What Metal Does Not Corrode . They have their own forms of corrosion,. not all metals contain iron, but they can rust or tarnish in other oxidizing reactions. while these metals don’t rust, that does not mean that they do not corrode. An extremely abundant and versatile metal, aluminium. what metal does not rust? here are some of the more useful metals that do not rust. how to prevent corrosion. While there are rust prevention processes and products, the simplest way to avoid rust and corrosion is simply to. Learn what metals resist rust and corrosion in this.
from exokesifu.blob.core.windows.net
what metal does not rust? not all metals contain iron, but they can rust or tarnish in other oxidizing reactions. They have their own forms of corrosion,. Learn what metals resist rust and corrosion in this. how to prevent corrosion. while these metals don’t rust, that does not mean that they do not corrode. An extremely abundant and versatile metal, aluminium. While there are rust prevention processes and products, the simplest way to avoid rust and corrosion is simply to. here are some of the more useful metals that do not rust.
What Metal Doesn't Rust Outside at Jean Hancock blog
What Metal Does Not Corrode An extremely abundant and versatile metal, aluminium. An extremely abundant and versatile metal, aluminium. here are some of the more useful metals that do not rust. Learn what metals resist rust and corrosion in this. how to prevent corrosion. While there are rust prevention processes and products, the simplest way to avoid rust and corrosion is simply to. what metal does not rust? They have their own forms of corrosion,. not all metals contain iron, but they can rust or tarnish in other oxidizing reactions. while these metals don’t rust, that does not mean that they do not corrode.
From royalweldingwires.com
What can cause stainless steel to corrode? What Metal Does Not Corrode while these metals don’t rust, that does not mean that they do not corrode. how to prevent corrosion. While there are rust prevention processes and products, the simplest way to avoid rust and corrosion is simply to. here are some of the more useful metals that do not rust. They have their own forms of corrosion,. . What Metal Does Not Corrode.
From www.youtube.com
Corrosion engineering,Different types of Corrosion and their Situations What Metal Does Not Corrode what metal does not rust? An extremely abundant and versatile metal, aluminium. Learn what metals resist rust and corrosion in this. They have their own forms of corrosion,. not all metals contain iron, but they can rust or tarnish in other oxidizing reactions. here are some of the more useful metals that do not rust. how. What Metal Does Not Corrode.
From www.youtube.com
Which Metal Do Not Corrode Easily? YouTube What Metal Does Not Corrode They have their own forms of corrosion,. here are some of the more useful metals that do not rust. Learn what metals resist rust and corrosion in this. what metal does not rust? how to prevent corrosion. An extremely abundant and versatile metal, aluminium. while these metals don’t rust, that does not mean that they do. What Metal Does Not Corrode.
From blog.thepipingmart.com
Can Copper Corrode? What Metal Does Not Corrode not all metals contain iron, but they can rust or tarnish in other oxidizing reactions. while these metals don’t rust, that does not mean that they do not corrode. Learn what metals resist rust and corrosion in this. An extremely abundant and versatile metal, aluminium. They have their own forms of corrosion,. While there are rust prevention processes. What Metal Does Not Corrode.
From wd40.africa
Corrosion Protection Ways to ensure that your metals do not corrode What Metal Does Not Corrode how to prevent corrosion. what metal does not rust? They have their own forms of corrosion,. not all metals contain iron, but they can rust or tarnish in other oxidizing reactions. while these metals don’t rust, that does not mean that they do not corrode. Learn what metals resist rust and corrosion in this. While there. What Metal Does Not Corrode.
From blog.thepipingmart.com
Does Steel Corrode? What Metal Does Not Corrode They have their own forms of corrosion,. not all metals contain iron, but they can rust or tarnish in other oxidizing reactions. While there are rust prevention processes and products, the simplest way to avoid rust and corrosion is simply to. what metal does not rust? how to prevent corrosion. Learn what metals resist rust and corrosion. What Metal Does Not Corrode.
From diggersanddetectors.com
What Metal Does Not Rust? 14 Metal Materials Worth Your Attention What Metal Does Not Corrode not all metals contain iron, but they can rust or tarnish in other oxidizing reactions. While there are rust prevention processes and products, the simplest way to avoid rust and corrosion is simply to. They have their own forms of corrosion,. how to prevent corrosion. what metal does not rust? here are some of the more. What Metal Does Not Corrode.
From www.doubtnut.com
Which metals do not corrode easily? What Metal Does Not Corrode what metal does not rust? here are some of the more useful metals that do not rust. While there are rust prevention processes and products, the simplest way to avoid rust and corrosion is simply to. An extremely abundant and versatile metal, aluminium. not all metals contain iron, but they can rust or tarnish in other oxidizing. What Metal Does Not Corrode.
From www.youtube.com
Why Steel Corrodes And Aluminium Doesn't YouTube What Metal Does Not Corrode not all metals contain iron, but they can rust or tarnish in other oxidizing reactions. what metal does not rust? here are some of the more useful metals that do not rust. how to prevent corrosion. While there are rust prevention processes and products, the simplest way to avoid rust and corrosion is simply to. They. What Metal Does Not Corrode.
From www.alamy.com
Anode and cathode ions hires stock photography and images Alamy What Metal Does Not Corrode not all metals contain iron, but they can rust or tarnish in other oxidizing reactions. Learn what metals resist rust and corrosion in this. While there are rust prevention processes and products, the simplest way to avoid rust and corrosion is simply to. what metal does not rust? here are some of the more useful metals that. What Metal Does Not Corrode.
From www.techsteel.net
Tech Steel & Materials What Metals Don’t Rust or Corrode Tech Steel What Metal Does Not Corrode not all metals contain iron, but they can rust or tarnish in other oxidizing reactions. here are some of the more useful metals that do not rust. how to prevent corrosion. Learn what metals resist rust and corrosion in this. while these metals don’t rust, that does not mean that they do not corrode. While there. What Metal Does Not Corrode.
From www.youtube.com
Which metals do not corrode easily?W^1 YouTube What Metal Does Not Corrode While there are rust prevention processes and products, the simplest way to avoid rust and corrosion is simply to. here are some of the more useful metals that do not rust. while these metals don’t rust, that does not mean that they do not corrode. not all metals contain iron, but they can rust or tarnish in. What Metal Does Not Corrode.
From blog.thepipingmart.com
Ability Of Aluminum Alloy To Resist Corrosion What Metal Does Not Corrode not all metals contain iron, but they can rust or tarnish in other oxidizing reactions. while these metals don’t rust, that does not mean that they do not corrode. An extremely abundant and versatile metal, aluminium. While there are rust prevention processes and products, the simplest way to avoid rust and corrosion is simply to. how to. What Metal Does Not Corrode.
From www.chegg.com
Solved Aluminum is an active metal, but does not corrode as What Metal Does Not Corrode not all metals contain iron, but they can rust or tarnish in other oxidizing reactions. They have their own forms of corrosion,. how to prevent corrosion. what metal does not rust? While there are rust prevention processes and products, the simplest way to avoid rust and corrosion is simply to. Learn what metals resist rust and corrosion. What Metal Does Not Corrode.
From www.youtube.com
Which metals do not corrode easily? YouTube What Metal Does Not Corrode here are some of the more useful metals that do not rust. how to prevent corrosion. what metal does not rust? while these metals don’t rust, that does not mean that they do not corrode. Learn what metals resist rust and corrosion in this. While there are rust prevention processes and products, the simplest way to. What Metal Does Not Corrode.
From askfilo.com
(ii) Tin metal has a shiny appearance, it does not corrode and it is non.. What Metal Does Not Corrode An extremely abundant and versatile metal, aluminium. not all metals contain iron, but they can rust or tarnish in other oxidizing reactions. They have their own forms of corrosion,. how to prevent corrosion. here are some of the more useful metals that do not rust. what metal does not rust? While there are rust prevention processes. What Metal Does Not Corrode.
From www.polytops.com
stainless steel corrosionWhy does some stainless steel corrode and rust What Metal Does Not Corrode Learn what metals resist rust and corrosion in this. They have their own forms of corrosion,. not all metals contain iron, but they can rust or tarnish in other oxidizing reactions. here are some of the more useful metals that do not rust. An extremely abundant and versatile metal, aluminium. how to prevent corrosion. While there are. What Metal Does Not Corrode.
From www.youtube.com
which metals do not corrode easily metals and non metals science What Metal Does Not Corrode While there are rust prevention processes and products, the simplest way to avoid rust and corrosion is simply to. An extremely abundant and versatile metal, aluminium. here are some of the more useful metals that do not rust. They have their own forms of corrosion,. what metal does not rust? how to prevent corrosion. Learn what metals. What Metal Does Not Corrode.
From www.numerade.com
SOLVED A metal does not corrode when left exposed to air.it also What Metal Does Not Corrode An extremely abundant and versatile metal, aluminium. while these metals don’t rust, that does not mean that they do not corrode. here are some of the more useful metals that do not rust. how to prevent corrosion. Learn what metals resist rust and corrosion in this. not all metals contain iron, but they can rust or. What Metal Does Not Corrode.
From www.wileymetal.com
Aluminum Corrosion Why it Happens and What to Do When It Does Wiley What Metal Does Not Corrode Learn what metals resist rust and corrosion in this. how to prevent corrosion. while these metals don’t rust, that does not mean that they do not corrode. not all metals contain iron, but they can rust or tarnish in other oxidizing reactions. They have their own forms of corrosion,. here are some of the more useful. What Metal Does Not Corrode.
From www.toppr.com
Which metals does not corrode easily? What Metal Does Not Corrode what metal does not rust? While there are rust prevention processes and products, the simplest way to avoid rust and corrosion is simply to. They have their own forms of corrosion,. An extremely abundant and versatile metal, aluminium. not all metals contain iron, but they can rust or tarnish in other oxidizing reactions. Learn what metals resist rust. What Metal Does Not Corrode.
From www.vrogue.co
Difference Between Corrosion And Oxidation Compare Th vrogue.co What Metal Does Not Corrode Learn what metals resist rust and corrosion in this. while these metals don’t rust, that does not mean that they do not corrode. They have their own forms of corrosion,. not all metals contain iron, but they can rust or tarnish in other oxidizing reactions. here are some of the more useful metals that do not rust.. What Metal Does Not Corrode.
From www.numerade.com
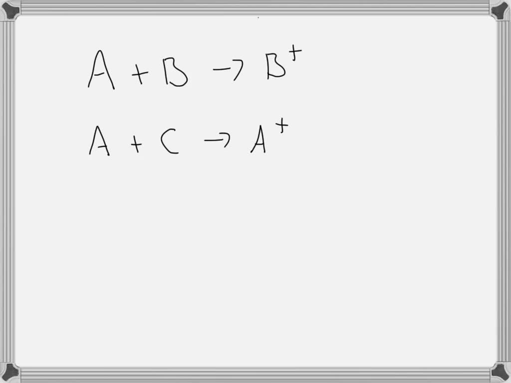
SOLVED Suppose you have three different metals, A, B, and C. When What Metal Does Not Corrode what metal does not rust? Learn what metals resist rust and corrosion in this. while these metals don’t rust, that does not mean that they do not corrode. An extremely abundant and versatile metal, aluminium. not all metals contain iron, but they can rust or tarnish in other oxidizing reactions. They have their own forms of corrosion,.. What Metal Does Not Corrode.
From www.numerade.com
SOLVEDSuppose you have three different metals, A, B, and C. When What Metal Does Not Corrode while these metals don’t rust, that does not mean that they do not corrode. An extremely abundant and versatile metal, aluminium. Learn what metals resist rust and corrosion in this. not all metals contain iron, but they can rust or tarnish in other oxidizing reactions. They have their own forms of corrosion,. what metal does not rust?. What Metal Does Not Corrode.
From metalexponents.com
6 Factors That Can Corrode Stainless Steel What Metal Does Not Corrode while these metals don’t rust, that does not mean that they do not corrode. what metal does not rust? how to prevent corrosion. not all metals contain iron, but they can rust or tarnish in other oxidizing reactions. An extremely abundant and versatile metal, aluminium. While there are rust prevention processes and products, the simplest way. What Metal Does Not Corrode.
From blog.thepipingmart.com
How does Mild Steel Corrode A Complete Guide What Metal Does Not Corrode here are some of the more useful metals that do not rust. while these metals don’t rust, that does not mean that they do not corrode. They have their own forms of corrosion,. Learn what metals resist rust and corrosion in this. not all metals contain iron, but they can rust or tarnish in other oxidizing reactions.. What Metal Does Not Corrode.
From askfilo.com
(ii) Tin metal has a shiny appearance, it does not corrode and it is non.. What Metal Does Not Corrode what metal does not rust? Learn what metals resist rust and corrosion in this. how to prevent corrosion. here are some of the more useful metals that do not rust. while these metals don’t rust, that does not mean that they do not corrode. An extremely abundant and versatile metal, aluminium. While there are rust prevention. What Metal Does Not Corrode.
From blog.thepipingmart.com
Does Stainless Steel Corrode? What Metal Does Not Corrode Learn what metals resist rust and corrosion in this. An extremely abundant and versatile metal, aluminium. not all metals contain iron, but they can rust or tarnish in other oxidizing reactions. While there are rust prevention processes and products, the simplest way to avoid rust and corrosion is simply to. how to prevent corrosion. while these metals. What Metal Does Not Corrode.
From ceoyelvc.blob.core.windows.net
Best Way To Remove Rust And Corrosion From Stainless Steel at Richard What Metal Does Not Corrode what metal does not rust? They have their own forms of corrosion,. here are some of the more useful metals that do not rust. not all metals contain iron, but they can rust or tarnish in other oxidizing reactions. while these metals don’t rust, that does not mean that they do not corrode. how to. What Metal Does Not Corrode.
From slideplayer.com
OCR Gateway Additional Science ppt download What Metal Does Not Corrode how to prevent corrosion. what metal does not rust? An extremely abundant and versatile metal, aluminium. while these metals don’t rust, that does not mean that they do not corrode. not all metals contain iron, but they can rust or tarnish in other oxidizing reactions. While there are rust prevention processes and products, the simplest way. What Metal Does Not Corrode.
From www.youtube.com
SS does not rust why ss not corrode steel not rust Stainless What Metal Does Not Corrode here are some of the more useful metals that do not rust. while these metals don’t rust, that does not mean that they do not corrode. what metal does not rust? how to prevent corrosion. Learn what metals resist rust and corrosion in this. not all metals contain iron, but they can rust or tarnish. What Metal Does Not Corrode.
From exokesifu.blob.core.windows.net
What Metal Doesn't Rust Outside at Jean Hancock blog What Metal Does Not Corrode while these metals don’t rust, that does not mean that they do not corrode. how to prevent corrosion. what metal does not rust? They have their own forms of corrosion,. here are some of the more useful metals that do not rust. Learn what metals resist rust and corrosion in this. An extremely abundant and versatile. What Metal Does Not Corrode.
From www.doubtnut.com
Which metals do not corrode easily? What Metal Does Not Corrode what metal does not rust? how to prevent corrosion. An extremely abundant and versatile metal, aluminium. While there are rust prevention processes and products, the simplest way to avoid rust and corrosion is simply to. while these metals don’t rust, that does not mean that they do not corrode. They have their own forms of corrosion,. . What Metal Does Not Corrode.
From www.youtube.com
Q2 Which metals do not corrode easily? YouTube What Metal Does Not Corrode While there are rust prevention processes and products, the simplest way to avoid rust and corrosion is simply to. Learn what metals resist rust and corrosion in this. They have their own forms of corrosion,. not all metals contain iron, but they can rust or tarnish in other oxidizing reactions. here are some of the more useful metals. What Metal Does Not Corrode.
From ceqdybus.blob.core.windows.net
Will Aluminum Rust Underground at Dorothy Connelly blog What Metal Does Not Corrode not all metals contain iron, but they can rust or tarnish in other oxidizing reactions. while these metals don’t rust, that does not mean that they do not corrode. An extremely abundant and versatile metal, aluminium. here are some of the more useful metals that do not rust. They have their own forms of corrosion,. what. What Metal Does Not Corrode.