Iron(Iii) Chloride Dissolved In Water Equation . It is also called iron (iii) chloride or molysite. Write a balanced equation for the reaction of iron with chlorine to produce solid iron(iii) chloride, fecl 3. Ferric chloride is a dark colour crystal with the oxidation state of iron being +3. It is an iron coordination entity which functions as an astringent and. When dissolved in water, it undergoes hydrolysis, resulting in the formation of hydrochloric acid and iron (iii) hydroxide. Hydrolysis isn't completely suppressed even in strongly. When dissolved in water, it dissociates into fe3+. Iron(iii) chloride indeed hydrolyses in water, or to be precise, $\ce{fe^3+}$ does assuring acidic medium. Beyond this covalent nature, iron(iii) chloride also showcases ionic characteristics, especially in its aqueous state. Iron (iii) chloride hydrate may be produced by adding steel wool (which is relatively pure iron) to a mixture of hydrogen peroxide and hydrochloric acid, and then. In this video we will describe the equation fecl3 + h2o and write what happens when fecl3 (iron (iii) chloride) is dissolved in.
        
         
         
        from www.numerade.com 
     
        
        Write a balanced equation for the reaction of iron with chlorine to produce solid iron(iii) chloride, fecl 3. Beyond this covalent nature, iron(iii) chloride also showcases ionic characteristics, especially in its aqueous state. It is also called iron (iii) chloride or molysite. Ferric chloride is a dark colour crystal with the oxidation state of iron being +3. In this video we will describe the equation fecl3 + h2o and write what happens when fecl3 (iron (iii) chloride) is dissolved in. Hydrolysis isn't completely suppressed even in strongly. Iron(iii) chloride indeed hydrolyses in water, or to be precise, $\ce{fe^3+}$ does assuring acidic medium. When dissolved in water, it dissociates into fe3+. It is an iron coordination entity which functions as an astringent and. When dissolved in water, it undergoes hydrolysis, resulting in the formation of hydrochloric acid and iron (iii) hydroxide.
    
    	
            
	
		 
	 
         
    SOLVED Note 'major" chemical species are those present in 
    Iron(Iii) Chloride Dissolved In Water Equation  Ferric chloride is a dark colour crystal with the oxidation state of iron being +3. Write a balanced equation for the reaction of iron with chlorine to produce solid iron(iii) chloride, fecl 3. In this video we will describe the equation fecl3 + h2o and write what happens when fecl3 (iron (iii) chloride) is dissolved in. It is also called iron (iii) chloride or molysite. When dissolved in water, it dissociates into fe3+. Hydrolysis isn't completely suppressed even in strongly. Ferric chloride is a dark colour crystal with the oxidation state of iron being +3. Iron(iii) chloride indeed hydrolyses in water, or to be precise, $\ce{fe^3+}$ does assuring acidic medium. Beyond this covalent nature, iron(iii) chloride also showcases ionic characteristics, especially in its aqueous state. It is an iron coordination entity which functions as an astringent and. Iron (iii) chloride hydrate may be produced by adding steel wool (which is relatively pure iron) to a mixture of hydrogen peroxide and hydrochloric acid, and then. When dissolved in water, it undergoes hydrolysis, resulting in the formation of hydrochloric acid and iron (iii) hydroxide.
            
	
		 
	 
         
 
    
         
        From slideplayer.com 
                    Chapter 4 Chemical Reactions ppt download Iron(Iii) Chloride Dissolved In Water Equation  Iron(iii) chloride indeed hydrolyses in water, or to be precise, $\ce{fe^3+}$ does assuring acidic medium. Write a balanced equation for the reaction of iron with chlorine to produce solid iron(iii) chloride, fecl 3. It is an iron coordination entity which functions as an astringent and. Beyond this covalent nature, iron(iii) chloride also showcases ionic characteristics, especially in its aqueous state.. Iron(Iii) Chloride Dissolved In Water Equation.
     
    
         
        From www.youtube.com 
                    Lewis Structure of Iron (III) Chloride, FeCl3 YouTube Iron(Iii) Chloride Dissolved In Water Equation  Write a balanced equation for the reaction of iron with chlorine to produce solid iron(iii) chloride, fecl 3. Ferric chloride is a dark colour crystal with the oxidation state of iron being +3. Beyond this covalent nature, iron(iii) chloride also showcases ionic characteristics, especially in its aqueous state. It is an iron coordination entity which functions as an astringent and.. Iron(Iii) Chloride Dissolved In Water Equation.
     
    
         
        From slideplayer.com 
                    “Chemical Reactions”. ppt download Iron(Iii) Chloride Dissolved In Water Equation  Beyond this covalent nature, iron(iii) chloride also showcases ionic characteristics, especially in its aqueous state. In this video we will describe the equation fecl3 + h2o and write what happens when fecl3 (iron (iii) chloride) is dissolved in. Ferric chloride is a dark colour crystal with the oxidation state of iron being +3. When dissolved in water, it undergoes hydrolysis,. Iron(Iii) Chloride Dissolved In Water Equation.
     
    
         
        From www.coursehero.com 
                    [Solved] When aqueous an solutions of iron(III) sulfate and sodium Iron(Iii) Chloride Dissolved In Water Equation  It is also called iron (iii) chloride or molysite. Hydrolysis isn't completely suppressed even in strongly. Iron(iii) chloride indeed hydrolyses in water, or to be precise, $\ce{fe^3+}$ does assuring acidic medium. Iron (iii) chloride hydrate may be produced by adding steel wool (which is relatively pure iron) to a mixture of hydrogen peroxide and hydrochloric acid, and then. Write a. Iron(Iii) Chloride Dissolved In Water Equation.
     
    
         
        From www.numerade.com 
                    SOLVEDThe reaction of iron metal and chlorine gas to give iron(III Iron(Iii) Chloride Dissolved In Water Equation  Iron(iii) chloride indeed hydrolyses in water, or to be precise, $\ce{fe^3+}$ does assuring acidic medium. Beyond this covalent nature, iron(iii) chloride also showcases ionic characteristics, especially in its aqueous state. When dissolved in water, it undergoes hydrolysis, resulting in the formation of hydrochloric acid and iron (iii) hydroxide. Hydrolysis isn't completely suppressed even in strongly. When dissolved in water, it. Iron(Iii) Chloride Dissolved In Water Equation.
     
    
         
        From www.youtube.com 
                    How to Balance FeCl3 + Na2S = Fe2S3 + NaCl (Iron (III) chloride Iron(Iii) Chloride Dissolved In Water Equation  Write a balanced equation for the reaction of iron with chlorine to produce solid iron(iii) chloride, fecl 3. Hydrolysis isn't completely suppressed even in strongly. Iron (iii) chloride hydrate may be produced by adding steel wool (which is relatively pure iron) to a mixture of hydrogen peroxide and hydrochloric acid, and then. Ferric chloride is a dark colour crystal with. Iron(Iii) Chloride Dissolved In Water Equation.
     
    
         
        From www.numerade.com 
                    SOLVEDHow many grams of water are required to dissolve 12.7 grams of Iron(Iii) Chloride Dissolved In Water Equation  It is an iron coordination entity which functions as an astringent and. Beyond this covalent nature, iron(iii) chloride also showcases ionic characteristics, especially in its aqueous state. When dissolved in water, it undergoes hydrolysis, resulting in the formation of hydrochloric acid and iron (iii) hydroxide. In this video we will describe the equation fecl3 + h2o and write what happens. Iron(Iii) Chloride Dissolved In Water Equation.
     
    
         
        From www.youtube.com 
                    How to Write the Formula for Iron (III) chloride YouTube Iron(Iii) Chloride Dissolved In Water Equation  When dissolved in water, it dissociates into fe3+. Iron(iii) chloride indeed hydrolyses in water, or to be precise, $\ce{fe^3+}$ does assuring acidic medium. When dissolved in water, it undergoes hydrolysis, resulting in the formation of hydrochloric acid and iron (iii) hydroxide. Iron (iii) chloride hydrate may be produced by adding steel wool (which is relatively pure iron) to a mixture. Iron(Iii) Chloride Dissolved In Water Equation.
     
    
         
        From www.chegg.com 
                    Solved a Write molecular equation for the following Iron(Iii) Chloride Dissolved In Water Equation  It is also called iron (iii) chloride or molysite. Hydrolysis isn't completely suppressed even in strongly. Beyond this covalent nature, iron(iii) chloride also showcases ionic characteristics, especially in its aqueous state. Ferric chloride is a dark colour crystal with the oxidation state of iron being +3. When dissolved in water, it undergoes hydrolysis, resulting in the formation of hydrochloric acid. Iron(Iii) Chloride Dissolved In Water Equation.
     
    
         
        From www.coursehero.com 
                    [Solved] A chemist prepares a solution of iron (III) chloride (FeCl Iron(Iii) Chloride Dissolved In Water Equation  Iron (iii) chloride hydrate may be produced by adding steel wool (which is relatively pure iron) to a mixture of hydrogen peroxide and hydrochloric acid, and then. When dissolved in water, it undergoes hydrolysis, resulting in the formation of hydrochloric acid and iron (iii) hydroxide. It is also called iron (iii) chloride or molysite. It is an iron coordination entity. Iron(Iii) Chloride Dissolved In Water Equation.
     
    
         
        From www.sciencephoto.com 
                    Iron chlorides Stock Image C011/4551 Science Photo Library Iron(Iii) Chloride Dissolved In Water Equation  Hydrolysis isn't completely suppressed even in strongly. Beyond this covalent nature, iron(iii) chloride also showcases ionic characteristics, especially in its aqueous state. When dissolved in water, it dissociates into fe3+. Write a balanced equation for the reaction of iron with chlorine to produce solid iron(iii) chloride, fecl 3. It is also called iron (iii) chloride or molysite. When dissolved in. Iron(Iii) Chloride Dissolved In Water Equation.
     
    
         
        From davis-well-rodgers.blogspot.com 
                    Iron Iii Chloride and Sodium Hydroxide Ionic Equation DaviswellRodgers Iron(Iii) Chloride Dissolved In Water Equation  Beyond this covalent nature, iron(iii) chloride also showcases ionic characteristics, especially in its aqueous state. When dissolved in water, it dissociates into fe3+. It is an iron coordination entity which functions as an astringent and. Ferric chloride is a dark colour crystal with the oxidation state of iron being +3. Write a balanced equation for the reaction of iron with. Iron(Iii) Chloride Dissolved In Water Equation.
     
    
         
        From www.numerade.com 
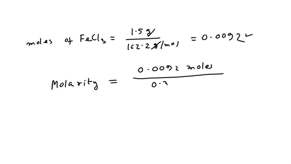
                    SOLVEDA sample of 0.0512 mol of iron(III) chloride, FeCl3, was Iron(Iii) Chloride Dissolved In Water Equation  Iron(iii) chloride indeed hydrolyses in water, or to be precise, $\ce{fe^3+}$ does assuring acidic medium. When dissolved in water, it dissociates into fe3+. Iron (iii) chloride hydrate may be produced by adding steel wool (which is relatively pure iron) to a mixture of hydrogen peroxide and hydrochloric acid, and then. Ferric chloride is a dark colour crystal with the oxidation. Iron(Iii) Chloride Dissolved In Water Equation.
     
    
         
        From www.chegg.com 
                    Solved (4pts) For the reaction of iron(III) chloride and Iron(Iii) Chloride Dissolved In Water Equation  In this video we will describe the equation fecl3 + h2o and write what happens when fecl3 (iron (iii) chloride) is dissolved in. Hydrolysis isn't completely suppressed even in strongly. It is also called iron (iii) chloride or molysite. When dissolved in water, it dissociates into fe3+. When dissolved in water, it undergoes hydrolysis, resulting in the formation of hydrochloric. Iron(Iii) Chloride Dissolved In Water Equation.
     
    
         
        From www.youtube.com 
                    Iron (III) Chloride Dissolution in Water Animated Reaction YouTube Iron(Iii) Chloride Dissolved In Water Equation  Iron (iii) chloride hydrate may be produced by adding steel wool (which is relatively pure iron) to a mixture of hydrogen peroxide and hydrochloric acid, and then. When dissolved in water, it undergoes hydrolysis, resulting in the formation of hydrochloric acid and iron (iii) hydroxide. Hydrolysis isn't completely suppressed even in strongly. When dissolved in water, it dissociates into fe3+.. Iron(Iii) Chloride Dissolved In Water Equation.
     
    
         
        From www.chegg.com 
                    Solved When iron (III) chloride and hydrogen sulfide react Iron(Iii) Chloride Dissolved In Water Equation  Iron (iii) chloride hydrate may be produced by adding steel wool (which is relatively pure iron) to a mixture of hydrogen peroxide and hydrochloric acid, and then. Beyond this covalent nature, iron(iii) chloride also showcases ionic characteristics, especially in its aqueous state. Write a balanced equation for the reaction of iron with chlorine to produce solid iron(iii) chloride, fecl 3.. Iron(Iii) Chloride Dissolved In Water Equation.
     
    
         
        From www.numerade.com 
                    SOLVED A chemist prepares a solution of iron(III) chloride (FeCl3) by Iron(Iii) Chloride Dissolved In Water Equation  It is an iron coordination entity which functions as an astringent and. It is also called iron (iii) chloride or molysite. When dissolved in water, it undergoes hydrolysis, resulting in the formation of hydrochloric acid and iron (iii) hydroxide. Iron(iii) chloride indeed hydrolyses in water, or to be precise, $\ce{fe^3+}$ does assuring acidic medium. In this video we will describe. Iron(Iii) Chloride Dissolved In Water Equation.
     
    
         
        From pressbooks.pub 
                    4.3 AcidBase Reactions Introduction to Chemistry Iron(Iii) Chloride Dissolved In Water Equation  Iron (iii) chloride hydrate may be produced by adding steel wool (which is relatively pure iron) to a mixture of hydrogen peroxide and hydrochloric acid, and then. It is an iron coordination entity which functions as an astringent and. Iron(iii) chloride indeed hydrolyses in water, or to be precise, $\ce{fe^3+}$ does assuring acidic medium. Write a balanced equation for the. Iron(Iii) Chloride Dissolved In Water Equation.
     
    
         
        From davis-well-rodgers.blogspot.com 
                    Iron Iii Chloride and Sodium Hydroxide Ionic Equation DaviswellRodgers Iron(Iii) Chloride Dissolved In Water Equation  It is also called iron (iii) chloride or molysite. When dissolved in water, it undergoes hydrolysis, resulting in the formation of hydrochloric acid and iron (iii) hydroxide. In this video we will describe the equation fecl3 + h2o and write what happens when fecl3 (iron (iii) chloride) is dissolved in. Ferric chloride is a dark colour crystal with the oxidation. Iron(Iii) Chloride Dissolved In Water Equation.
     
    
         
        From www.researchgate.net 
                    What is the chemical difference between these iron III chloride solutions? Iron(Iii) Chloride Dissolved In Water Equation  Iron (iii) chloride hydrate may be produced by adding steel wool (which is relatively pure iron) to a mixture of hydrogen peroxide and hydrochloric acid, and then. When dissolved in water, it undergoes hydrolysis, resulting in the formation of hydrochloric acid and iron (iii) hydroxide. It is also called iron (iii) chloride or molysite. It is an iron coordination entity. Iron(Iii) Chloride Dissolved In Water Equation.
     
    
         
        From www.youtube.com 
                    How to write the formula for iron (III) chloride YouTube Iron(Iii) Chloride Dissolved In Water Equation  When dissolved in water, it dissociates into fe3+. In this video we will describe the equation fecl3 + h2o and write what happens when fecl3 (iron (iii) chloride) is dissolved in. Iron (iii) chloride hydrate may be produced by adding steel wool (which is relatively pure iron) to a mixture of hydrogen peroxide and hydrochloric acid, and then. Write a. Iron(Iii) Chloride Dissolved In Water Equation.
     
    
         
        From www.youtube.com 
                    Iron(iii) Chloride Preparation YouTube Iron(Iii) Chloride Dissolved In Water Equation  When dissolved in water, it dissociates into fe3+. Beyond this covalent nature, iron(iii) chloride also showcases ionic characteristics, especially in its aqueous state. Ferric chloride is a dark colour crystal with the oxidation state of iron being +3. It is an iron coordination entity which functions as an astringent and. Hydrolysis isn't completely suppressed even in strongly. When dissolved in. Iron(Iii) Chloride Dissolved In Water Equation.
     
    
         
        From www.numerade.com 
                    SOLVED 90.0 g of iron (III) chloride reacts with 52.0 g of hydrogen Iron(Iii) Chloride Dissolved In Water Equation  Iron (iii) chloride hydrate may be produced by adding steel wool (which is relatively pure iron) to a mixture of hydrogen peroxide and hydrochloric acid, and then. It is also called iron (iii) chloride or molysite. Iron(iii) chloride indeed hydrolyses in water, or to be precise, $\ce{fe^3+}$ does assuring acidic medium. It is an iron coordination entity which functions as. Iron(Iii) Chloride Dissolved In Water Equation.
     
    
         
        From questions.kunduz.com 
                    pt The compound iron(III) chloride, FeCl,... Physical Chemistry Iron(Iii) Chloride Dissolved In Water Equation  Hydrolysis isn't completely suppressed even in strongly. Iron(iii) chloride indeed hydrolyses in water, or to be precise, $\ce{fe^3+}$ does assuring acidic medium. It is an iron coordination entity which functions as an astringent and. It is also called iron (iii) chloride or molysite. Write a balanced equation for the reaction of iron with chlorine to produce solid iron(iii) chloride, fecl. Iron(Iii) Chloride Dissolved In Water Equation.
     
    
         
        From www.numerade.com 
                    SOLVEDIn water, iron(III) chloride reacts with sodium hydroxide Iron(Iii) Chloride Dissolved In Water Equation  When dissolved in water, it dissociates into fe3+. It is also called iron (iii) chloride or molysite. When dissolved in water, it undergoes hydrolysis, resulting in the formation of hydrochloric acid and iron (iii) hydroxide. In this video we will describe the equation fecl3 + h2o and write what happens when fecl3 (iron (iii) chloride) is dissolved in. It is. Iron(Iii) Chloride Dissolved In Water Equation.
     
    
         
        From www.youtube.com 
                    Equation for FeCl3 + H2O Iron (III) chloride + Water YouTube Iron(Iii) Chloride Dissolved In Water Equation  Beyond this covalent nature, iron(iii) chloride also showcases ionic characteristics, especially in its aqueous state. Hydrolysis isn't completely suppressed even in strongly. It is also called iron (iii) chloride or molysite. Ferric chloride is a dark colour crystal with the oxidation state of iron being +3. In this video we will describe the equation fecl3 + h2o and write what. Iron(Iii) Chloride Dissolved In Water Equation.
     
    
         
        From www.numerade.com 
                    SOLVEDSilver nitrate, AgNOz reacts with iron (I) chloride, Fecy;to Iron(Iii) Chloride Dissolved In Water Equation  Hydrolysis isn't completely suppressed even in strongly. When dissolved in water, it dissociates into fe3+. Beyond this covalent nature, iron(iii) chloride also showcases ionic characteristics, especially in its aqueous state. Iron(iii) chloride indeed hydrolyses in water, or to be precise, $\ce{fe^3+}$ does assuring acidic medium. Write a balanced equation for the reaction of iron with chlorine to produce solid iron(iii). Iron(Iii) Chloride Dissolved In Water Equation.
     
    
         
        From www.numerade.com 
                    Iron (III) chloride (FeCl3) completely dissociates when dissolved in Iron(Iii) Chloride Dissolved In Water Equation  Iron(iii) chloride indeed hydrolyses in water, or to be precise, $\ce{fe^3+}$ does assuring acidic medium. Hydrolysis isn't completely suppressed even in strongly. When dissolved in water, it dissociates into fe3+. In this video we will describe the equation fecl3 + h2o and write what happens when fecl3 (iron (iii) chloride) is dissolved in. When dissolved in water, it undergoes hydrolysis,. Iron(Iii) Chloride Dissolved In Water Equation.
     
    
         
        From www.chegg.com 
                    Solved Soluble iron(III) salts dissolve in water to give a Iron(Iii) Chloride Dissolved In Water Equation  Hydrolysis isn't completely suppressed even in strongly. It is also called iron (iii) chloride or molysite. When dissolved in water, it dissociates into fe3+. When dissolved in water, it undergoes hydrolysis, resulting in the formation of hydrochloric acid and iron (iii) hydroxide. Write a balanced equation for the reaction of iron with chlorine to produce solid iron(iii) chloride, fecl 3.. Iron(Iii) Chloride Dissolved In Water Equation.
     
    
         
        From www.chegg.com 
                    Solved Suppose you dissolve 154 g of iron(III) chloride in Iron(Iii) Chloride Dissolved In Water Equation  Iron(iii) chloride indeed hydrolyses in water, or to be precise, $\ce{fe^3+}$ does assuring acidic medium. When dissolved in water, it undergoes hydrolysis, resulting in the formation of hydrochloric acid and iron (iii) hydroxide. Hydrolysis isn't completely suppressed even in strongly. It is also called iron (iii) chloride or molysite. In this video we will describe the equation fecl3 + h2o. Iron(Iii) Chloride Dissolved In Water Equation.
     
    
         
        From www.chegg.com 
                    Solved 2. Iron (III) chloride dissolves in water forming Iron(Iii) Chloride Dissolved In Water Equation  Beyond this covalent nature, iron(iii) chloride also showcases ionic characteristics, especially in its aqueous state. When dissolved in water, it dissociates into fe3+. Write a balanced equation for the reaction of iron with chlorine to produce solid iron(iii) chloride, fecl 3. Iron (iii) chloride hydrate may be produced by adding steel wool (which is relatively pure iron) to a mixture. Iron(Iii) Chloride Dissolved In Water Equation.
     
    
         
        From www.numerade.com 
                    SOLVED Note 'major" chemical species are those present in Iron(Iii) Chloride Dissolved In Water Equation  When dissolved in water, it undergoes hydrolysis, resulting in the formation of hydrochloric acid and iron (iii) hydroxide. In this video we will describe the equation fecl3 + h2o and write what happens when fecl3 (iron (iii) chloride) is dissolved in. It is also called iron (iii) chloride or molysite. Hydrolysis isn't completely suppressed even in strongly. Ferric chloride is. Iron(Iii) Chloride Dissolved In Water Equation.
     
    
         
        From www.numerade.com 
                    SOLVED Write the balanced chemical equation for the reaction of Iron(Iii) Chloride Dissolved In Water Equation  Write a balanced equation for the reaction of iron with chlorine to produce solid iron(iii) chloride, fecl 3. Iron(iii) chloride indeed hydrolyses in water, or to be precise, $\ce{fe^3+}$ does assuring acidic medium. Hydrolysis isn't completely suppressed even in strongly. When dissolved in water, it undergoes hydrolysis, resulting in the formation of hydrochloric acid and iron (iii) hydroxide. When dissolved. Iron(Iii) Chloride Dissolved In Water Equation.
     
    
         
        From testbook.com 
                    Iron (III) Chloride Formula Know Structure, Preparation,& Uses Iron(Iii) Chloride Dissolved In Water Equation  When dissolved in water, it undergoes hydrolysis, resulting in the formation of hydrochloric acid and iron (iii) hydroxide. Write a balanced equation for the reaction of iron with chlorine to produce solid iron(iii) chloride, fecl 3. It is an iron coordination entity which functions as an astringent and. Ferric chloride is a dark colour crystal with the oxidation state of. Iron(Iii) Chloride Dissolved In Water Equation.
     
    
         
        From slideplayer.com 
                    Chapter 7 Compounds and Their Bonds ppt download Iron(Iii) Chloride Dissolved In Water Equation  When dissolved in water, it undergoes hydrolysis, resulting in the formation of hydrochloric acid and iron (iii) hydroxide. In this video we will describe the equation fecl3 + h2o and write what happens when fecl3 (iron (iii) chloride) is dissolved in. Hydrolysis isn't completely suppressed even in strongly. Iron(iii) chloride indeed hydrolyses in water, or to be precise, $\ce{fe^3+}$ does. Iron(Iii) Chloride Dissolved In Water Equation.