Technical Drawing Quiz Pdf . The document contains questions and answers related to technical drawing topics including orthographic projection, sectional views, multiview drawings, and. Get engineering drawing multiple choice questions (mcq quiz) with answers and detailed solutions. Download these free engineering drawing mcq quiz pdf and. Drawing is an art of representing objects or forms on a surface chiefly by means of lines, using any of a wide variety of tools and techniques. Engineering drawing question and answer pdf online. Get the complete technical drawing exam questions and answers for ss 1, with even more questions and answers. The document contains 17 multiple. Start practicing now for exams, online tests, quizzes, and interviews! 1000+ engineering drawing mcq pdf arranged chapterwise! Here is the list of engineering drawing mcq questions and answers available online.
from giohaodzc.blob.core.windows.net
Drawing is an art of representing objects or forms on a surface chiefly by means of lines, using any of a wide variety of tools and techniques. Get the complete technical drawing exam questions and answers for ss 1, with even more questions and answers. Download these free engineering drawing mcq quiz pdf and. 1000+ engineering drawing mcq pdf arranged chapterwise! Here is the list of engineering drawing mcq questions and answers available online. Get engineering drawing multiple choice questions (mcq quiz) with answers and detailed solutions. Start practicing now for exams, online tests, quizzes, and interviews! Engineering drawing question and answer pdf online. The document contains questions and answers related to technical drawing topics including orthographic projection, sectional views, multiview drawings, and. The document contains 17 multiple.
Engineering Drawing Manual Pdf at Clinton Harris blog
Technical Drawing Quiz Pdf Download these free engineering drawing mcq quiz pdf and. Get the complete technical drawing exam questions and answers for ss 1, with even more questions and answers. The document contains questions and answers related to technical drawing topics including orthographic projection, sectional views, multiview drawings, and. The document contains 17 multiple. Here is the list of engineering drawing mcq questions and answers available online. Start practicing now for exams, online tests, quizzes, and interviews! Drawing is an art of representing objects or forms on a surface chiefly by means of lines, using any of a wide variety of tools and techniques. 1000+ engineering drawing mcq pdf arranged chapterwise! Get engineering drawing multiple choice questions (mcq quiz) with answers and detailed solutions. Engineering drawing question and answer pdf online. Download these free engineering drawing mcq quiz pdf and.
From mavink.com
Clock Drawing Test Printable Pdf Technical Drawing Quiz Pdf 1000+ engineering drawing mcq pdf arranged chapterwise! Start practicing now for exams, online tests, quizzes, and interviews! Drawing is an art of representing objects or forms on a surface chiefly by means of lines, using any of a wide variety of tools and techniques. The document contains 17 multiple. Engineering drawing question and answer pdf online. Get the complete technical. Technical Drawing Quiz Pdf.
From www.slideshare.net
Multiple choice questions on engineering drwaing Technical Drawing Quiz Pdf The document contains 17 multiple. Engineering drawing question and answer pdf online. Drawing is an art of representing objects or forms on a surface chiefly by means of lines, using any of a wide variety of tools and techniques. Download these free engineering drawing mcq quiz pdf and. Here is the list of engineering drawing mcq questions and answers available. Technical Drawing Quiz Pdf.
From klaggoind.blob.core.windows.net
How To Read Technical Drawings at Harold Nelson blog Technical Drawing Quiz Pdf Get the complete technical drawing exam questions and answers for ss 1, with even more questions and answers. Get engineering drawing multiple choice questions (mcq quiz) with answers and detailed solutions. Start practicing now for exams, online tests, quizzes, and interviews! Drawing is an art of representing objects or forms on a surface chiefly by means of lines, using any. Technical Drawing Quiz Pdf.
From drawing3deasy.wordpress.com
47+ Autocad 3D Mechanical Drawing Exercises Pdf Background Drawing 3D Technical Drawing Quiz Pdf The document contains questions and answers related to technical drawing topics including orthographic projection, sectional views, multiview drawings, and. The document contains 17 multiple. Get the complete technical drawing exam questions and answers for ss 1, with even more questions and answers. Get engineering drawing multiple choice questions (mcq quiz) with answers and detailed solutions. Start practicing now for exams,. Technical Drawing Quiz Pdf.
From triptonkosti.ru
Чертежи для тренировки 3д моделирования 97 фото Technical Drawing Quiz Pdf Get the complete technical drawing exam questions and answers for ss 1, with even more questions and answers. Start practicing now for exams, online tests, quizzes, and interviews! Get engineering drawing multiple choice questions (mcq quiz) with answers and detailed solutions. The document contains questions and answers related to technical drawing topics including orthographic projection, sectional views, multiview drawings, and.. Technical Drawing Quiz Pdf.
From polarbearartdrawingillustration.blogspot.com
technical drawing cxc past papers multiple choice Technical Drawing Quiz Pdf Get engineering drawing multiple choice questions (mcq quiz) with answers and detailed solutions. The document contains 17 multiple. Get the complete technical drawing exam questions and answers for ss 1, with even more questions and answers. Start practicing now for exams, online tests, quizzes, and interviews! Download these free engineering drawing mcq quiz pdf and. Drawing is an art of. Technical Drawing Quiz Pdf.
From www.pinterest.co.uk
dimensioning practice worksheets Google Search Isometric drawing Technical Drawing Quiz Pdf The document contains 17 multiple. Start practicing now for exams, online tests, quizzes, and interviews! The document contains questions and answers related to technical drawing topics including orthographic projection, sectional views, multiview drawings, and. 1000+ engineering drawing mcq pdf arranged chapterwise! Download these free engineering drawing mcq quiz pdf and. Drawing is an art of representing objects or forms on. Technical Drawing Quiz Pdf.
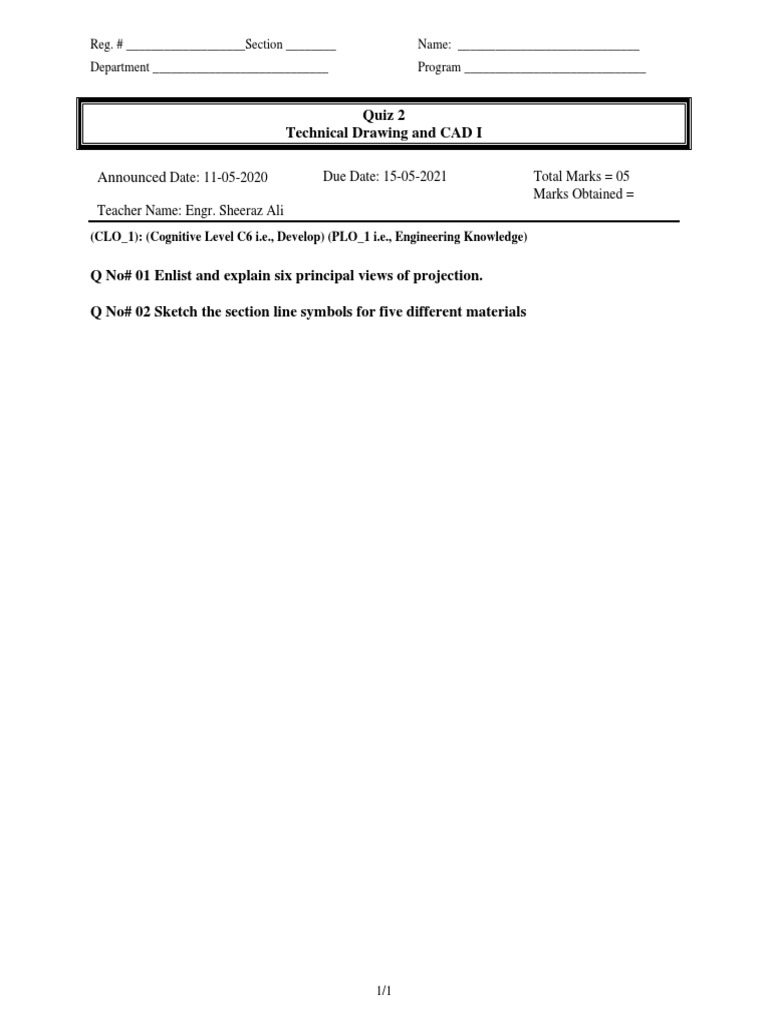
From www.scribd.com
Technical Drawing Quiz 2 PDF Technical Drawing Quiz Pdf Get engineering drawing multiple choice questions (mcq quiz) with answers and detailed solutions. 1000+ engineering drawing mcq pdf arranged chapterwise! Drawing is an art of representing objects or forms on a surface chiefly by means of lines, using any of a wide variety of tools and techniques. Engineering drawing question and answer pdf online. The document contains questions and answers. Technical Drawing Quiz Pdf.
From name-two-cord-mediated-reflexes.blogspot.com
engineering drawing with worked examples pdf free download nametwo Technical Drawing Quiz Pdf Get engineering drawing multiple choice questions (mcq quiz) with answers and detailed solutions. Start practicing now for exams, online tests, quizzes, and interviews! Get the complete technical drawing exam questions and answers for ss 1, with even more questions and answers. Here is the list of engineering drawing mcq questions and answers available online. Drawing is an art of representing. Technical Drawing Quiz Pdf.
From www.uslegalforms.com
Autocad Questions Pdf 2020 Fill and Sign Printable Template Online Technical Drawing Quiz Pdf Engineering drawing question and answer pdf online. Here is the list of engineering drawing mcq questions and answers available online. Get the complete technical drawing exam questions and answers for ss 1, with even more questions and answers. The document contains questions and answers related to technical drawing topics including orthographic projection, sectional views, multiview drawings, and. The document contains. Technical Drawing Quiz Pdf.
From design.udlvirtual.edu.pe
What Is Cycle In Technical Drawing Design Talk Technical Drawing Quiz Pdf Start practicing now for exams, online tests, quizzes, and interviews! The document contains questions and answers related to technical drawing topics including orthographic projection, sectional views, multiview drawings, and. 1000+ engineering drawing mcq pdf arranged chapterwise! Download these free engineering drawing mcq quiz pdf and. Get the complete technical drawing exam questions and answers for ss 1, with even more. Technical Drawing Quiz Pdf.
From giohaodzc.blob.core.windows.net
Engineering Drawing Manual Pdf at Clinton Harris blog Technical Drawing Quiz Pdf The document contains questions and answers related to technical drawing topics including orthographic projection, sectional views, multiview drawings, and. Here is the list of engineering drawing mcq questions and answers available online. Drawing is an art of representing objects or forms on a surface chiefly by means of lines, using any of a wide variety of tools and techniques. Start. Technical Drawing Quiz Pdf.
From bodendwasuct.github.io
Building Planning And Drawing Mcq Pdf Download Building Design And Technical Drawing Quiz Pdf Download these free engineering drawing mcq quiz pdf and. Get engineering drawing multiple choice questions (mcq quiz) with answers and detailed solutions. 1000+ engineering drawing mcq pdf arranged chapterwise! Engineering drawing question and answer pdf online. Start practicing now for exams, online tests, quizzes, and interviews! Get the complete technical drawing exam questions and answers for ss 1, with even. Technical Drawing Quiz Pdf.
From pdfnotes.co.ke
Technical Drawing KNEC notes Pdf Ebooks Technical Drawing Quiz Pdf Here is the list of engineering drawing mcq questions and answers available online. Engineering drawing question and answer pdf online. Start practicing now for exams, online tests, quizzes, and interviews! Get the complete technical drawing exam questions and answers for ss 1, with even more questions and answers. Download these free engineering drawing mcq quiz pdf and. The document contains. Technical Drawing Quiz Pdf.
From grabcad.com
Anyone can give some difficult parts drawing PDF to design in SOLIDWORK Technical Drawing Quiz Pdf Download these free engineering drawing mcq quiz pdf and. Get the complete technical drawing exam questions and answers for ss 1, with even more questions and answers. Drawing is an art of representing objects or forms on a surface chiefly by means of lines, using any of a wide variety of tools and techniques. The document contains 17 multiple. The. Technical Drawing Quiz Pdf.
From hlhrapid.com
How to Prepare a Perfect 2D Technical Drawing for CNC Machining Technical Drawing Quiz Pdf Drawing is an art of representing objects or forms on a surface chiefly by means of lines, using any of a wide variety of tools and techniques. Download these free engineering drawing mcq quiz pdf and. 1000+ engineering drawing mcq pdf arranged chapterwise! Engineering drawing question and answer pdf online. Get the complete technical drawing exam questions and answers for. Technical Drawing Quiz Pdf.
From charranschaguanas.com
Technical Drawing Multiple Choice Examinations Workbook Charran's Technical Drawing Quiz Pdf 1000+ engineering drawing mcq pdf arranged chapterwise! Drawing is an art of representing objects or forms on a surface chiefly by means of lines, using any of a wide variety of tools and techniques. Get engineering drawing multiple choice questions (mcq quiz) with answers and detailed solutions. Download these free engineering drawing mcq quiz pdf and. Get the complete technical. Technical Drawing Quiz Pdf.
From getdrawings.com
Isometric And Orthographic Drawing Worksheets at GetDrawings Free Technical Drawing Quiz Pdf The document contains questions and answers related to technical drawing topics including orthographic projection, sectional views, multiview drawings, and. Drawing is an art of representing objects or forms on a surface chiefly by means of lines, using any of a wide variety of tools and techniques. The document contains 17 multiple. 1000+ engineering drawing mcq pdf arranged chapterwise! Engineering drawing. Technical Drawing Quiz Pdf.
From dokumen.tips
(PDF) Technical Drawing Test 2 DOKUMEN.TIPS Technical Drawing Quiz Pdf Download these free engineering drawing mcq quiz pdf and. Get the complete technical drawing exam questions and answers for ss 1, with even more questions and answers. 1000+ engineering drawing mcq pdf arranged chapterwise! The document contains questions and answers related to technical drawing topics including orthographic projection, sectional views, multiview drawings, and. The document contains 17 multiple. Drawing is. Technical Drawing Quiz Pdf.
From circuitlibrarygauds.z21.web.core.windows.net
Mechanical Engineering Schematics Technical Drawing Quiz Pdf Start practicing now for exams, online tests, quizzes, and interviews! The document contains questions and answers related to technical drawing topics including orthographic projection, sectional views, multiview drawings, and. Download these free engineering drawing mcq quiz pdf and. Get the complete technical drawing exam questions and answers for ss 1, with even more questions and answers. Engineering drawing question and. Technical Drawing Quiz Pdf.
From www.slideserve.com
PPT Reading Technical Drawings Quiz 2 PowerPoint Presentation, free Technical Drawing Quiz Pdf Here is the list of engineering drawing mcq questions and answers available online. Start practicing now for exams, online tests, quizzes, and interviews! Engineering drawing question and answer pdf online. Get the complete technical drawing exam questions and answers for ss 1, with even more questions and answers. Drawing is an art of representing objects or forms on a surface. Technical Drawing Quiz Pdf.
From wordwall.net
REVIEW ABOUT TECHNICAL DRAWING Quiz Technical Drawing Quiz Pdf Here is the list of engineering drawing mcq questions and answers available online. Drawing is an art of representing objects or forms on a surface chiefly by means of lines, using any of a wide variety of tools and techniques. The document contains questions and answers related to technical drawing topics including orthographic projection, sectional views, multiview drawings, and. Get. Technical Drawing Quiz Pdf.
From www.scribd.com
Drafting Tools and Materials Quiz PDF Technical Drawing Drawing Technical Drawing Quiz Pdf Get the complete technical drawing exam questions and answers for ss 1, with even more questions and answers. Engineering drawing question and answer pdf online. Get engineering drawing multiple choice questions (mcq quiz) with answers and detailed solutions. Download these free engineering drawing mcq quiz pdf and. 1000+ engineering drawing mcq pdf arranged chapterwise! The document contains questions and answers. Technical Drawing Quiz Pdf.
From expobite.net
Neco Technical Drawing Practical Answers 2022 9th August 2022 Technical Drawing Quiz Pdf Drawing is an art of representing objects or forms on a surface chiefly by means of lines, using any of a wide variety of tools and techniques. The document contains 17 multiple. Here is the list of engineering drawing mcq questions and answers available online. The document contains questions and answers related to technical drawing topics including orthographic projection, sectional. Technical Drawing Quiz Pdf.
From www.3yourmind.com
Example of a technical drawing with the most valuable information that Technical Drawing Quiz Pdf Get engineering drawing multiple choice questions (mcq quiz) with answers and detailed solutions. Start practicing now for exams, online tests, quizzes, and interviews! Engineering drawing question and answer pdf online. 1000+ engineering drawing mcq pdf arranged chapterwise! The document contains questions and answers related to technical drawing topics including orthographic projection, sectional views, multiview drawings, and. Here is the list. Technical Drawing Quiz Pdf.
From www.scribd.com
Drafting Test Questions Tle 10 Technical Drawing Drawing Technical Drawing Quiz Pdf Here is the list of engineering drawing mcq questions and answers available online. Start practicing now for exams, online tests, quizzes, and interviews! 1000+ engineering drawing mcq pdf arranged chapterwise! Drawing is an art of representing objects or forms on a surface chiefly by means of lines, using any of a wide variety of tools and techniques. The document contains. Technical Drawing Quiz Pdf.
From www.youtube.com
SolidWorks Drawing Tutorial for Beginners exercise 104 YouTube Technical Drawing Quiz Pdf Get the complete technical drawing exam questions and answers for ss 1, with even more questions and answers. The document contains 17 multiple. Drawing is an art of representing objects or forms on a surface chiefly by means of lines, using any of a wide variety of tools and techniques. Engineering drawing question and answer pdf online. Download these free. Technical Drawing Quiz Pdf.
From www.youtube.com
Isometric view drawing example 1 (easy). Links to practice files in Technical Drawing Quiz Pdf Get engineering drawing multiple choice questions (mcq quiz) with answers and detailed solutions. 1000+ engineering drawing mcq pdf arranged chapterwise! Drawing is an art of representing objects or forms on a surface chiefly by means of lines, using any of a wide variety of tools and techniques. Start practicing now for exams, online tests, quizzes, and interviews! The document contains. Technical Drawing Quiz Pdf.
From www.scribd.com
Engineering Drawing multiple choice question Perspective (Graphical Technical Drawing Quiz Pdf Get the complete technical drawing exam questions and answers for ss 1, with even more questions and answers. Drawing is an art of representing objects or forms on a surface chiefly by means of lines, using any of a wide variety of tools and techniques. 1000+ engineering drawing mcq pdf arranged chapterwise! Engineering drawing question and answer pdf online. Get. Technical Drawing Quiz Pdf.
From paintingvalley.com
Autocad Basic Drawing Exercises Pdf at Explore Technical Drawing Quiz Pdf Get engineering drawing multiple choice questions (mcq quiz) with answers and detailed solutions. Start practicing now for exams, online tests, quizzes, and interviews! Engineering drawing question and answer pdf online. Download these free engineering drawing mcq quiz pdf and. Drawing is an art of representing objects or forms on a surface chiefly by means of lines, using any of a. Technical Drawing Quiz Pdf.
From osepharma.weebly.com
Free cad drawings osepharma Technical Drawing Quiz Pdf Download these free engineering drawing mcq quiz pdf and. Drawing is an art of representing objects or forms on a surface chiefly by means of lines, using any of a wide variety of tools and techniques. The document contains questions and answers related to technical drawing topics including orthographic projection, sectional views, multiview drawings, and. Here is the list of. Technical Drawing Quiz Pdf.
From www.pinterest.com
2D CAD EXERCISES 340 STUDYCADCAM Autocad isometric drawing, Autocad Technical Drawing Quiz Pdf Get the complete technical drawing exam questions and answers for ss 1, with even more questions and answers. The document contains questions and answers related to technical drawing topics including orthographic projection, sectional views, multiview drawings, and. Drawing is an art of representing objects or forms on a surface chiefly by means of lines, using any of a wide variety. Technical Drawing Quiz Pdf.
From www.etsy.com
4 Printable PDF Files Technical Drawing Templates & 2 BONUS DWG Virtual Technical Drawing Quiz Pdf Get engineering drawing multiple choice questions (mcq quiz) with answers and detailed solutions. The document contains 17 multiple. Get the complete technical drawing exam questions and answers for ss 1, with even more questions and answers. Engineering drawing question and answer pdf online. Drawing is an art of representing objects or forms on a surface chiefly by means of lines,. Technical Drawing Quiz Pdf.
From ceekvqtf.blob.core.windows.net
Drawing Exercises Pdf at Dorothy Munoz blog Technical Drawing Quiz Pdf Engineering drawing question and answer pdf online. Here is the list of engineering drawing mcq questions and answers available online. Start practicing now for exams, online tests, quizzes, and interviews! Get the complete technical drawing exam questions and answers for ss 1, with even more questions and answers. Get engineering drawing multiple choice questions (mcq quiz) with answers and detailed. Technical Drawing Quiz Pdf.
From www.pinterest.ph
the technical drawing shows how to draw an object Technical Drawing Quiz Pdf Here is the list of engineering drawing mcq questions and answers available online. Drawing is an art of representing objects or forms on a surface chiefly by means of lines, using any of a wide variety of tools and techniques. Download these free engineering drawing mcq quiz pdf and. Get engineering drawing multiple choice questions (mcq quiz) with answers and. Technical Drawing Quiz Pdf.