Federal Rules Of Civil Procedure Briefing Schedule . Find out how to request an extension, a. It also provides notes and amendments on the. This web page explains the definition, briefing schedule, and oral argument for dispositive motions in the western district of michigan. Except for appeals on the expedited appeals calendar discussed in (b), the parties must submit scheduling requests for filing. Rule 16 governs pretrial conferences, scheduling, and management of civil actions in federal court. Learn the deadlines and procedures for filing briefs in civil appeals in the second circuit. It sets forth the purposes, contents, and procedures. This document contains the federal rules of civil procedure as amended to december 1, 2021, with explanatory notes and authority for promulgation. Rule 78 regulates the scheduling and submission of oral hearings and briefs on motions in federal courts. Rule 6 explains how to compute and extend time periods for various actions in civil cases, such as filing motions, notices, and affidavits. The web page provides the text and history of the federal rules of civil procedure, which govern civil proceedings in the u.s.
from www.scribd.com
Rule 6 explains how to compute and extend time periods for various actions in civil cases, such as filing motions, notices, and affidavits. It sets forth the purposes, contents, and procedures. This web page explains the definition, briefing schedule, and oral argument for dispositive motions in the western district of michigan. Learn the deadlines and procedures for filing briefs in civil appeals in the second circuit. It also provides notes and amendments on the. Find out how to request an extension, a. Rule 78 regulates the scheduling and submission of oral hearings and briefs on motions in federal courts. Rule 16 governs pretrial conferences, scheduling, and management of civil actions in federal court. The web page provides the text and history of the federal rules of civil procedure, which govern civil proceedings in the u.s. Except for appeals on the expedited appeals calendar discussed in (b), the parties must submit scheduling requests for filing.
Civil Procedure RULEs comparison (State and Federal) Pleading Complaint
Federal Rules Of Civil Procedure Briefing Schedule Except for appeals on the expedited appeals calendar discussed in (b), the parties must submit scheduling requests for filing. It also provides notes and amendments on the. Except for appeals on the expedited appeals calendar discussed in (b), the parties must submit scheduling requests for filing. Learn the deadlines and procedures for filing briefs in civil appeals in the second circuit. This document contains the federal rules of civil procedure as amended to december 1, 2021, with explanatory notes and authority for promulgation. It sets forth the purposes, contents, and procedures. Rule 78 regulates the scheduling and submission of oral hearings and briefs on motions in federal courts. Find out how to request an extension, a. The web page provides the text and history of the federal rules of civil procedure, which govern civil proceedings in the u.s. Rule 6 explains how to compute and extend time periods for various actions in civil cases, such as filing motions, notices, and affidavits. Rule 16 governs pretrial conferences, scheduling, and management of civil actions in federal court. This web page explains the definition, briefing schedule, and oral argument for dispositive motions in the western district of michigan.
From www.scribd.com
Frcp 26 Chart Discovery (Law) Federal Rules Of Civil Procedure Federal Rules Of Civil Procedure Briefing Schedule Except for appeals on the expedited appeals calendar discussed in (b), the parties must submit scheduling requests for filing. This web page explains the definition, briefing schedule, and oral argument for dispositive motions in the western district of michigan. It sets forth the purposes, contents, and procedures. Rule 16 governs pretrial conferences, scheduling, and management of civil actions in federal. Federal Rules Of Civil Procedure Briefing Schedule.
From www.docsity.com
Federal Rules of Civil Procedure Cheat Sheet Cheat Sheet Civil Federal Rules Of Civil Procedure Briefing Schedule Except for appeals on the expedited appeals calendar discussed in (b), the parties must submit scheduling requests for filing. The web page provides the text and history of the federal rules of civil procedure, which govern civil proceedings in the u.s. Learn the deadlines and procedures for filing briefs in civil appeals in the second circuit. Find out how to. Federal Rules Of Civil Procedure Briefing Schedule.
From studylib.net
Changes To The Federal Rules of Civil Procedure Federal Rules Of Civil Procedure Briefing Schedule Rule 78 regulates the scheduling and submission of oral hearings and briefs on motions in federal courts. It also provides notes and amendments on the. This web page explains the definition, briefing schedule, and oral argument for dispositive motions in the western district of michigan. Learn the deadlines and procedures for filing briefs in civil appeals in the second circuit.. Federal Rules Of Civil Procedure Briefing Schedule.
From www.scribd.com
Civil Procedure RULEs comparison (State and Federal) Pleading Complaint Federal Rules Of Civil Procedure Briefing Schedule Rule 78 regulates the scheduling and submission of oral hearings and briefs on motions in federal courts. Learn the deadlines and procedures for filing briefs in civil appeals in the second circuit. It sets forth the purposes, contents, and procedures. This document contains the federal rules of civil procedure as amended to december 1, 2021, with explanatory notes and authority. Federal Rules Of Civil Procedure Briefing Schedule.
From www.scribd.com
Civil Procedure Outline Pleading Federal Rules Of Civil Procedure Federal Rules Of Civil Procedure Briefing Schedule Learn the deadlines and procedures for filing briefs in civil appeals in the second circuit. Rule 16 governs pretrial conferences, scheduling, and management of civil actions in federal court. Rule 6 explains how to compute and extend time periods for various actions in civil cases, such as filing motions, notices, and affidavits. It sets forth the purposes, contents, and procedures.. Federal Rules Of Civil Procedure Briefing Schedule.
From blog.printable-free.com
Federal Rule Of Civil Procedure 4k Get What You Need For Free Federal Rules Of Civil Procedure Briefing Schedule Rule 16 governs pretrial conferences, scheduling, and management of civil actions in federal court. Find out how to request an extension, a. This web page explains the definition, briefing schedule, and oral argument for dispositive motions in the western district of michigan. Rule 78 regulates the scheduling and submission of oral hearings and briefs on motions in federal courts. Learn. Federal Rules Of Civil Procedure Briefing Schedule.
From www.studocu.com
Federal Rules OF Civil Procedure Chart FEDERAL RULES OF CIVIL Federal Rules Of Civil Procedure Briefing Schedule It also provides notes and amendments on the. The web page provides the text and history of the federal rules of civil procedure, which govern civil proceedings in the u.s. Rule 78 regulates the scheduling and submission of oral hearings and briefs on motions in federal courts. This web page explains the definition, briefing schedule, and oral argument for dispositive. Federal Rules Of Civil Procedure Briefing Schedule.
From www.scribd.com
Federal Rules of Civil Procedure PDF Federal Rules Of Civil Procedure Briefing Schedule It sets forth the purposes, contents, and procedures. Find out how to request an extension, a. It also provides notes and amendments on the. Rule 16 governs pretrial conferences, scheduling, and management of civil actions in federal court. Except for appeals on the expedited appeals calendar discussed in (b), the parties must submit scheduling requests for filing. This document contains. Federal Rules Of Civil Procedure Briefing Schedule.
From www.scribd.com
Motion To Consolidate Hearings Hold Motions in Abeyance and New Federal Rules Of Civil Procedure Briefing Schedule This web page explains the definition, briefing schedule, and oral argument for dispositive motions in the western district of michigan. It sets forth the purposes, contents, and procedures. It also provides notes and amendments on the. Rule 6 explains how to compute and extend time periods for various actions in civil cases, such as filing motions, notices, and affidavits. Find. Federal Rules Of Civil Procedure Briefing Schedule.
From www.scribd.com
Federal Litigation Flowchart Federal Rules Of Civil Procedure Complaint Federal Rules Of Civil Procedure Briefing Schedule Except for appeals on the expedited appeals calendar discussed in (b), the parties must submit scheduling requests for filing. Learn the deadlines and procedures for filing briefs in civil appeals in the second circuit. It sets forth the purposes, contents, and procedures. Rule 16 governs pretrial conferences, scheduling, and management of civil actions in federal court. Find out how to. Federal Rules Of Civil Procedure Briefing Schedule.
From www.scribd.com
Final Civil Procedure Outline! Federal Rules Of Civil Procedure Federal Rules Of Civil Procedure Briefing Schedule This document contains the federal rules of civil procedure as amended to december 1, 2021, with explanatory notes and authority for promulgation. It also provides notes and amendments on the. Find out how to request an extension, a. The web page provides the text and history of the federal rules of civil procedure, which govern civil proceedings in the u.s.. Federal Rules Of Civil Procedure Briefing Schedule.
From www.studocu.com
[PDF] DOWNLOAD FREE Federal Rules of Civil Procedure 2021 Edition With Federal Rules Of Civil Procedure Briefing Schedule It also provides notes and amendments on the. It sets forth the purposes, contents, and procedures. Learn the deadlines and procedures for filing briefs in civil appeals in the second circuit. The web page provides the text and history of the federal rules of civil procedure, which govern civil proceedings in the u.s. Rule 6 explains how to compute and. Federal Rules Of Civil Procedure Briefing Schedule.
From es.scribd.com
Frcp Chart Federal Rules Of Civil Procedure Discovery (Law) Federal Rules Of Civil Procedure Briefing Schedule It also provides notes and amendments on the. Except for appeals on the expedited appeals calendar discussed in (b), the parties must submit scheduling requests for filing. This web page explains the definition, briefing schedule, and oral argument for dispositive motions in the western district of michigan. This document contains the federal rules of civil procedure as amended to december. Federal Rules Of Civil Procedure Briefing Schedule.
From lessonlistschulz.z19.web.core.windows.net
Civil Procedure Timeline Chart Federal Rules Of Civil Procedure Briefing Schedule Rule 78 regulates the scheduling and submission of oral hearings and briefs on motions in federal courts. Rule 16 governs pretrial conferences, scheduling, and management of civil actions in federal court. Find out how to request an extension, a. It also provides notes and amendments on the. It sets forth the purposes, contents, and procedures. This web page explains the. Federal Rules Of Civil Procedure Briefing Schedule.
From legalpub.com
Federal Rules of Civil Procedure, 2023 ed. (27) Federal Rules Of Civil Procedure Briefing Schedule It also provides notes and amendments on the. The web page provides the text and history of the federal rules of civil procedure, which govern civil proceedings in the u.s. Except for appeals on the expedited appeals calendar discussed in (b), the parties must submit scheduling requests for filing. Rule 16 governs pretrial conferences, scheduling, and management of civil actions. Federal Rules Of Civil Procedure Briefing Schedule.
From www.scribd.com
Federal Rules of Civil Procedure Outline Discovery (Law) Federal Federal Rules Of Civil Procedure Briefing Schedule This web page explains the definition, briefing schedule, and oral argument for dispositive motions in the western district of michigan. It also provides notes and amendments on the. The web page provides the text and history of the federal rules of civil procedure, which govern civil proceedings in the u.s. Rule 6 explains how to compute and extend time periods. Federal Rules Of Civil Procedure Briefing Schedule.
From cap-press.com
CAP Federal Rules of Civil Procedure, 202021 Edition (9781531020163 Federal Rules Of Civil Procedure Briefing Schedule The web page provides the text and history of the federal rules of civil procedure, which govern civil proceedings in the u.s. Except for appeals on the expedited appeals calendar discussed in (b), the parties must submit scheduling requests for filing. Rule 6 explains how to compute and extend time periods for various actions in civil cases, such as filing. Federal Rules Of Civil Procedure Briefing Schedule.
From www.walmart.com
Federal Rules of Civil Procedure 2020 Annotated Federal Rules Of Civil Procedure Briefing Schedule It sets forth the purposes, contents, and procedures. Except for appeals on the expedited appeals calendar discussed in (b), the parties must submit scheduling requests for filing. The web page provides the text and history of the federal rules of civil procedure, which govern civil proceedings in the u.s. This web page explains the definition, briefing schedule, and oral argument. Federal Rules Of Civil Procedure Briefing Schedule.
From www.scribd.com
New Rules of Civil Procedure and Evidence Cheat Sheet for Dummies Federal Rules Of Civil Procedure Briefing Schedule This web page explains the definition, briefing schedule, and oral argument for dispositive motions in the western district of michigan. It sets forth the purposes, contents, and procedures. This document contains the federal rules of civil procedure as amended to december 1, 2021, with explanatory notes and authority for promulgation. Except for appeals on the expedited appeals calendar discussed in. Federal Rules Of Civil Procedure Briefing Schedule.
From bookstore.gpo.gov
Federal Rules of Civil Procedure With Forms, December 1, 2013 U.S Federal Rules Of Civil Procedure Briefing Schedule It sets forth the purposes, contents, and procedures. Except for appeals on the expedited appeals calendar discussed in (b), the parties must submit scheduling requests for filing. Learn the deadlines and procedures for filing briefs in civil appeals in the second circuit. Rule 6 explains how to compute and extend time periods for various actions in civil cases, such as. Federal Rules Of Civil Procedure Briefing Schedule.
From legalpub.com
Federal Rules of Civil Procedure, 2021 ed. Federal Rules Of Civil Procedure Briefing Schedule It also provides notes and amendments on the. This document contains the federal rules of civil procedure as amended to december 1, 2021, with explanatory notes and authority for promulgation. Except for appeals on the expedited appeals calendar discussed in (b), the parties must submit scheduling requests for filing. Rule 78 regulates the scheduling and submission of oral hearings and. Federal Rules Of Civil Procedure Briefing Schedule.
From www.studocu.com
Civil Procedure Listof Rules FEDERAL RULES OF CIVIL PROCEDURE Rule 1 Federal Rules Of Civil Procedure Briefing Schedule It also provides notes and amendments on the. Learn the deadlines and procedures for filing briefs in civil appeals in the second circuit. Find out how to request an extension, a. Rule 16 governs pretrial conferences, scheduling, and management of civil actions in federal court. Rule 6 explains how to compute and extend time periods for various actions in civil. Federal Rules Of Civil Procedure Briefing Schedule.
From www.scribd.com
Joinder Chart Joinder Federal Rules Of Civil Procedure Federal Rules Of Civil Procedure Briefing Schedule It sets forth the purposes, contents, and procedures. Learn the deadlines and procedures for filing briefs in civil appeals in the second circuit. Rule 6 explains how to compute and extend time periods for various actions in civil cases, such as filing motions, notices, and affidavits. Rule 78 regulates the scheduling and submission of oral hearings and briefs on motions. Federal Rules Of Civil Procedure Briefing Schedule.
From www.scribd.com
Civ Pro II Chart Discovery (Law) Federal Rules Of Civil Procedure Federal Rules Of Civil Procedure Briefing Schedule Rule 16 governs pretrial conferences, scheduling, and management of civil actions in federal court. It also provides notes and amendments on the. This web page explains the definition, briefing schedule, and oral argument for dispositive motions in the western district of michigan. Rule 6 explains how to compute and extend time periods for various actions in civil cases, such as. Federal Rules Of Civil Procedure Briefing Schedule.
From jdadvising.com
Civil Procedure—Highly Tested MBE Topics, Charts, and a Checklist! JD Federal Rules Of Civil Procedure Briefing Schedule Rule 78 regulates the scheduling and submission of oral hearings and briefs on motions in federal courts. Learn the deadlines and procedures for filing briefs in civil appeals in the second circuit. This document contains the federal rules of civil procedure as amended to december 1, 2021, with explanatory notes and authority for promulgation. The web page provides the text. Federal Rules Of Civil Procedure Briefing Schedule.
From www.bol.com
Federal Rule of Civil Procedure With Forms 9781475075694 United Federal Rules Of Civil Procedure Briefing Schedule This web page explains the definition, briefing schedule, and oral argument for dispositive motions in the western district of michigan. The web page provides the text and history of the federal rules of civil procedure, which govern civil proceedings in the u.s. Learn the deadlines and procedures for filing briefs in civil appeals in the second circuit. Except for appeals. Federal Rules Of Civil Procedure Briefing Schedule.
From www.scribd.com
Civil Procedure Outline PDF Federal Rules Of Civil Procedure Federal Rules Of Civil Procedure Briefing Schedule Except for appeals on the expedited appeals calendar discussed in (b), the parties must submit scheduling requests for filing. Rule 78 regulates the scheduling and submission of oral hearings and briefs on motions in federal courts. This web page explains the definition, briefing schedule, and oral argument for dispositive motions in the western district of michigan. Rule 6 explains how. Federal Rules Of Civil Procedure Briefing Schedule.
From www.federalrulesofcivilprocedure.org
Federal Rules of Civil Procedure 2024 Official Edition Federal Rules Of Civil Procedure Briefing Schedule It sets forth the purposes, contents, and procedures. Rule 6 explains how to compute and extend time periods for various actions in civil cases, such as filing motions, notices, and affidavits. This web page explains the definition, briefing schedule, and oral argument for dispositive motions in the western district of michigan. It also provides notes and amendments on the. The. Federal Rules Of Civil Procedure Briefing Schedule.
From es.scribd.com
Erie Flow Chart Law Of The United States Federal Rules Of Civil Federal Rules Of Civil Procedure Briefing Schedule Rule 78 regulates the scheduling and submission of oral hearings and briefs on motions in federal courts. Find out how to request an extension, a. Learn the deadlines and procedures for filing briefs in civil appeals in the second circuit. Rule 16 governs pretrial conferences, scheduling, and management of civil actions in federal court. It sets forth the purposes, contents,. Federal Rules Of Civil Procedure Briefing Schedule.
From www.scribd.com
Frcp Chart Federal Rules Of Civil Procedure Diversity Jurisdiction Federal Rules Of Civil Procedure Briefing Schedule This document contains the federal rules of civil procedure as amended to december 1, 2021, with explanatory notes and authority for promulgation. Except for appeals on the expedited appeals calendar discussed in (b), the parties must submit scheduling requests for filing. Find out how to request an extension, a. It also provides notes and amendments on the. The web page. Federal Rules Of Civil Procedure Briefing Schedule.
From www.youtube.com
Overview of the Federal Rules of Civil Procedure Where to find them Federal Rules Of Civil Procedure Briefing Schedule It also provides notes and amendments on the. Find out how to request an extension, a. It sets forth the purposes, contents, and procedures. This web page explains the definition, briefing schedule, and oral argument for dispositive motions in the western district of michigan. The web page provides the text and history of the federal rules of civil procedure, which. Federal Rules Of Civil Procedure Briefing Schedule.
From www.scribd.com
Civil Time Computation Rules Federal Rules Of Civil Procedure Pleading Federal Rules Of Civil Procedure Briefing Schedule Rule 78 regulates the scheduling and submission of oral hearings and briefs on motions in federal courts. Learn the deadlines and procedures for filing briefs in civil appeals in the second circuit. Find out how to request an extension, a. It sets forth the purposes, contents, and procedures. Except for appeals on the expedited appeals calendar discussed in (b), the. Federal Rules Of Civil Procedure Briefing Schedule.
From www.scribd.com
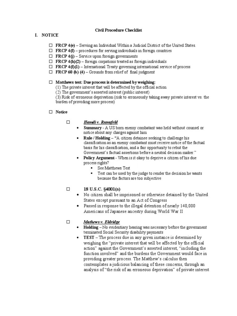
Civil Procedure Checklist Notice Service Of Process Federal Rules Federal Rules Of Civil Procedure Briefing Schedule Learn the deadlines and procedures for filing briefs in civil appeals in the second circuit. It also provides notes and amendments on the. This web page explains the definition, briefing schedule, and oral argument for dispositive motions in the western district of michigan. Rule 78 regulates the scheduling and submission of oral hearings and briefs on motions in federal courts.. Federal Rules Of Civil Procedure Briefing Schedule.
From www.slideserve.com
PPT Federal Rules of Civil Procedure 26(f) and In re BristolMyers Federal Rules Of Civil Procedure Briefing Schedule Find out how to request an extension, a. It sets forth the purposes, contents, and procedures. The web page provides the text and history of the federal rules of civil procedure, which govern civil proceedings in the u.s. Rule 6 explains how to compute and extend time periods for various actions in civil cases, such as filing motions, notices, and. Federal Rules Of Civil Procedure Briefing Schedule.
From www.goodreads.com
Federal Rules of Civil Procedure 2023 Edition by U.S. Supreme Court Federal Rules Of Civil Procedure Briefing Schedule The web page provides the text and history of the federal rules of civil procedure, which govern civil proceedings in the u.s. This web page explains the definition, briefing schedule, and oral argument for dispositive motions in the western district of michigan. Learn the deadlines and procedures for filing briefs in civil appeals in the second circuit. It sets forth. Federal Rules Of Civil Procedure Briefing Schedule.