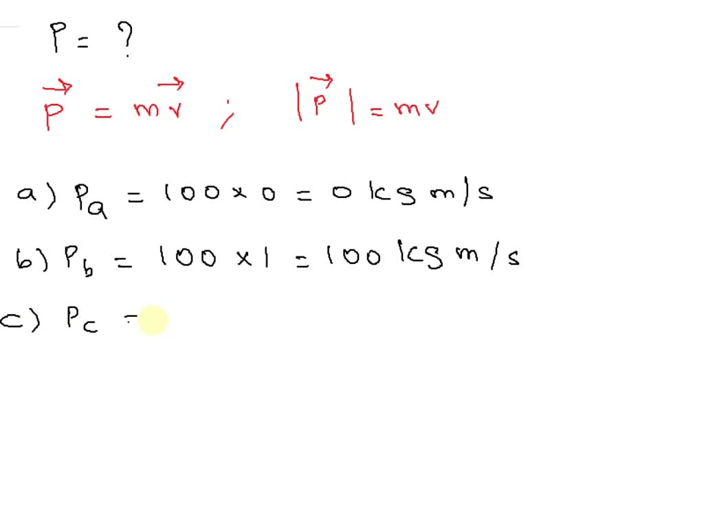
SOLVED 8 Which object has the greatest momentum? a) A 100 kg object at Which Ball Has The Greatest Momentum Study with quizlet and memorize flashcards containing terms like what is the product of an object's mass and velocity?, which of the. Since the mass of the balls is not provided, we can assume that all the balls have the same mass for comparison purposes. A 4.0 kg bowling ball moving at 2.0 m/s b. Which of the following has. Which Ball Has The Greatest Momentum.
From www.slideserve.com
PPT MOMENTUM and IMPULSE PowerPoint Presentation, free download ID Which Ball Has The Greatest Momentum Study with quizlet and memorize flashcards containing terms like what is the product of an object's mass and velocity?, which of the. A 0.15 kg baseball moving at 10.0 m/s c. Which of the following has the greatest momentum? A 1.6 103 kg car moving at 0.5 m/s d. It is a vector quantity having both magnitude and direction. Since. Which Ball Has The Greatest Momentum.
From hedberg.ccnysites.cuny.edu
Phys introphysics / impulsemomentum Which Ball Has The Greatest Momentum Study with quizlet and memorize flashcards containing terms like what is the product of an object's mass and velocity?, which of the. Which of the following has the greatest momentum? A 4.0 kg bowling ball moving at 2.0 m/s b. Since the mass of the balls is not provided, we can assume that all the balls have the same mass. Which Ball Has The Greatest Momentum.
From byjus.com
A ball of mass 20 gram hits a wall at an angle of 45 degree with a Which Ball Has The Greatest Momentum Which of the following has the greatest momentum? If a ball has the same speed just before being caught and just after being thrown, in which case does the ball undergo the greatest change in. Study with quizlet and memorize flashcards containing terms like what is the product of an object's mass and velocity?, which of the. A 0.15 kg. Which Ball Has The Greatest Momentum.
From physics.ucf.edu
Momentum, Impulse, and the Bouncing ball Which Ball Has The Greatest Momentum It is a vector quantity having both magnitude and direction. A 4.0 kg bowling ball moving at 2.0 m/s b. A 0.15 kg baseball moving at 10.0 m/s c. Momentum is a fundamental property in physics and is defined as the product of the object’s mass and velocity. A 1.6 103 kg car moving at 0.5 m/s d. Which of. Which Ball Has The Greatest Momentum.
From www.savemyexams.com
Momentum Oxford AQA IGCSE Physics Revision Notes 2016 Which Ball Has The Greatest Momentum A 1.6 103 kg car moving at 0.5 m/s d. Since the mass of the balls is not provided, we can assume that all the balls have the same mass for comparison purposes. A 0.15 kg baseball moving at 10.0 m/s c. It is a vector quantity having both magnitude and direction. Study with quizlet and memorize flashcards containing terms. Which Ball Has The Greatest Momentum.
From www.slideserve.com
PPT Momentum and Impulse PowerPoint Presentation, free download ID Which Ball Has The Greatest Momentum Which of the following has the greatest momentum? A 0.15 kg baseball moving at 10.0 m/s c. If a ball has the same speed just before being caught and just after being thrown, in which case does the ball undergo the greatest change in. Momentum is a fundamental property in physics and is defined as the product of the object’s. Which Ball Has The Greatest Momentum.
From picture-physics.com
Picture Physics — Momentum Which Ball Has The Greatest Momentum A 1.6 103 kg car moving at 0.5 m/s d. It is a vector quantity having both magnitude and direction. Momentum is a fundamental property in physics and is defined as the product of the object’s mass and velocity. Study with quizlet and memorize flashcards containing terms like what is the product of an object's mass and velocity?, which of. Which Ball Has The Greatest Momentum.
From www.slideserve.com
PPT Momentum PowerPoint Presentation, free download ID587540 Which Ball Has The Greatest Momentum A 4.0 kg bowling ball moving at 2.0 m/s b. A 1.6 103 kg car moving at 0.5 m/s d. Study with quizlet and memorize flashcards containing terms like what is the product of an object's mass and velocity?, which of the. Since the mass of the balls is not provided, we can assume that all the balls have the. Which Ball Has The Greatest Momentum.
From www.chegg.com
Solved Which ball in the table has the greatest momentum? Which Ball Has The Greatest Momentum If a ball has the same speed just before being caught and just after being thrown, in which case does the ball undergo the greatest change in. Which of the following has the greatest momentum? A 1.6 103 kg car moving at 0.5 m/s d. A 0.15 kg baseball moving at 10.0 m/s c. Since the mass of the balls. Which Ball Has The Greatest Momentum.
From www.chegg.com
Solved Which object will have the greatest momentum? A0.5 kg Which Ball Has The Greatest Momentum A 4.0 kg bowling ball moving at 2.0 m/s b. Since the mass of the balls is not provided, we can assume that all the balls have the same mass for comparison purposes. A 0.15 kg baseball moving at 10.0 m/s c. Which of the following has the greatest momentum? If a ball has the same speed just before being. Which Ball Has The Greatest Momentum.
From studylib.net
Momentum Which Ball Has The Greatest Momentum Since the mass of the balls is not provided, we can assume that all the balls have the same mass for comparison purposes. It is a vector quantity having both magnitude and direction. A 4.0 kg bowling ball moving at 2.0 m/s b. Which of the following has the greatest momentum? A 0.15 kg baseball moving at 10.0 m/s c.. Which Ball Has The Greatest Momentum.
From www.chegg.com
Solved Which of the following has the greatest momentum? a Which Ball Has The Greatest Momentum It is a vector quantity having both magnitude and direction. A 4.0 kg bowling ball moving at 2.0 m/s b. A 1.6 103 kg car moving at 0.5 m/s d. A 0.15 kg baseball moving at 10.0 m/s c. Since the mass of the balls is not provided, we can assume that all the balls have the same mass for. Which Ball Has The Greatest Momentum.
From brainly.com
please help ! Which of the following objects has the greatest momentum Which Ball Has The Greatest Momentum It is a vector quantity having both magnitude and direction. A 0.15 kg baseball moving at 10.0 m/s c. A 1.6 103 kg car moving at 0.5 m/s d. Since the mass of the balls is not provided, we can assume that all the balls have the same mass for comparison purposes. Momentum is a fundamental property in physics and. Which Ball Has The Greatest Momentum.
From www.slideserve.com
PPT Chapter7 Momentum and Impulse PowerPoint Presentation, free Which Ball Has The Greatest Momentum Since the mass of the balls is not provided, we can assume that all the balls have the same mass for comparison purposes. A 0.15 kg baseball moving at 10.0 m/s c. Which of the following has the greatest momentum? Momentum is a fundamental property in physics and is defined as the product of the object’s mass and velocity. It. Which Ball Has The Greatest Momentum.
From www.slideshare.net
Momentum and inertia Which Ball Has The Greatest Momentum Study with quizlet and memorize flashcards containing terms like what is the product of an object's mass and velocity?, which of the. A 4.0 kg bowling ball moving at 2.0 m/s b. It is a vector quantity having both magnitude and direction. If a ball has the same speed just before being caught and just after being thrown, in which. Which Ball Has The Greatest Momentum.
From www.slideserve.com
PPT MOMENTUM! PowerPoint Presentation, free download ID6008529 Which Ball Has The Greatest Momentum Since the mass of the balls is not provided, we can assume that all the balls have the same mass for comparison purposes. Momentum is a fundamental property in physics and is defined as the product of the object’s mass and velocity. It is a vector quantity having both magnitude and direction. Study with quizlet and memorize flashcards containing terms. Which Ball Has The Greatest Momentum.
From studyx.ai
1 Which body has the greatest momentum 2 Rank StudyX Which Ball Has The Greatest Momentum A 0.15 kg baseball moving at 10.0 m/s c. If a ball has the same speed just before being caught and just after being thrown, in which case does the ball undergo the greatest change in. A 1.6 103 kg car moving at 0.5 m/s d. Which of the following has the greatest momentum? It is a vector quantity having. Which Ball Has The Greatest Momentum.
From www.chegg.com
Solved 10 Which object listed below has the greatest Which Ball Has The Greatest Momentum Which of the following has the greatest momentum? Study with quizlet and memorize flashcards containing terms like what is the product of an object's mass and velocity?, which of the. Since the mass of the balls is not provided, we can assume that all the balls have the same mass for comparison purposes. It is a vector quantity having both. Which Ball Has The Greatest Momentum.
From www.bartleby.com
The balls have different masses and speeds. Rank the following from Which Ball Has The Greatest Momentum Study with quizlet and memorize flashcards containing terms like what is the product of an object's mass and velocity?, which of the. A 0.15 kg baseball moving at 10.0 m/s c. Since the mass of the balls is not provided, we can assume that all the balls have the same mass for comparison purposes. A 4.0 kg bowling ball moving. Which Ball Has The Greatest Momentum.
From www.ck12.org
Momentum Conservation CK12 Foundation Which Ball Has The Greatest Momentum Which of the following has the greatest momentum? A 1.6 103 kg car moving at 0.5 m/s d. If a ball has the same speed just before being caught and just after being thrown, in which case does the ball undergo the greatest change in. Since the mass of the balls is not provided, we can assume that all the. Which Ball Has The Greatest Momentum.
From www.chegg.com
Solved Which individual has the greatest momentum?q,Volley Which Ball Has The Greatest Momentum It is a vector quantity having both magnitude and direction. Which of the following has the greatest momentum? If a ball has the same speed just before being caught and just after being thrown, in which case does the ball undergo the greatest change in. A 0.15 kg baseball moving at 10.0 m/s c. Study with quizlet and memorize flashcards. Which Ball Has The Greatest Momentum.
From www.slideshare.net
Momentum Which Ball Has The Greatest Momentum If a ball has the same speed just before being caught and just after being thrown, in which case does the ball undergo the greatest change in. Momentum is a fundamental property in physics and is defined as the product of the object’s mass and velocity. Since the mass of the balls is not provided, we can assume that all. Which Ball Has The Greatest Momentum.
From www.quelpr.com
CSEC Physics Conservation of Linear Momentum Which Ball Has The Greatest Momentum If a ball has the same speed just before being caught and just after being thrown, in which case does the ball undergo the greatest change in. A 4.0 kg bowling ball moving at 2.0 m/s b. Since the mass of the balls is not provided, we can assume that all the balls have the same mass for comparison purposes.. Which Ball Has The Greatest Momentum.
From www.slideserve.com
PPT What is Newton’s third law of motion? PowerPoint Presentation Which Ball Has The Greatest Momentum Which of the following has the greatest momentum? A 1.6 103 kg car moving at 0.5 m/s d. A 0.15 kg baseball moving at 10.0 m/s c. It is a vector quantity having both magnitude and direction. A 4.0 kg bowling ball moving at 2.0 m/s b. Momentum is a fundamental property in physics and is defined as the product. Which Ball Has The Greatest Momentum.
From xanmechanics.wordpress.com
301 Moved Permanently Which Ball Has The Greatest Momentum If a ball has the same speed just before being caught and just after being thrown, in which case does the ball undergo the greatest change in. Since the mass of the balls is not provided, we can assume that all the balls have the same mass for comparison purposes. A 0.15 kg baseball moving at 10.0 m/s c. A. Which Ball Has The Greatest Momentum.
From www.chegg.com
Solved Which of the following has the greatest momentum? a Which Ball Has The Greatest Momentum It is a vector quantity having both magnitude and direction. Momentum is a fundamental property in physics and is defined as the product of the object’s mass and velocity. A 0.15 kg baseball moving at 10.0 m/s c. Study with quizlet and memorize flashcards containing terms like what is the product of an object's mass and velocity?, which of the.. Which Ball Has The Greatest Momentum.
From www.slideserve.com
PPT Momentum PowerPoint Presentation, free download ID2704328 Which Ball Has The Greatest Momentum Which of the following has the greatest momentum? A 4.0 kg bowling ball moving at 2.0 m/s b. A 1.6 103 kg car moving at 0.5 m/s d. Momentum is a fundamental property in physics and is defined as the product of the object’s mass and velocity. A 0.15 kg baseball moving at 10.0 m/s c. Since the mass of. Which Ball Has The Greatest Momentum.
From www.chegg.com
Solved Estimate the magnitude of the angular momentum of a Which Ball Has The Greatest Momentum A 0.15 kg baseball moving at 10.0 m/s c. A 4.0 kg bowling ball moving at 2.0 m/s b. Momentum is a fundamental property in physics and is defined as the product of the object’s mass and velocity. It is a vector quantity having both magnitude and direction. Since the mass of the balls is not provided, we can assume. Which Ball Has The Greatest Momentum.