How Much Should You Pay For An Annuity . A life annuity can offer guaranteed retirement income payments for as long as you live. If you rely solely on a portfolio of stocks and bonds for retirement income, you have to set a conservative withdrawal rate in case markets perform unusually. This annuity calculator will estimate how much income you can get and compare it to income from a gic or rrif. Try our annuity calculator to compare your potential retirement income from an rbc payout annuity vs. How much do you need? How much retirement income can you get from an annuity? Annuities are life insurance products that pay a regular income to a purchaser. It’s impossible to tell you exactly how much a $100,000 annuity pays per month because there are dozens of factors and options that go. When you buy an annuity, it’s like buying a pension plan with a lump sum premium paid from your. An annuity calculator is a tool that helps you estimate how much income you may receive from an annuity based on various inputs, such as the initial investment amount, the expected. A life annuity can offer guaranteed retirement income payments for as long as you.
from www.retireguide.com
If you rely solely on a portfolio of stocks and bonds for retirement income, you have to set a conservative withdrawal rate in case markets perform unusually. This annuity calculator will estimate how much income you can get and compare it to income from a gic or rrif. A life annuity can offer guaranteed retirement income payments for as long as you. How much do you need? When you buy an annuity, it’s like buying a pension plan with a lump sum premium paid from your. An annuity calculator is a tool that helps you estimate how much income you may receive from an annuity based on various inputs, such as the initial investment amount, the expected. Annuities are life insurance products that pay a regular income to a purchaser. A life annuity can offer guaranteed retirement income payments for as long as you live. How much retirement income can you get from an annuity? It’s impossible to tell you exactly how much a $100,000 annuity pays per month because there are dozens of factors and options that go.
Qualified vs. NonQualified Annuities Taxes & Distribution
How Much Should You Pay For An Annuity A life annuity can offer guaranteed retirement income payments for as long as you. How much do you need? If you rely solely on a portfolio of stocks and bonds for retirement income, you have to set a conservative withdrawal rate in case markets perform unusually. An annuity calculator is a tool that helps you estimate how much income you may receive from an annuity based on various inputs, such as the initial investment amount, the expected. It’s impossible to tell you exactly how much a $100,000 annuity pays per month because there are dozens of factors and options that go. A life annuity can offer guaranteed retirement income payments for as long as you live. How much retirement income can you get from an annuity? When you buy an annuity, it’s like buying a pension plan with a lump sum premium paid from your. This annuity calculator will estimate how much income you can get and compare it to income from a gic or rrif. Annuities are life insurance products that pay a regular income to a purchaser. A life annuity can offer guaranteed retirement income payments for as long as you. Try our annuity calculator to compare your potential retirement income from an rbc payout annuity vs.
From bestmutualfundadvisor.com
How Do Annuities Pay Out Best Mutual Fund Advisor How Much Should You Pay For An Annuity If you rely solely on a portfolio of stocks and bonds for retirement income, you have to set a conservative withdrawal rate in case markets perform unusually. It’s impossible to tell you exactly how much a $100,000 annuity pays per month because there are dozens of factors and options that go. An annuity calculator is a tool that helps you. How Much Should You Pay For An Annuity.
From www.txamfoundation.com
Charitable Gift Annuity Rate Increases Texas A&M Foundation How Much Should You Pay For An Annuity How much do you need? This annuity calculator will estimate how much income you can get and compare it to income from a gic or rrif. An annuity calculator is a tool that helps you estimate how much income you may receive from an annuity based on various inputs, such as the initial investment amount, the expected. If you rely. How Much Should You Pay For An Annuity.
From www.financestrategists.com
Life Insurance vs Annuity Key Differences, Pros, & Cons How Much Should You Pay For An Annuity How much retirement income can you get from an annuity? When you buy an annuity, it’s like buying a pension plan with a lump sum premium paid from your. It’s impossible to tell you exactly how much a $100,000 annuity pays per month because there are dozens of factors and options that go. If you rely solely on a portfolio. How Much Should You Pay For An Annuity.
From www.boomermoneyandmore.com
Boomer Money... and More How Much Should You Pay For An Annuity How much retirement income can you get from an annuity? Try our annuity calculator to compare your potential retirement income from an rbc payout annuity vs. If you rely solely on a portfolio of stocks and bonds for retirement income, you have to set a conservative withdrawal rate in case markets perform unusually. An annuity calculator is a tool that. How Much Should You Pay For An Annuity.
From www.ameriprise.com
Annuity taxation guide Understanding taxes, penalties & benefits How Much Should You Pay For An Annuity An annuity calculator is a tool that helps you estimate how much income you may receive from an annuity based on various inputs, such as the initial investment amount, the expected. If you rely solely on a portfolio of stocks and bonds for retirement income, you have to set a conservative withdrawal rate in case markets perform unusually. It’s impossible. How Much Should You Pay For An Annuity.
From personal-accounting.org
Present Value of Annuity Due personalaccounting How Much Should You Pay For An Annuity How much retirement income can you get from an annuity? This annuity calculator will estimate how much income you can get and compare it to income from a gic or rrif. How much do you need? Annuities are life insurance products that pay a regular income to a purchaser. It’s impossible to tell you exactly how much a $100,000 annuity. How Much Should You Pay For An Annuity.
From www.dunncreekadvisors.com
Are Annuities a Good Idea? Dunncreek Advisors How Much Should You Pay For An Annuity This annuity calculator will estimate how much income you can get and compare it to income from a gic or rrif. A life annuity can offer guaranteed retirement income payments for as long as you live. It’s impossible to tell you exactly how much a $100,000 annuity pays per month because there are dozens of factors and options that go.. How Much Should You Pay For An Annuity.
From www.youtube.com
Finding the Payment of an Ordinary Annuity in Excel YouTube How Much Should You Pay For An Annuity How much do you need? When you buy an annuity, it’s like buying a pension plan with a lump sum premium paid from your. A life annuity can offer guaranteed retirement income payments for as long as you. Annuities are life insurance products that pay a regular income to a purchaser. An annuity calculator is a tool that helps you. How Much Should You Pay For An Annuity.
From www.lexingtonlaw.com
How do annuities work? Lexington Law How Much Should You Pay For An Annuity Annuities are life insurance products that pay a regular income to a purchaser. A life annuity can offer guaranteed retirement income payments for as long as you. How much retirement income can you get from an annuity? This annuity calculator will estimate how much income you can get and compare it to income from a gic or rrif. How much. How Much Should You Pay For An Annuity.
From www.investopedia.com
Guide to Annuities What They Are, Types, and How They Work How Much Should You Pay For An Annuity A life annuity can offer guaranteed retirement income payments for as long as you. A life annuity can offer guaranteed retirement income payments for as long as you live. This annuity calculator will estimate how much income you can get and compare it to income from a gic or rrif. Try our annuity calculator to compare your potential retirement income. How Much Should You Pay For An Annuity.
From keirenecully.blogspot.com
Present value of annuity due calculator KeireneCully How Much Should You Pay For An Annuity Try our annuity calculator to compare your potential retirement income from an rbc payout annuity vs. Annuities are life insurance products that pay a regular income to a purchaser. When you buy an annuity, it’s like buying a pension plan with a lump sum premium paid from your. How much do you need? This annuity calculator will estimate how much. How Much Should You Pay For An Annuity.
From www.annuity.org
Annuity Payouts Understand Your Range of Options How Much Should You Pay For An Annuity A life annuity can offer guaranteed retirement income payments for as long as you live. How much do you need? Try our annuity calculator to compare your potential retirement income from an rbc payout annuity vs. How much retirement income can you get from an annuity? If you rely solely on a portfolio of stocks and bonds for retirement income,. How Much Should You Pay For An Annuity.
From www.retireguide.com
Qualified vs. NonQualified Annuities Taxes & Distribution How Much Should You Pay For An Annuity This annuity calculator will estimate how much income you can get and compare it to income from a gic or rrif. Annuities are life insurance products that pay a regular income to a purchaser. A life annuity can offer guaranteed retirement income payments for as long as you. How much retirement income can you get from an annuity? When you. How Much Should You Pay For An Annuity.
From www.thestreet.com
The Best Variable Annuities TheStreet How Much Should You Pay For An Annuity When you buy an annuity, it’s like buying a pension plan with a lump sum premium paid from your. A life annuity can offer guaranteed retirement income payments for as long as you live. How much do you need? How much retirement income can you get from an annuity? If you rely solely on a portfolio of stocks and bonds. How Much Should You Pay For An Annuity.
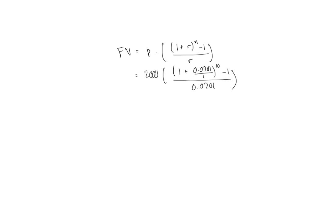
From www.chegg.com
Solved Q34 Annuities 1. How much should you pay for an How Much Should You Pay For An Annuity How much retirement income can you get from an annuity? It’s impossible to tell you exactly how much a $100,000 annuity pays per month because there are dozens of factors and options that go. How much do you need? If you rely solely on a portfolio of stocks and bonds for retirement income, you have to set a conservative withdrawal. How Much Should You Pay For An Annuity.
From simplifiedsenior.com
Understanding Annuities A Complete Guide Simplified Senior How Much Should You Pay For An Annuity How much do you need? When you buy an annuity, it’s like buying a pension plan with a lump sum premium paid from your. It’s impossible to tell you exactly how much a $100,000 annuity pays per month because there are dozens of factors and options that go. A life annuity can offer guaranteed retirement income payments for as long. How Much Should You Pay For An Annuity.
From sylvanfa.com
It’s Annuity Awareness Month. How much do you know about annuities How Much Should You Pay For An Annuity A life annuity can offer guaranteed retirement income payments for as long as you. How much retirement income can you get from an annuity? When you buy an annuity, it’s like buying a pension plan with a lump sum premium paid from your. Annuities are life insurance products that pay a regular income to a purchaser. An annuity calculator is. How Much Should You Pay For An Annuity.
From moneycheck.com
What is an Annuity? How Do They Work? Here's Our Complete Guide How Much Should You Pay For An Annuity It’s impossible to tell you exactly how much a $100,000 annuity pays per month because there are dozens of factors and options that go. How much retirement income can you get from an annuity? A life annuity can offer guaranteed retirement income payments for as long as you live. How much do you need? If you rely solely on a. How Much Should You Pay For An Annuity.
From www.pinterest.com
Key Benefits & Downside Of Annuity Annuity, Guaranteed How Much Should You Pay For An Annuity Annuities are life insurance products that pay a regular income to a purchaser. It’s impossible to tell you exactly how much a $100,000 annuity pays per month because there are dozens of factors and options that go. Try our annuity calculator to compare your potential retirement income from an rbc payout annuity vs. A life annuity can offer guaranteed retirement. How Much Should You Pay For An Annuity.
From www.wikihow.com
How to Calculate Annuity Payments 8 Steps (with Pictures) How Much Should You Pay For An Annuity Annuities are life insurance products that pay a regular income to a purchaser. When you buy an annuity, it’s like buying a pension plan with a lump sum premium paid from your. A life annuity can offer guaranteed retirement income payments for as long as you. An annuity calculator is a tool that helps you estimate how much income you. How Much Should You Pay For An Annuity.
From www.annuity.org
Annuity Beneficiaries How Annuities Are Inherited How Much Should You Pay For An Annuity How much do you need? A life annuity can offer guaranteed retirement income payments for as long as you. This annuity calculator will estimate how much income you can get and compare it to income from a gic or rrif. It’s impossible to tell you exactly how much a $100,000 annuity pays per month because there are dozens of factors. How Much Should You Pay For An Annuity.
From learn.financestrategists.com
What Is an Annuity Fund? How It Works and Benefits How Much Should You Pay For An Annuity This annuity calculator will estimate how much income you can get and compare it to income from a gic or rrif. When you buy an annuity, it’s like buying a pension plan with a lump sum premium paid from your. If you rely solely on a portfolio of stocks and bonds for retirement income, you have to set a conservative. How Much Should You Pay For An Annuity.
From www.annuity.org
How Annuities Work Examples by Type & Considerations How Much Should You Pay For An Annuity A life annuity can offer guaranteed retirement income payments for as long as you live. Try our annuity calculator to compare your potential retirement income from an rbc payout annuity vs. If you rely solely on a portfolio of stocks and bonds for retirement income, you have to set a conservative withdrawal rate in case markets perform unusually. An annuity. How Much Should You Pay For An Annuity.
From due.com
How Much Do Annuities Pay? Due How Much Should You Pay For An Annuity This annuity calculator will estimate how much income you can get and compare it to income from a gic or rrif. A life annuity can offer guaranteed retirement income payments for as long as you live. Try our annuity calculator to compare your potential retirement income from an rbc payout annuity vs. If you rely solely on a portfolio of. How Much Should You Pay For An Annuity.
From due.com
How does an annuity work? Due How Much Should You Pay For An Annuity If you rely solely on a portfolio of stocks and bonds for retirement income, you have to set a conservative withdrawal rate in case markets perform unusually. This annuity calculator will estimate how much income you can get and compare it to income from a gic or rrif. An annuity calculator is a tool that helps you estimate how much. How Much Should You Pay For An Annuity.
From www.business2community.com
The Real Cost of Annuities A Look Into What You Pay for What You Get How Much Should You Pay For An Annuity If you rely solely on a portfolio of stocks and bonds for retirement income, you have to set a conservative withdrawal rate in case markets perform unusually. Try our annuity calculator to compare your potential retirement income from an rbc payout annuity vs. This annuity calculator will estimate how much income you can get and compare it to income from. How Much Should You Pay For An Annuity.
From www.investopedia.com
Calculating Present and Future Value of Annuities How Much Should You Pay For An Annuity If you rely solely on a portfolio of stocks and bonds for retirement income, you have to set a conservative withdrawal rate in case markets perform unusually. How much do you need? How much retirement income can you get from an annuity? When you buy an annuity, it’s like buying a pension plan with a lump sum premium paid from. How Much Should You Pay For An Annuity.
From myexceltemplates.com
Annuity Investment Calculator Investment Annuity Calculator How Much Should You Pay For An Annuity Annuities are life insurance products that pay a regular income to a purchaser. If you rely solely on a portfolio of stocks and bonds for retirement income, you have to set a conservative withdrawal rate in case markets perform unusually. An annuity calculator is a tool that helps you estimate how much income you may receive from an annuity based. How Much Should You Pay For An Annuity.
From www.numerade.com
SOLVED American General offers a 10year ordinary annuity with a How Much Should You Pay For An Annuity An annuity calculator is a tool that helps you estimate how much income you may receive from an annuity based on various inputs, such as the initial investment amount, the expected. How much retirement income can you get from an annuity? If you rely solely on a portfolio of stocks and bonds for retirement income, you have to set a. How Much Should You Pay For An Annuity.
From wealthfit.com
How Do Annuities Work? WealthFit How Much Should You Pay For An Annuity A life annuity can offer guaranteed retirement income payments for as long as you live. When you buy an annuity, it’s like buying a pension plan with a lump sum premium paid from your. How much retirement income can you get from an annuity? An annuity calculator is a tool that helps you estimate how much income you may receive. How Much Should You Pay For An Annuity.
From www.lexingtonlaw.com
How do annuities work? Lexington Law How Much Should You Pay For An Annuity Annuities are life insurance products that pay a regular income to a purchaser. Try our annuity calculator to compare your potential retirement income from an rbc payout annuity vs. An annuity calculator is a tool that helps you estimate how much income you may receive from an annuity based on various inputs, such as the initial investment amount, the expected.. How Much Should You Pay For An Annuity.
From www.simple-accounting.org
How to Calculate the Present Value of an Annuity Due Simple How Much Should You Pay For An Annuity How much do you need? A life annuity can offer guaranteed retirement income payments for as long as you live. A life annuity can offer guaranteed retirement income payments for as long as you. How much retirement income can you get from an annuity? It’s impossible to tell you exactly how much a $100,000 annuity pays per month because there. How Much Should You Pay For An Annuity.
From canvasannuity.com
Average Annuity Payout Rates & Average Annuity Returns How Much Should You Pay For An Annuity It’s impossible to tell you exactly how much a $100,000 annuity pays per month because there are dozens of factors and options that go. This annuity calculator will estimate how much income you can get and compare it to income from a gic or rrif. A life annuity can offer guaranteed retirement income payments for as long as you. Annuities. How Much Should You Pay For An Annuity.
From www.carboncollective.co
Inherited Annuity Definition, Types, Pros, Cons, Rules, Options, & Taxes How Much Should You Pay For An Annuity Annuities are life insurance products that pay a regular income to a purchaser. A life annuity can offer guaranteed retirement income payments for as long as you. When you buy an annuity, it’s like buying a pension plan with a lump sum premium paid from your. A life annuity can offer guaranteed retirement income payments for as long as you. How Much Should You Pay For An Annuity.
From www.thepeoplewhoshare.com
Retirement Planning How Much Should You Invest in Annuities? How Much Should You Pay For An Annuity Try our annuity calculator to compare your potential retirement income from an rbc payout annuity vs. When you buy an annuity, it’s like buying a pension plan with a lump sum premium paid from your. How much retirement income can you get from an annuity? Annuities are life insurance products that pay a regular income to a purchaser. An annuity. How Much Should You Pay For An Annuity.