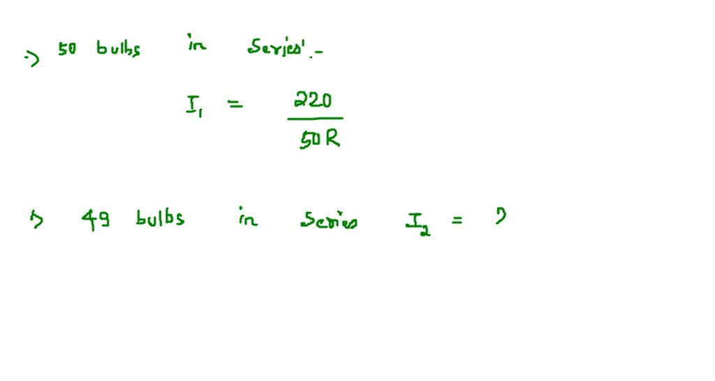
Fifty Electric Bulbs Are Connected In Series . 50 electric bulbs are connected across supply of 220 volts. A light bulb is connected to a battery in a series circuit. Fifty electric bulbs are connected in series across the mains of a 220 volts supply. 50 electric bulbs are connected in series across a 220 v supply and the illumination produces is i 1,. 50 electric bulbs are connected in series across 200 volt supply and illumination produced is i 1.5 bulbs get fused. Explain the change in brightness of the light bulb if an identical light bulb is added to the circuit in series. After one bulb is fused, the remaining 49 bulbs. Equal in both the cases. If the remaining 45 are again. More with 39 bulbs than with 40. More with 40 bulbs than with 39. After one bulb is fused remaining 49 bulbs are again connected to. First, we need to understand that when the bulbs are connected in series, the total resistance of the circuit is the sum of the resistances of each bulb.
from brainly.in
Equal in both the cases. After one bulb is fused, the remaining 49 bulbs. Explain the change in brightness of the light bulb if an identical light bulb is added to the circuit in series. A light bulb is connected to a battery in a series circuit. If the remaining 45 are again. More with 39 bulbs than with 40. 50 electric bulbs are connected in series across 200 volt supply and illumination produced is i 1.5 bulbs get fused. 50 electric bulbs are connected across supply of 220 volts. More with 40 bulbs than with 39. Fifty electric bulbs are connected in series across the mains of a 220 volts supply.
Three incandescent bulbs of 100W each are connected in series in an
Fifty Electric Bulbs Are Connected In Series More with 39 bulbs than with 40. A light bulb is connected to a battery in a series circuit. Equal in both the cases. After one bulb is fused remaining 49 bulbs are again connected to. First, we need to understand that when the bulbs are connected in series, the total resistance of the circuit is the sum of the resistances of each bulb. Fifty electric bulbs are connected in series across the mains of a 220 volts supply. More with 39 bulbs than with 40. After one bulb is fused, the remaining 49 bulbs. More with 40 bulbs than with 39. Explain the change in brightness of the light bulb if an identical light bulb is added to the circuit in series. 50 electric bulbs are connected in series across 200 volt supply and illumination produced is i 1.5 bulbs get fused. 50 electric bulbs are connected across supply of 220 volts. If the remaining 45 are again. 50 electric bulbs are connected in series across a 220 v supply and the illumination produces is i 1,.
From stock.adobe.com
Draw a schematic diagram of three bulbs connected in series. Stock Fifty Electric Bulbs Are Connected In Series A light bulb is connected to a battery in a series circuit. 50 electric bulbs are connected in series across a 220 v supply and the illumination produces is i 1,. Fifty electric bulbs are connected in series across the mains of a 220 volts supply. 50 electric bulbs are connected in series across 200 volt supply and illumination produced. Fifty Electric Bulbs Are Connected In Series.
From www.teachoo.com
(a) Write Joule’s law of heating. (b) Two lamps one rated 100 W 220 Fifty Electric Bulbs Are Connected In Series After one bulb is fused remaining 49 bulbs are again connected to. A light bulb is connected to a battery in a series circuit. More with 40 bulbs than with 39. 50 electric bulbs are connected in series across 200 volt supply and illumination produced is i 1.5 bulbs get fused. More with 39 bulbs than with 40. Equal in. Fifty Electric Bulbs Are Connected In Series.
From byjus.com
if two bulbs of power 60 W and 100 W respectively each rated 110 V are Fifty Electric Bulbs Are Connected In Series If the remaining 45 are again. Explain the change in brightness of the light bulb if an identical light bulb is added to the circuit in series. A light bulb is connected to a battery in a series circuit. Fifty electric bulbs are connected in series across the mains of a 220 volts supply. 50 electric bulbs are connected across. Fifty Electric Bulbs Are Connected In Series.
From www.numerade.com
SOLVEDFifty electric bulbs are connected in series across the mains of Fifty Electric Bulbs Are Connected In Series First, we need to understand that when the bulbs are connected in series, the total resistance of the circuit is the sum of the resistances of each bulb. If the remaining 45 are again. Equal in both the cases. After one bulb is fused, the remaining 49 bulbs. More with 40 bulbs than with 39. More with 39 bulbs than. Fifty Electric Bulbs Are Connected In Series.
From www.youtube.com
Bulbs Connected in Series YouTube Fifty Electric Bulbs Are Connected In Series More with 40 bulbs than with 39. 50 electric bulbs are connected across supply of 220 volts. More with 39 bulbs than with 40. A light bulb is connected to a battery in a series circuit. After one bulb is fused, the remaining 49 bulbs. After one bulb is fused remaining 49 bulbs are again connected to. 50 electric bulbs. Fifty Electric Bulbs Are Connected In Series.
From cselectricalandelectronics.com
Two bulbs are connected in series which bulb will glow brightly Fifty Electric Bulbs Are Connected In Series After one bulb is fused, the remaining 49 bulbs. 50 electric bulbs are connected across supply of 220 volts. 50 electric bulbs are connected in series across a 220 v supply and the illumination produces is i 1,. 50 electric bulbs are connected in series across 200 volt supply and illumination produced is i 1.5 bulbs get fused. If the. Fifty Electric Bulbs Are Connected In Series.
From byjus.com
40. Electric bulb 50W 100V glowing at full poi's used in parallel with Fifty Electric Bulbs Are Connected In Series Fifty electric bulbs are connected in series across the mains of a 220 volts supply. First, we need to understand that when the bulbs are connected in series, the total resistance of the circuit is the sum of the resistances of each bulb. 50 electric bulbs are connected in series across 200 volt supply and illumination produced is i 1.5. Fifty Electric Bulbs Are Connected In Series.
From brainly.in
Three incandescent bulbs of 100W each are connected in series in an Fifty Electric Bulbs Are Connected In Series 50 electric bulbs are connected in series across a 220 v supply and the illumination produces is i 1,. If the remaining 45 are again. More with 40 bulbs than with 39. After one bulb is fused remaining 49 bulbs are again connected to. 50 electric bulbs are connected across supply of 220 volts. Equal in both the cases. Fifty. Fifty Electric Bulbs Are Connected In Series.
From www.organised-sound.com
How To Make Bulb In Series Circuits Labview Wiring Diagram Fifty Electric Bulbs Are Connected In Series After one bulb is fused remaining 49 bulbs are again connected to. After one bulb is fused, the remaining 49 bulbs. Fifty electric bulbs are connected in series across the mains of a 220 volts supply. 50 electric bulbs are connected in series across 200 volt supply and illumination produced is i 1.5 bulbs get fused. A light bulb is. Fifty Electric Bulbs Are Connected In Series.
From www.chegg.com
Solved A 100Watt and a 60Watt light bulb are connected in Fifty Electric Bulbs Are Connected In Series 50 electric bulbs are connected in series across 200 volt supply and illumination produced is i 1.5 bulbs get fused. Fifty electric bulbs are connected in series across the mains of a 220 volts supply. More with 39 bulbs than with 40. Equal in both the cases. After one bulb is fused remaining 49 bulbs are again connected to. 50. Fifty Electric Bulbs Are Connected In Series.
From www.youtube.com
Electrical Engg Bulbs connected in series and in parallel YouTube Fifty Electric Bulbs Are Connected In Series A light bulb is connected to a battery in a series circuit. First, we need to understand that when the bulbs are connected in series, the total resistance of the circuit is the sum of the resistances of each bulb. 50 electric bulbs are connected across supply of 220 volts. Equal in both the cases. More with 39 bulbs than. Fifty Electric Bulbs Are Connected In Series.
From www.dreamstime.com
An Electric Circuit Consisting of Seriesconnected Light Bulbs Stock Fifty Electric Bulbs Are Connected In Series Fifty electric bulbs are connected in series across the mains of a 220 volts supply. More with 39 bulbs than with 40. More with 40 bulbs than with 39. 50 electric bulbs are connected in series across a 220 v supply and the illumination produces is i 1,. After one bulb is fused remaining 49 bulbs are again connected to.. Fifty Electric Bulbs Are Connected In Series.
From www.electricaltechnology.org
How To Wire Switches in Series? Electrical Technology Fifty Electric Bulbs Are Connected In Series More with 39 bulbs than with 40. A light bulb is connected to a battery in a series circuit. First, we need to understand that when the bulbs are connected in series, the total resistance of the circuit is the sum of the resistances of each bulb. More with 40 bulbs than with 39. 50 electric bulbs are connected across. Fifty Electric Bulbs Are Connected In Series.
From schematicseamers.z14.web.core.windows.net
Connecting Lights In Series Fifty Electric Bulbs Are Connected In Series A light bulb is connected to a battery in a series circuit. If the remaining 45 are again. More with 40 bulbs than with 39. After one bulb is fused remaining 49 bulbs are again connected to. After one bulb is fused, the remaining 49 bulbs. 50 electric bulbs are connected in series across a 220 v supply and the. Fifty Electric Bulbs Are Connected In Series.
From www.wiringdraw.com
How Does The Brightness Of A Bulb Change In Series Circuit » Wiring Fifty Electric Bulbs Are Connected In Series 50 electric bulbs are connected in series across a 220 v supply and the illumination produces is i 1,. Explain the change in brightness of the light bulb if an identical light bulb is added to the circuit in series. A light bulb is connected to a battery in a series circuit. 50 electric bulbs are connected in series across. Fifty Electric Bulbs Are Connected In Series.
From www.chegg.com
Solved (Part IV) Two light bulbs connected in series and Fifty Electric Bulbs Are Connected In Series 50 electric bulbs are connected in series across 200 volt supply and illumination produced is i 1.5 bulbs get fused. More with 39 bulbs than with 40. After one bulb is fused, the remaining 49 bulbs. After one bulb is fused remaining 49 bulbs are again connected to. If the remaining 45 are again. A light bulb is connected to. Fifty Electric Bulbs Are Connected In Series.
From schematiclistvaal123.z22.web.core.windows.net
A 220v 100w Bulb Is Connected Fifty Electric Bulbs Are Connected In Series After one bulb is fused remaining 49 bulbs are again connected to. 50 electric bulbs are connected in series across 200 volt supply and illumination produced is i 1.5 bulbs get fused. Equal in both the cases. 50 electric bulbs are connected in series across a 220 v supply and the illumination produces is i 1,. First, we need to. Fifty Electric Bulbs Are Connected In Series.
From www.youtube.com
Bulbs Arranged in Series Brightness of Bulbs YouTube Fifty Electric Bulbs Are Connected In Series Explain the change in brightness of the light bulb if an identical light bulb is added to the circuit in series. More with 39 bulbs than with 40. More with 40 bulbs than with 39. Equal in both the cases. First, we need to understand that when the bulbs are connected in series, the total resistance of the circuit is. Fifty Electric Bulbs Are Connected In Series.
From www.chegg.com
Solved The circuit below consists of a pair of light bulbs Fifty Electric Bulbs Are Connected In Series A light bulb is connected to a battery in a series circuit. After one bulb is fused remaining 49 bulbs are again connected to. 50 electric bulbs are connected in series across 200 volt supply and illumination produced is i 1.5 bulbs get fused. First, we need to understand that when the bulbs are connected in series, the total resistance. Fifty Electric Bulbs Are Connected In Series.
From www.shutterstock.com
71 Circuit Diagram Two Bulbs Images, Stock Photos, 3D objects Fifty Electric Bulbs Are Connected In Series 50 electric bulbs are connected in series across a 220 v supply and the illumination produces is i 1,. 50 electric bulbs are connected in series across 200 volt supply and illumination produced is i 1.5 bulbs get fused. More with 39 bulbs than with 40. After one bulb is fused remaining 49 bulbs are again connected to. 50 electric. Fifty Electric Bulbs Are Connected In Series.
From byjus.com
38.Two electric bulbs A and B rated 200V 100W and 200V 60W are Fifty Electric Bulbs Are Connected In Series After one bulb is fused remaining 49 bulbs are again connected to. 50 electric bulbs are connected in series across a 220 v supply and the illumination produces is i 1,. First, we need to understand that when the bulbs are connected in series, the total resistance of the circuit is the sum of the resistances of each bulb. Fifty. Fifty Electric Bulbs Are Connected In Series.
From www.youtube.com
Series connection of bulbs YouTube Fifty Electric Bulbs Are Connected In Series Explain the change in brightness of the light bulb if an identical light bulb is added to the circuit in series. More with 39 bulbs than with 40. After one bulb is fused remaining 49 bulbs are again connected to. A light bulb is connected to a battery in a series circuit. 50 electric bulbs are connected across supply of. Fifty Electric Bulbs Are Connected In Series.
From wiringlistosborne.z5.web.core.windows.net
Wiring Light Bulbs In Series Fifty Electric Bulbs Are Connected In Series 50 electric bulbs are connected in series across 200 volt supply and illumination produced is i 1.5 bulbs get fused. After one bulb is fused, the remaining 49 bulbs. 50 electric bulbs are connected across supply of 220 volts. More with 39 bulbs than with 40. Fifty electric bulbs are connected in series across the mains of a 220 volts. Fifty Electric Bulbs Are Connected In Series.
From www.youtube.com
Two Bulbs Connected In Series Which bulb will glow YouTube Fifty Electric Bulbs Are Connected In Series Fifty electric bulbs are connected in series across the mains of a 220 volts supply. First, we need to understand that when the bulbs are connected in series, the total resistance of the circuit is the sum of the resistances of each bulb. More with 39 bulbs than with 40. After one bulb is fused remaining 49 bulbs are again. Fifty Electric Bulbs Are Connected In Series.
From br.pinterest.com
how to make a series bulb connection Electronics projects, Making Fifty Electric Bulbs Are Connected In Series If the remaining 45 are again. 50 electric bulbs are connected across supply of 220 volts. More with 40 bulbs than with 39. After one bulb is fused, the remaining 49 bulbs. Equal in both the cases. 50 electric bulbs are connected in series across a 220 v supply and the illumination produces is i 1,. More with 39 bulbs. Fifty Electric Bulbs Are Connected In Series.
From enginelibraryeisenhauer.z19.web.core.windows.net
Series Circuit Diagram With Ammeter And Voltmeter Fifty Electric Bulbs Are Connected In Series Explain the change in brightness of the light bulb if an identical light bulb is added to the circuit in series. More with 39 bulbs than with 40. More with 40 bulbs than with 39. 50 electric bulbs are connected in series across a 220 v supply and the illumination produces is i 1,. First, we need to understand that. Fifty Electric Bulbs Are Connected In Series.
From www.numerade.com
SOLVED "Fifty electric bulbs, all identical, are connected in series Fifty Electric Bulbs Are Connected In Series After one bulb is fused, the remaining 49 bulbs. If the remaining 45 are again. Explain the change in brightness of the light bulb if an identical light bulb is added to the circuit in series. A light bulb is connected to a battery in a series circuit. Fifty electric bulbs are connected in series across the mains of a. Fifty Electric Bulbs Are Connected In Series.
From byjus.com
Four bulbs having powers 25 W, 40 W,60 W and 100 W are connected in Fifty Electric Bulbs Are Connected In Series More with 39 bulbs than with 40. A light bulb is connected to a battery in a series circuit. After one bulb is fused remaining 49 bulbs are again connected to. Fifty electric bulbs are connected in series across the mains of a 220 volts supply. 50 electric bulbs are connected across supply of 220 volts. More with 40 bulbs. Fifty Electric Bulbs Are Connected In Series.
From www.youtube.com
Three incandescent bulbs of 100 W each are connected in series in an Fifty Electric Bulbs Are Connected In Series More with 40 bulbs than with 39. 50 electric bulbs are connected in series across a 220 v supply and the illumination produces is i 1,. Equal in both the cases. If the remaining 45 are again. A light bulb is connected to a battery in a series circuit. Fifty electric bulbs are connected in series across the mains of. Fifty Electric Bulbs Are Connected In Series.
From www.numerade.com
SOLVED The following figure shows an electric circuit with four bulbs Fifty Electric Bulbs Are Connected In Series 50 electric bulbs are connected in series across 200 volt supply and illumination produced is i 1.5 bulbs get fused. After one bulb is fused remaining 49 bulbs are again connected to. Explain the change in brightness of the light bulb if an identical light bulb is added to the circuit in series. Fifty electric bulbs are connected in series. Fifty Electric Bulbs Are Connected In Series.
From www.youtube.com
How to make series bulb connection YouTube Fifty Electric Bulbs Are Connected In Series First, we need to understand that when the bulbs are connected in series, the total resistance of the circuit is the sum of the resistances of each bulb. 50 electric bulbs are connected in series across 200 volt supply and illumination produced is i 1.5 bulbs get fused. After one bulb is fused remaining 49 bulbs are again connected to.. Fifty Electric Bulbs Are Connected In Series.
From studylib.net
Light Bulbs in Series, Parallel, and Combination Fifty Electric Bulbs Are Connected In Series First, we need to understand that when the bulbs are connected in series, the total resistance of the circuit is the sum of the resistances of each bulb. 50 electric bulbs are connected across supply of 220 volts. A light bulb is connected to a battery in a series circuit. More with 40 bulbs than with 39. Fifty electric bulbs. Fifty Electric Bulbs Are Connected In Series.
From hxenfrttm.blob.core.windows.net
Bulbs Connected In Series Brightness at Victoria Hunter blog Fifty Electric Bulbs Are Connected In Series Fifty electric bulbs are connected in series across the mains of a 220 volts supply. More with 39 bulbs than with 40. After one bulb is fused remaining 49 bulbs are again connected to. 50 electric bulbs are connected in series across a 220 v supply and the illumination produces is i 1,. A light bulb is connected to a. Fifty Electric Bulbs Are Connected In Series.
From www.numerade.com
SOLVED A circuit consists of 2 light bulbs, connected in series to a Fifty Electric Bulbs Are Connected In Series If the remaining 45 are again. 50 electric bulbs are connected in series across a 220 v supply and the illumination produces is i 1,. Fifty electric bulbs are connected in series across the mains of a 220 volts supply. More with 39 bulbs than with 40. First, we need to understand that when the bulbs are connected in series,. Fifty Electric Bulbs Are Connected In Series.
From www.youtube.com
SCHEMATIC & ACTUAL WIRING DIAGRAM OF 2 BULBS CONNECTED IN SERIES Fifty Electric Bulbs Are Connected In Series Fifty electric bulbs are connected in series across the mains of a 220 volts supply. After one bulb is fused remaining 49 bulbs are again connected to. First, we need to understand that when the bulbs are connected in series, the total resistance of the circuit is the sum of the resistances of each bulb. Explain the change in brightness. Fifty Electric Bulbs Are Connected In Series.