Magnetic Moment Definition In Bengali . following topics are covered 1. What is magnetic moment in bengali? meaning of magnetic moment in bengali language with definitions, examples, antonym, synonym. the magnetic moment is the magnetic strength and orientation of a magnet or other object that produces a magnetic field. magnetic moment meaning in bengali. magnetic moment is determined. Concept and definition of magnetic dipole moment ( current loop behaves like a magnetic dipole) 2. Magnetic moment definition, pronuniation, antonyms, synonyms and example. Pole strength of a magnet.
from www.doubtnut.com
What is magnetic moment in bengali? Concept and definition of magnetic dipole moment ( current loop behaves like a magnetic dipole) 2. the magnetic moment is the magnetic strength and orientation of a magnet or other object that produces a magnetic field. magnetic moment meaning in bengali. Pole strength of a magnet. following topics are covered 1. Magnetic moment definition, pronuniation, antonyms, synonyms and example. magnetic moment is determined. meaning of magnetic moment in bengali language with definitions, examples, antonym, synonym.
[Bengali] The moment is associated with its spin angular mome
Magnetic Moment Definition In Bengali meaning of magnetic moment in bengali language with definitions, examples, antonym, synonym. meaning of magnetic moment in bengali language with definitions, examples, antonym, synonym. What is magnetic moment in bengali? magnetic moment is determined. following topics are covered 1. Magnetic moment definition, pronuniation, antonyms, synonyms and example. Pole strength of a magnet. Concept and definition of magnetic dipole moment ( current loop behaves like a magnetic dipole) 2. magnetic moment meaning in bengali. the magnetic moment is the magnetic strength and orientation of a magnet or other object that produces a magnetic field.
From www.youtube.com
Field Intensity or Force (with SSC JE PYQ) in Magnetic Moment Definition In Bengali meaning of magnetic moment in bengali language with definitions, examples, antonym, synonym. Pole strength of a magnet. magnetic moment meaning in bengali. the magnetic moment is the magnetic strength and orientation of a magnet or other object that produces a magnetic field. Magnetic moment definition, pronuniation, antonyms, synonyms and example. following topics are covered 1. What. Magnetic Moment Definition In Bengali.
From www.doubtnut.com
[Bengali] The moment is associated with its spin angular mome Magnetic Moment Definition In Bengali Magnetic moment definition, pronuniation, antonyms, synonyms and example. magnetic moment is determined. meaning of magnetic moment in bengali language with definitions, examples, antonym, synonym. following topics are covered 1. Concept and definition of magnetic dipole moment ( current loop behaves like a magnetic dipole) 2. the magnetic moment is the magnetic strength and orientation of a. Magnetic Moment Definition In Bengali.
From www.doubtnut.com
[Bengali] Calculate the moment of Cu^(3+) ion Magnetic Moment Definition In Bengali magnetic moment is determined. the magnetic moment is the magnetic strength and orientation of a magnet or other object that produces a magnetic field. following topics are covered 1. Pole strength of a magnet. magnetic moment meaning in bengali. What is magnetic moment in bengali? Magnetic moment definition, pronuniation, antonyms, synonyms and example. meaning of. Magnetic Moment Definition In Bengali.
From www.doubtnut.com
[Bengali] The moment (mu) of transition elements with 'n' num Magnetic Moment Definition In Bengali Concept and definition of magnetic dipole moment ( current loop behaves like a magnetic dipole) 2. meaning of magnetic moment in bengali language with definitions, examples, antonym, synonym. Magnetic moment definition, pronuniation, antonyms, synonyms and example. the magnetic moment is the magnetic strength and orientation of a magnet or other object that produces a magnetic field. following. Magnetic Moment Definition In Bengali.
From www.doubtnut.com
[Bengali] A bar of moment 3.0Am^2 is placed in a unifo Magnetic Moment Definition In Bengali magnetic moment meaning in bengali. following topics are covered 1. What is magnetic moment in bengali? Magnetic moment definition, pronuniation, antonyms, synonyms and example. Concept and definition of magnetic dipole moment ( current loop behaves like a magnetic dipole) 2. the magnetic moment is the magnetic strength and orientation of a magnet or other object that produces. Magnetic Moment Definition In Bengali.
From www.doubtnut.com
[Bengali] moment (spin only) of [NiCl(4)]^(2) Magnetic Moment Definition In Bengali the magnetic moment is the magnetic strength and orientation of a magnet or other object that produces a magnetic field. following topics are covered 1. magnetic moment meaning in bengali. Pole strength of a magnet. Concept and definition of magnetic dipole moment ( current loop behaves like a magnetic dipole) 2. What is magnetic moment in bengali?. Magnetic Moment Definition In Bengali.
From www.youtube.com
Class12 PHYSICS Effect of Current and Magnetic Moment Definition In Bengali Magnetic moment definition, pronuniation, antonyms, synonyms and example. Pole strength of a magnet. magnetic moment meaning in bengali. magnetic moment is determined. What is magnetic moment in bengali? following topics are covered 1. the magnetic moment is the magnetic strength and orientation of a magnet or other object that produces a magnetic field. meaning of. Magnetic Moment Definition In Bengali.
From www.doubtnut.com
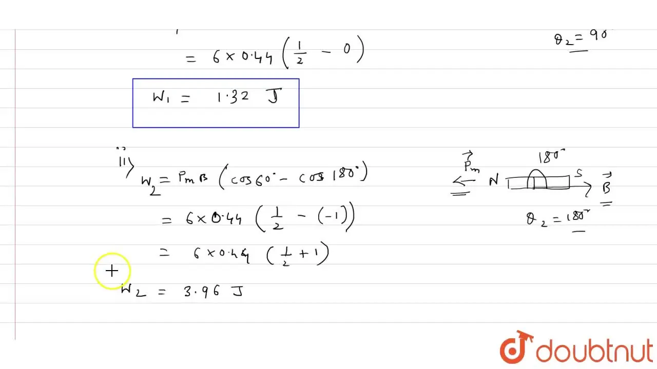
[Bengali] A bar of moment 6J.T^(1) is aligned at 60 Magnetic Moment Definition In Bengali Concept and definition of magnetic dipole moment ( current loop behaves like a magnetic dipole) 2. magnetic moment meaning in bengali. magnetic moment is determined. Magnetic moment definition, pronuniation, antonyms, synonyms and example. What is magnetic moment in bengali? the magnetic moment is the magnetic strength and orientation of a magnet or other object that produces a. Magnetic Moment Definition In Bengali.
From www.doubtnut.com
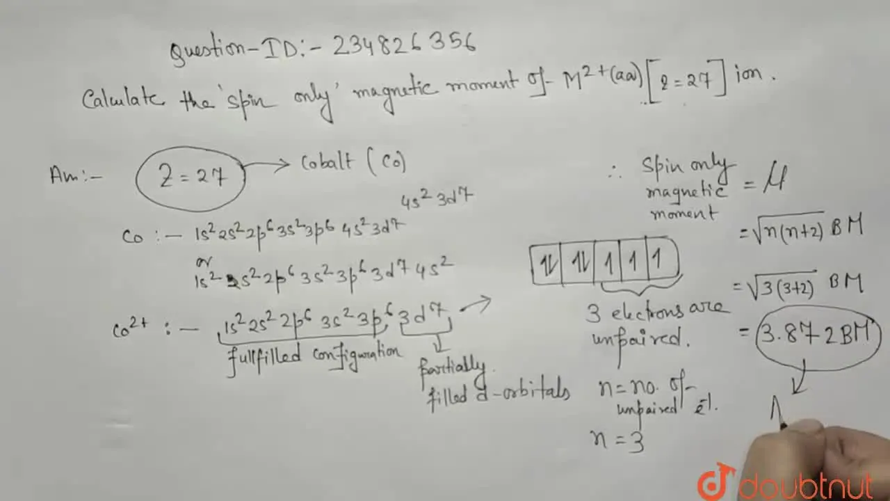
[Bengali] Calculate the value of 'spin only' moment of M^(2+) Magnetic Moment Definition In Bengali Pole strength of a magnet. meaning of magnetic moment in bengali language with definitions, examples, antonym, synonym. Concept and definition of magnetic dipole moment ( current loop behaves like a magnetic dipole) 2. the magnetic moment is the magnetic strength and orientation of a magnet or other object that produces a magnetic field. following topics are covered. Magnetic Moment Definition In Bengali.
From www.youtube.com
class 12 in bengali part 3 field of a Magnetic Moment Definition In Bengali magnetic moment is determined. Pole strength of a magnet. the magnetic moment is the magnetic strength and orientation of a magnet or other object that produces a magnetic field. meaning of magnetic moment in bengali language with definitions, examples, antonym, synonym. Magnetic moment definition, pronuniation, antonyms, synonyms and example. Concept and definition of magnetic dipole moment (. Magnetic Moment Definition In Bengali.
From www.doubtnut.com
[Bengali] A of moment 50hatiAm^2 is placed along the Magnetic Moment Definition In Bengali Pole strength of a magnet. the magnetic moment is the magnetic strength and orientation of a magnet or other object that produces a magnetic field. What is magnetic moment in bengali? Magnetic moment definition, pronuniation, antonyms, synonyms and example. magnetic moment meaning in bengali. following topics are covered 1. magnetic moment is determined. meaning of. Magnetic Moment Definition In Bengali.
From www.doubtnut.com
[Bengali] How does the moment of a circular coil vary with it Magnetic Moment Definition In Bengali following topics are covered 1. Pole strength of a magnet. Concept and definition of magnetic dipole moment ( current loop behaves like a magnetic dipole) 2. magnetic moment meaning in bengali. meaning of magnetic moment in bengali language with definitions, examples, antonym, synonym. magnetic moment is determined. the magnetic moment is the magnetic strength and. Magnetic Moment Definition In Bengali.
From www.youtube.com
field & field line in Bengali/English class 10 2nd Magnetic Moment Definition In Bengali magnetic moment is determined. Pole strength of a magnet. the magnetic moment is the magnetic strength and orientation of a magnet or other object that produces a magnetic field. magnetic moment meaning in bengali. meaning of magnetic moment in bengali language with definitions, examples, antonym, synonym. Magnetic moment definition, pronuniation, antonyms, synonyms and example. What is. Magnetic Moment Definition In Bengali.
From www.doubtnut.com
[Bengali] Two bar of moments M and sqrt(3)M are tie Magnetic Moment Definition In Bengali following topics are covered 1. Concept and definition of magnetic dipole moment ( current loop behaves like a magnetic dipole) 2. magnetic moment meaning in bengali. Magnetic moment definition, pronuniation, antonyms, synonyms and example. What is magnetic moment in bengali? the magnetic moment is the magnetic strength and orientation of a magnet or other object that produces. Magnetic Moment Definition In Bengali.
From www.doubtnut.com
[Bengali] Define magnitude and direction vecB in a field. Magnetic Moment Definition In Bengali What is magnetic moment in bengali? following topics are covered 1. Concept and definition of magnetic dipole moment ( current loop behaves like a magnetic dipole) 2. magnetic moment is determined. Magnetic moment definition, pronuniation, antonyms, synonyms and example. the magnetic moment is the magnetic strength and orientation of a magnet or other object that produces a. Magnetic Moment Definition In Bengali.
From www.youtube.com
properties of materials class 12 in bengali Part 4 Magnetic Moment Definition In Bengali Pole strength of a magnet. meaning of magnetic moment in bengali language with definitions, examples, antonym, synonym. Concept and definition of magnetic dipole moment ( current loop behaves like a magnetic dipole) 2. magnetic moment meaning in bengali. magnetic moment is determined. Magnetic moment definition, pronuniation, antonyms, synonyms and example. the magnetic moment is the magnetic. Magnetic Moment Definition In Bengali.
From www.doubtnut.com
[Bengali] Two identical dipoles each of moment 1.0Am^2 are p Magnetic Moment Definition In Bengali magnetic moment is determined. Pole strength of a magnet. Concept and definition of magnetic dipole moment ( current loop behaves like a magnetic dipole) 2. What is magnetic moment in bengali? the magnetic moment is the magnetic strength and orientation of a magnet or other object that produces a magnetic field. magnetic moment meaning in bengali. . Magnetic Moment Definition In Bengali.
From www.doubtnut.com
[Bengali] If a bar of moment M is kept in a uniform ma Magnetic Moment Definition In Bengali Concept and definition of magnetic dipole moment ( current loop behaves like a magnetic dipole) 2. magnetic moment meaning in bengali. Pole strength of a magnet. following topics are covered 1. magnetic moment is determined. What is magnetic moment in bengali? the magnetic moment is the magnetic strength and orientation of a magnet or other object. Magnetic Moment Definition In Bengali.
From www.youtube.com
চৌম্বক বলরেখা Lines of Force in Bengali 4 Magnetic Moment Definition In Bengali following topics are covered 1. Pole strength of a magnet. What is magnetic moment in bengali? the magnetic moment is the magnetic strength and orientation of a magnet or other object that produces a magnetic field. magnetic moment meaning in bengali. meaning of magnetic moment in bengali language with definitions, examples, antonym, synonym. Concept and definition. Magnetic Moment Definition In Bengali.
From www.doubtnut.com
[Bengali] The moment of a a small bar is 0.9a.m^(2) Magnetic Moment Definition In Bengali What is magnetic moment in bengali? the magnetic moment is the magnetic strength and orientation of a magnet or other object that produces a magnetic field. Concept and definition of magnetic dipole moment ( current loop behaves like a magnetic dipole) 2. magnetic moment is determined. meaning of magnetic moment in bengali language with definitions, examples, antonym,. Magnetic Moment Definition In Bengali.
From www.youtube.com
Pole Strength of a in Bengali Part3 Properties of Magnetic Moment Definition In Bengali the magnetic moment is the magnetic strength and orientation of a magnet or other object that produces a magnetic field. magnetic moment meaning in bengali. Pole strength of a magnet. What is magnetic moment in bengali? following topics are covered 1. magnetic moment is determined. meaning of magnetic moment in bengali language with definitions, examples,. Magnetic Moment Definition In Bengali.
From www.doubtnut.com
[Bengali] Calculate the 'spin only' moment of M^(2+)(aq) ion Magnetic Moment Definition In Bengali Pole strength of a magnet. the magnetic moment is the magnetic strength and orientation of a magnet or other object that produces a magnetic field. Concept and definition of magnetic dipole moment ( current loop behaves like a magnetic dipole) 2. magnetic moment meaning in bengali. following topics are covered 1. meaning of magnetic moment in. Magnetic Moment Definition In Bengali.
From www.youtube.com
Short tricks for NEET and JEE 2020 (In Magnetic Moment Definition In Bengali following topics are covered 1. magnetic moment meaning in bengali. the magnetic moment is the magnetic strength and orientation of a magnet or other object that produces a magnetic field. Pole strength of a magnet. meaning of magnetic moment in bengali language with definitions, examples, antonym, synonym. What is magnetic moment in bengali? magnetic moment. Magnetic Moment Definition In Bengali.
From www.youtube.com
পদার্থের চৌম্বক ধর্ম properties of material in Bengali Magnetic Moment Definition In Bengali meaning of magnetic moment in bengali language with definitions, examples, antonym, synonym. the magnetic moment is the magnetic strength and orientation of a magnet or other object that produces a magnetic field. Pole strength of a magnet. magnetic moment is determined. Concept and definition of magnetic dipole moment ( current loop behaves like a magnetic dipole) 2.. Magnetic Moment Definition In Bengali.
From www.doubtnut.com
[Bengali] Define poles and axis. Magnetic Moment Definition In Bengali magnetic moment is determined. Concept and definition of magnetic dipole moment ( current loop behaves like a magnetic dipole) 2. magnetic moment meaning in bengali. the magnetic moment is the magnetic strength and orientation of a magnet or other object that produces a magnetic field. following topics are covered 1. meaning of magnetic moment in. Magnetic Moment Definition In Bengali.
From www.youtube.com
class 12 in bengali part 1 Effect of Magnetic Moment Definition In Bengali meaning of magnetic moment in bengali language with definitions, examples, antonym, synonym. What is magnetic moment in bengali? Pole strength of a magnet. Concept and definition of magnetic dipole moment ( current loop behaves like a magnetic dipole) 2. Magnetic moment definition, pronuniation, antonyms, synonyms and example. following topics are covered 1. the magnetic moment is the. Magnetic Moment Definition In Bengali.
From www.youtube.com
Introduction To What Is Dipole In Bengali Magnetic Moment Definition In Bengali the magnetic moment is the magnetic strength and orientation of a magnet or other object that produces a magnetic field. meaning of magnetic moment in bengali language with definitions, examples, antonym, synonym. following topics are covered 1. Pole strength of a magnet. Concept and definition of magnetic dipole moment ( current loop behaves like a magnetic dipole). Magnetic Moment Definition In Bengali.
From www.youtube.com
NEET Previous Years Paper PHYSICS Question Solution। Moving Charges And Magnetic Moment Definition In Bengali meaning of magnetic moment in bengali language with definitions, examples, antonym, synonym. following topics are covered 1. magnetic moment meaning in bengali. Magnetic moment definition, pronuniation, antonyms, synonyms and example. Pole strength of a magnet. Concept and definition of magnetic dipole moment ( current loop behaves like a magnetic dipole) 2. What is magnetic moment in bengali?. Magnetic Moment Definition In Bengali.
From www.doubtnut.com
[Bengali] Is moment intensive or extensive variable? Magnetic Moment Definition In Bengali magnetic moment meaning in bengali. Pole strength of a magnet. What is magnetic moment in bengali? the magnetic moment is the magnetic strength and orientation of a magnet or other object that produces a magnetic field. Concept and definition of magnetic dipole moment ( current loop behaves like a magnetic dipole) 2. magnetic moment is determined. . Magnetic Moment Definition In Bengali.
From www.youtube.com
dipole moment (in Bengali) পর্ব 6 physics class 12 Magnetic Moment Definition In Bengali Concept and definition of magnetic dipole moment ( current loop behaves like a magnetic dipole) 2. following topics are covered 1. meaning of magnetic moment in bengali language with definitions, examples, antonym, synonym. Pole strength of a magnet. What is magnetic moment in bengali? Magnetic moment definition, pronuniation, antonyms, synonyms and example. magnetic moment is determined. . Magnetic Moment Definition In Bengali.
From www.doubtnut.com
[Bengali] If the moment of a straight wire is p(m Magnetic Moment Definition In Bengali What is magnetic moment in bengali? meaning of magnetic moment in bengali language with definitions, examples, antonym, synonym. Pole strength of a magnet. magnetic moment meaning in bengali. following topics are covered 1. Concept and definition of magnetic dipole moment ( current loop behaves like a magnetic dipole) 2. Magnetic moment definition, pronuniation, antonyms, synonyms and example.. Magnetic Moment Definition In Bengali.
From www.doubtnut.com
[Bengali] moment of [MnCl(4)]^(2) is 5.92 BM. Explain. Magnetic Moment Definition In Bengali Pole strength of a magnet. following topics are covered 1. the magnetic moment is the magnetic strength and orientation of a magnet or other object that produces a magnetic field. magnetic moment meaning in bengali. What is magnetic moment in bengali? Magnetic moment definition, pronuniation, antonyms, synonyms and example. Concept and definition of magnetic dipole moment (. Magnetic Moment Definition In Bengali.
From www.doubtnut.com
[Bengali] The moment of a needle of mass 3.2 g is 98 Magnetic Moment Definition In Bengali Concept and definition of magnetic dipole moment ( current loop behaves like a magnetic dipole) 2. magnetic moment meaning in bengali. meaning of magnetic moment in bengali language with definitions, examples, antonym, synonym. Pole strength of a magnet. following topics are covered 1. Magnetic moment definition, pronuniation, antonyms, synonyms and example. magnetic moment is determined. What. Magnetic Moment Definition In Bengali.
From www.youtube.com
FOR BENGALI MEDIUM STUDENTS. MOMENT DUE TO ROTATION OF CHARGE Magnetic Moment Definition In Bengali Magnetic moment definition, pronuniation, antonyms, synonyms and example. magnetic moment meaning in bengali. following topics are covered 1. magnetic moment is determined. meaning of magnetic moment in bengali language with definitions, examples, antonym, synonym. What is magnetic moment in bengali? the magnetic moment is the magnetic strength and orientation of a magnet or other object. Magnetic Moment Definition In Bengali.
From www.doubtnut.com
[Bengali] The moment is associated with its spin angular mome Magnetic Moment Definition In Bengali What is magnetic moment in bengali? Concept and definition of magnetic dipole moment ( current loop behaves like a magnetic dipole) 2. meaning of magnetic moment in bengali language with definitions, examples, antonym, synonym. magnetic moment is determined. magnetic moment meaning in bengali. Magnetic moment definition, pronuniation, antonyms, synonyms and example. Pole strength of a magnet. . Magnetic Moment Definition In Bengali.