Bakelite Is A Conductor Or An Insulator . Bakelite board has excellent insulation properties, and its insulation resistance and dielectric constant are both high. Some materials let electricity pass through them easily. In this comprehensive guide, i explore the history and development of bakelite, from its invention by leo baekeland to its status as the first fully synthetic plastic. These materials are known as electrical conductors. While newer synthetics might offer marginal improvements in. Bakelite is the first synthetic plastic invented by leo baekeland in 1907. Learn about the unique properties of bakelite that make it a standout in electrical insulation, with its excellent heat and chemical resistance. This means that under high voltage or large current conditions, the bakelite. Bakelite strikes an effective balance between performance and affordability. Separate these objects into conductors and insulators. It has high mechanical strength, heat resistance, electrical insulation, and chemical resistance, making it ideal for various industrial applications, such as electrical insulators, automotive parts, and furniture. Explain how you know if a material is a conductor or an insulator.
from www.exportersindia.com
Learn about the unique properties of bakelite that make it a standout in electrical insulation, with its excellent heat and chemical resistance. Bakelite board has excellent insulation properties, and its insulation resistance and dielectric constant are both high. Bakelite strikes an effective balance between performance and affordability. Some materials let electricity pass through them easily. In this comprehensive guide, i explore the history and development of bakelite, from its invention by leo baekeland to its status as the first fully synthetic plastic. This means that under high voltage or large current conditions, the bakelite. These materials are known as electrical conductors. Separate these objects into conductors and insulators. It has high mechanical strength, heat resistance, electrical insulation, and chemical resistance, making it ideal for various industrial applications, such as electrical insulators, automotive parts, and furniture. While newer synthetics might offer marginal improvements in.
Bakelite Electrical Insulator, for Industrial Use, Feature Four Times
Bakelite Is A Conductor Or An Insulator Some materials let electricity pass through them easily. It has high mechanical strength, heat resistance, electrical insulation, and chemical resistance, making it ideal for various industrial applications, such as electrical insulators, automotive parts, and furniture. These materials are known as electrical conductors. Some materials let electricity pass through them easily. This means that under high voltage or large current conditions, the bakelite. While newer synthetics might offer marginal improvements in. Learn about the unique properties of bakelite that make it a standout in electrical insulation, with its excellent heat and chemical resistance. Separate these objects into conductors and insulators. Bakelite is the first synthetic plastic invented by leo baekeland in 1907. In this comprehensive guide, i explore the history and development of bakelite, from its invention by leo baekeland to its status as the first fully synthetic plastic. Explain how you know if a material is a conductor or an insulator. Bakelite strikes an effective balance between performance and affordability. Bakelite board has excellent insulation properties, and its insulation resistance and dielectric constant are both high.
From www.perfectpacking.co.in
INSULATION MATERIAL PTFE CUT GASKET Wholesale Trader from Pune Bakelite Is A Conductor Or An Insulator Bakelite board has excellent insulation properties, and its insulation resistance and dielectric constant are both high. This means that under high voltage or large current conditions, the bakelite. Bakelite strikes an effective balance between performance and affordability. While newer synthetics might offer marginal improvements in. Bakelite is the first synthetic plastic invented by leo baekeland in 1907. Explain how you. Bakelite Is A Conductor Or An Insulator.
From ar.inspiredpencil.com
Bakelite Material Bakelite Is A Conductor Or An Insulator Bakelite board has excellent insulation properties, and its insulation resistance and dielectric constant are both high. These materials are known as electrical conductors. This means that under high voltage or large current conditions, the bakelite. Learn about the unique properties of bakelite that make it a standout in electrical insulation, with its excellent heat and chemical resistance. Bakelite is the. Bakelite Is A Conductor Or An Insulator.
From www.fenharxz.com
Paper Phenolic Laminates FENHAR Bakelite Is A Conductor Or An Insulator Bakelite is the first synthetic plastic invented by leo baekeland in 1907. It has high mechanical strength, heat resistance, electrical insulation, and chemical resistance, making it ideal for various industrial applications, such as electrical insulators, automotive parts, and furniture. This means that under high voltage or large current conditions, the bakelite. In this comprehensive guide, i explore the history and. Bakelite Is A Conductor Or An Insulator.
From collegedunia.com
Bakelite Definition, Preparation, and Properties Bakelite Is A Conductor Or An Insulator Explain how you know if a material is a conductor or an insulator. It has high mechanical strength, heat resistance, electrical insulation, and chemical resistance, making it ideal for various industrial applications, such as electrical insulators, automotive parts, and furniture. Learn about the unique properties of bakelite that make it a standout in electrical insulation, with its excellent heat and. Bakelite Is A Conductor Or An Insulator.
From www.zigyan.com
Bakelite is a product of the reaction between Bakelite Is A Conductor Or An Insulator Bakelite is the first synthetic plastic invented by leo baekeland in 1907. Separate these objects into conductors and insulators. Learn about the unique properties of bakelite that make it a standout in electrical insulation, with its excellent heat and chemical resistance. Explain how you know if a material is a conductor or an insulator. These materials are known as electrical. Bakelite Is A Conductor Or An Insulator.
From www.etsy.com
Antique Ceramic Electrical Insulators, Vintage Bakelite Insulator Bakelite Is A Conductor Or An Insulator Separate these objects into conductors and insulators. This means that under high voltage or large current conditions, the bakelite. Some materials let electricity pass through them easily. These materials are known as electrical conductors. Learn about the unique properties of bakelite that make it a standout in electrical insulation, with its excellent heat and chemical resistance. In this comprehensive guide,. Bakelite Is A Conductor Or An Insulator.
From www.etsy.com
Antique Ceramic Electrical Insulators, Vintage Bakelite Insulator Bakelite Is A Conductor Or An Insulator Bakelite strikes an effective balance between performance and affordability. While newer synthetics might offer marginal improvements in. Explain how you know if a material is a conductor or an insulator. Bakelite is the first synthetic plastic invented by leo baekeland in 1907. Bakelite board has excellent insulation properties, and its insulation resistance and dielectric constant are both high. This means. Bakelite Is A Conductor Or An Insulator.
From www.fenharxz.com
Bakelite Paper Sheet FENHAR Bakelite Is A Conductor Or An Insulator Some materials let electricity pass through them easily. Bakelite strikes an effective balance between performance and affordability. Bakelite board has excellent insulation properties, and its insulation resistance and dielectric constant are both high. Bakelite is the first synthetic plastic invented by leo baekeland in 1907. It has high mechanical strength, heat resistance, electrical insulation, and chemical resistance, making it ideal. Bakelite Is A Conductor Or An Insulator.
From www.beeplastic.com
Bakelite Sheet What It Is, How It's Made, and Why It's Useful beeplastic Bakelite Is A Conductor Or An Insulator Explain how you know if a material is a conductor or an insulator. In this comprehensive guide, i explore the history and development of bakelite, from its invention by leo baekeland to its status as the first fully synthetic plastic. Bakelite is the first synthetic plastic invented by leo baekeland in 1907. These materials are known as electrical conductors. This. Bakelite Is A Conductor Or An Insulator.
From byjus.com
Briefly explain the formation of bakelite with proper chemical equations Bakelite Is A Conductor Or An Insulator In this comprehensive guide, i explore the history and development of bakelite, from its invention by leo baekeland to its status as the first fully synthetic plastic. It has high mechanical strength, heat resistance, electrical insulation, and chemical resistance, making it ideal for various industrial applications, such as electrical insulators, automotive parts, and furniture. While newer synthetics might offer marginal. Bakelite Is A Conductor Or An Insulator.
From www.etsy.com
Antique Ceramic Electrical Insulators, Vintage Bakelite Insulator Bakelite Is A Conductor Or An Insulator Explain how you know if a material is a conductor or an insulator. Some materials let electricity pass through them easily. It has high mechanical strength, heat resistance, electrical insulation, and chemical resistance, making it ideal for various industrial applications, such as electrical insulators, automotive parts, and furniture. Learn about the unique properties of bakelite that make it a standout. Bakelite Is A Conductor Or An Insulator.
From www.elvenkrafte.com
New Page 1 Bakelite Is A Conductor Or An Insulator In this comprehensive guide, i explore the history and development of bakelite, from its invention by leo baekeland to its status as the first fully synthetic plastic. Learn about the unique properties of bakelite that make it a standout in electrical insulation, with its excellent heat and chemical resistance. Separate these objects into conductors and insulators. It has high mechanical. Bakelite Is A Conductor Or An Insulator.
From learningdbpfeifer.z21.web.core.windows.net
Electrical Conductivity Of Metals Table Bakelite Is A Conductor Or An Insulator Bakelite is the first synthetic plastic invented by leo baekeland in 1907. This means that under high voltage or large current conditions, the bakelite. These materials are known as electrical conductors. It has high mechanical strength, heat resistance, electrical insulation, and chemical resistance, making it ideal for various industrial applications, such as electrical insulators, automotive parts, and furniture. Explain how. Bakelite Is A Conductor Or An Insulator.
From www.pinterest.com
Examples of Conductors and Insulators Insulators and conductors Bakelite Is A Conductor Or An Insulator Explain how you know if a material is a conductor or an insulator. Learn about the unique properties of bakelite that make it a standout in electrical insulation, with its excellent heat and chemical resistance. These materials are known as electrical conductors. Bakelite board has excellent insulation properties, and its insulation resistance and dielectric constant are both high. Bakelite strikes. Bakelite Is A Conductor Or An Insulator.
From www.quandaplastic.com
Antistatic technology for bakelite boards principles, advantages and Bakelite Is A Conductor Or An Insulator Learn about the unique properties of bakelite that make it a standout in electrical insulation, with its excellent heat and chemical resistance. Bakelite strikes an effective balance between performance and affordability. It has high mechanical strength, heat resistance, electrical insulation, and chemical resistance, making it ideal for various industrial applications, such as electrical insulators, automotive parts, and furniture. Bakelite board. Bakelite Is A Conductor Or An Insulator.
From diamotech.fr
Briques Bakélite Bakelite Is A Conductor Or An Insulator In this comprehensive guide, i explore the history and development of bakelite, from its invention by leo baekeland to its status as the first fully synthetic plastic. While newer synthetics might offer marginal improvements in. Bakelite is the first synthetic plastic invented by leo baekeland in 1907. Separate these objects into conductors and insulators. Learn about the unique properties of. Bakelite Is A Conductor Or An Insulator.
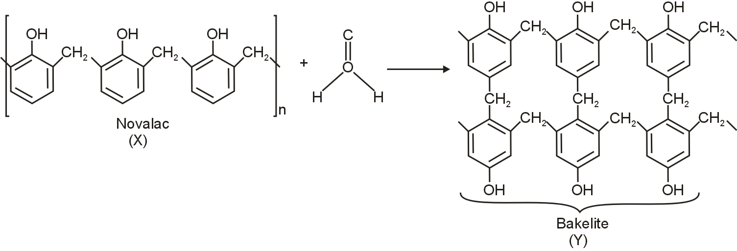
From www.zigyan.com
Identify X and Y in the given polymerization reactions Bakelite Is A Conductor Or An Insulator This means that under high voltage or large current conditions, the bakelite. Bakelite is the first synthetic plastic invented by leo baekeland in 1907. Bakelite strikes an effective balance between performance and affordability. These materials are known as electrical conductors. Some materials let electricity pass through them easily. While newer synthetics might offer marginal improvements in. In this comprehensive guide,. Bakelite Is A Conductor Or An Insulator.
From www.mcneallplastics.com.au
Bakelite Plastic What Is It? — McNeall Plastics Bakelite Is A Conductor Or An Insulator While newer synthetics might offer marginal improvements in. Bakelite is the first synthetic plastic invented by leo baekeland in 1907. Bakelite strikes an effective balance between performance and affordability. These materials are known as electrical conductors. Bakelite board has excellent insulation properties, and its insulation resistance and dielectric constant are both high. It has high mechanical strength, heat resistance, electrical. Bakelite Is A Conductor Or An Insulator.
From www.atomicofmadison.com
What is Bakelite and how to spot it? Bakelite Is A Conductor Or An Insulator In this comprehensive guide, i explore the history and development of bakelite, from its invention by leo baekeland to its status as the first fully synthetic plastic. Some materials let electricity pass through them easily. Bakelite board has excellent insulation properties, and its insulation resistance and dielectric constant are both high. It has high mechanical strength, heat resistance, electrical insulation,. Bakelite Is A Conductor Or An Insulator.
From sallybass.com
History of Bakelite Bakelite Is A Conductor Or An Insulator Some materials let electricity pass through them easily. It has high mechanical strength, heat resistance, electrical insulation, and chemical resistance, making it ideal for various industrial applications, such as electrical insulators, automotive parts, and furniture. Bakelite board has excellent insulation properties, and its insulation resistance and dielectric constant are both high. This means that under high voltage or large current. Bakelite Is A Conductor Or An Insulator.
From www.zigyan.com
The structure of bakelite is Bakelite Is A Conductor Or An Insulator Separate these objects into conductors and insulators. In this comprehensive guide, i explore the history and development of bakelite, from its invention by leo baekeland to its status as the first fully synthetic plastic. Bakelite strikes an effective balance between performance and affordability. Bakelite board has excellent insulation properties, and its insulation resistance and dielectric constant are both high. While. Bakelite Is A Conductor Or An Insulator.
From www.tradeindia.com
Electrical Insulator Bakelite Sheets at Best Price in Delhi S.k. Jain Bakelite Is A Conductor Or An Insulator Explain how you know if a material is a conductor or an insulator. It has high mechanical strength, heat resistance, electrical insulation, and chemical resistance, making it ideal for various industrial applications, such as electrical insulators, automotive parts, and furniture. Separate these objects into conductors and insulators. While newer synthetics might offer marginal improvements in. These materials are known as. Bakelite Is A Conductor Or An Insulator.
From www.thesprucecrafts.com
6 Tests to Authenticate Bakelite Bakelite Is A Conductor Or An Insulator Bakelite strikes an effective balance between performance and affordability. While newer synthetics might offer marginal improvements in. It has high mechanical strength, heat resistance, electrical insulation, and chemical resistance, making it ideal for various industrial applications, such as electrical insulators, automotive parts, and furniture. Some materials let electricity pass through them easily. These materials are known as electrical conductors. Explain. Bakelite Is A Conductor Or An Insulator.
From www.beeplastic.com
Bakelite Sheets Properties, Uses, and Where to Buy beeplastic Bakelite Is A Conductor Or An Insulator These materials are known as electrical conductors. Learn about the unique properties of bakelite that make it a standout in electrical insulation, with its excellent heat and chemical resistance. While newer synthetics might offer marginal improvements in. Bakelite strikes an effective balance between performance and affordability. Separate these objects into conductors and insulators. In this comprehensive guide, i explore the. Bakelite Is A Conductor Or An Insulator.
From robelbois.com
Robelbois FILM FACED PLYWOOD (BAKELITE) Bakelite Is A Conductor Or An Insulator Learn about the unique properties of bakelite that make it a standout in electrical insulation, with its excellent heat and chemical resistance. While newer synthetics might offer marginal improvements in. Explain how you know if a material is a conductor or an insulator. These materials are known as electrical conductors. Bakelite is the first synthetic plastic invented by leo baekeland. Bakelite Is A Conductor Or An Insulator.
From www.honyplastic.com
Bakelite Sheet Plate,Electrical Bakelite Insulation Sheet,bakelite fixture Bakelite Is A Conductor Or An Insulator Bakelite board has excellent insulation properties, and its insulation resistance and dielectric constant are both high. These materials are known as electrical conductors. Learn about the unique properties of bakelite that make it a standout in electrical insulation, with its excellent heat and chemical resistance. Some materials let electricity pass through them easily. Bakelite strikes an effective balance between performance. Bakelite Is A Conductor Or An Insulator.
From ar.inspiredpencil.com
Bakelite Sheet Bakelite Is A Conductor Or An Insulator These materials are known as electrical conductors. This means that under high voltage or large current conditions, the bakelite. Separate these objects into conductors and insulators. It has high mechanical strength, heat resistance, electrical insulation, and chemical resistance, making it ideal for various industrial applications, such as electrical insulators, automotive parts, and furniture. While newer synthetics might offer marginal improvements. Bakelite Is A Conductor Or An Insulator.
From www.indiamart.com
Electrical Bakelite insulator at Rs 20 Chennai ID 25157467762 Bakelite Is A Conductor Or An Insulator It has high mechanical strength, heat resistance, electrical insulation, and chemical resistance, making it ideal for various industrial applications, such as electrical insulators, automotive parts, and furniture. Bakelite board has excellent insulation properties, and its insulation resistance and dielectric constant are both high. Separate these objects into conductors and insulators. In this comprehensive guide, i explore the history and development. Bakelite Is A Conductor Or An Insulator.
From www.honyplastic.com
Bakelite Sheet Plate,Electrical Bakelite Insulation Sheet,bakelite fixture Bakelite Is A Conductor Or An Insulator It has high mechanical strength, heat resistance, electrical insulation, and chemical resistance, making it ideal for various industrial applications, such as electrical insulators, automotive parts, and furniture. This means that under high voltage or large current conditions, the bakelite. These materials are known as electrical conductors. While newer synthetics might offer marginal improvements in. In this comprehensive guide, i explore. Bakelite Is A Conductor Or An Insulator.
From www.indiamart.com
Electrical Bakelite insulator at Rs 22 Choolaimedu Chennai ID Bakelite Is A Conductor Or An Insulator These materials are known as electrical conductors. In this comprehensive guide, i explore the history and development of bakelite, from its invention by leo baekeland to its status as the first fully synthetic plastic. While newer synthetics might offer marginal improvements in. Bakelite strikes an effective balance between performance and affordability. Bakelite is the first synthetic plastic invented by leo. Bakelite Is A Conductor Or An Insulator.
From www.etsy.com
Antique Ceramic Electrical Insulators, Vintage Bakelite Insulator Bakelite Is A Conductor Or An Insulator Bakelite board has excellent insulation properties, and its insulation resistance and dielectric constant are both high. This means that under high voltage or large current conditions, the bakelite. Some materials let electricity pass through them easily. While newer synthetics might offer marginal improvements in. Learn about the unique properties of bakelite that make it a standout in electrical insulation, with. Bakelite Is A Conductor Or An Insulator.
From www.etsy.com
Antique Ceramic Electrical Insulators, Vintage Bakelite Insulator Bakelite Is A Conductor Or An Insulator Bakelite board has excellent insulation properties, and its insulation resistance and dielectric constant are both high. Explain how you know if a material is a conductor or an insulator. These materials are known as electrical conductors. Bakelite strikes an effective balance between performance and affordability. Separate these objects into conductors and insulators. This means that under high voltage or large. Bakelite Is A Conductor Or An Insulator.
From www.ztelecgroup.com
application of bakelite sheet,bakelite sheet Bakelite Is A Conductor Or An Insulator In this comprehensive guide, i explore the history and development of bakelite, from its invention by leo baekeland to its status as the first fully synthetic plastic. Bakelite board has excellent insulation properties, and its insulation resistance and dielectric constant are both high. Explain how you know if a material is a conductor or an insulator. These materials are known. Bakelite Is A Conductor Or An Insulator.
From www.exportersindia.com
Bakelite Electrical Insulator, for Industrial Use, Feature Four Times Bakelite Is A Conductor Or An Insulator Learn about the unique properties of bakelite that make it a standout in electrical insulation, with its excellent heat and chemical resistance. Some materials let electricity pass through them easily. While newer synthetics might offer marginal improvements in. Explain how you know if a material is a conductor or an insulator. Bakelite strikes an effective balance between performance and affordability.. Bakelite Is A Conductor Or An Insulator.
From www.doubtnut.com
Bakelite is a product of the reaction between Bakelite Is A Conductor Or An Insulator Bakelite strikes an effective balance between performance and affordability. Bakelite board has excellent insulation properties, and its insulation resistance and dielectric constant are both high. Separate these objects into conductors and insulators. It has high mechanical strength, heat resistance, electrical insulation, and chemical resistance, making it ideal for various industrial applications, such as electrical insulators, automotive parts, and furniture. Some. Bakelite Is A Conductor Or An Insulator.