Quality Tools And Services Houma La . Search for other cutting tools on the real. quality tools & services, inc., hammond, louisiana. quality tools & services, inc. find company research, competitor information, contact details & financial data for quality tools and services, inc. get reviews, hours, directions, coupons and more for quality tools & services, inc. qts is an industrial distributor with multiple locations in southern louisiana, serving the oil and gas industry. quality tools & services, inc. 647 likes · 17 talking about this · 11 were here.
from www.qtstamping.com
647 likes · 17 talking about this · 11 were here. qts is an industrial distributor with multiple locations in southern louisiana, serving the oil and gas industry. quality tools & services, inc., hammond, louisiana. find company research, competitor information, contact details & financial data for quality tools and services, inc. quality tools & services, inc. Search for other cutting tools on the real. quality tools & services, inc. get reviews, hours, directions, coupons and more for quality tools & services, inc.
Home Quality Tool and Stamping
Quality Tools And Services Houma La quality tools & services, inc., hammond, louisiana. 647 likes · 17 talking about this · 11 were here. quality tools & services, inc. Search for other cutting tools on the real. qts is an industrial distributor with multiple locations in southern louisiana, serving the oil and gas industry. find company research, competitor information, contact details & financial data for quality tools and services, inc. get reviews, hours, directions, coupons and more for quality tools & services, inc. quality tools & services, inc., hammond, louisiana. quality tools & services, inc.
From www.facebook.com
Unitec Quality Tools Ltd. Quality Tools And Services Houma La quality tools & services, inc. Search for other cutting tools on the real. qts is an industrial distributor with multiple locations in southern louisiana, serving the oil and gas industry. quality tools & services, inc., hammond, louisiana. quality tools & services, inc. 647 likes · 17 talking about this · 11 were here. get reviews,. Quality Tools And Services Houma La.
From www.facebook.com
Quality Tool Company of Florida, LLC. Quality Tools And Services Houma La qts is an industrial distributor with multiple locations in southern louisiana, serving the oil and gas industry. find company research, competitor information, contact details & financial data for quality tools and services, inc. 647 likes · 17 talking about this · 11 were here. quality tools & services, inc. quality tools & services, inc., hammond, louisiana.. Quality Tools And Services Houma La.
From www.youtube.com
Lift Sub Handling Tool available at Quality Rental Tools, LLC in Houma Quality Tools And Services Houma La qts is an industrial distributor with multiple locations in southern louisiana, serving the oil and gas industry. Search for other cutting tools on the real. quality tools & services, inc. quality tools & services, inc., hammond, louisiana. quality tools & services, inc. find company research, competitor information, contact details & financial data for quality tools. Quality Tools And Services Houma La.
From www.qtstools.com
About Quality Tools & Services Industrial Productivity Solutions Quality Tools And Services Houma La Search for other cutting tools on the real. 647 likes · 17 talking about this · 11 were here. qts is an industrial distributor with multiple locations in southern louisiana, serving the oil and gas industry. quality tools & services, inc. get reviews, hours, directions, coupons and more for quality tools & services, inc. quality tools. Quality Tools And Services Houma La.
From www.facebook.com
Quality Tool Company of Florida, LLC. Quality Tools And Services Houma La get reviews, hours, directions, coupons and more for quality tools & services, inc. quality tools & services, inc. Search for other cutting tools on the real. quality tools & services, inc., hammond, louisiana. 647 likes · 17 talking about this · 11 were here. qts is an industrial distributor with multiple locations in southern louisiana, serving. Quality Tools And Services Houma La.
From www.facebook.com
Quality Rental Tools/Namco Pipe and Supply Houma LA Quality Tools And Services Houma La find company research, competitor information, contact details & financial data for quality tools and services, inc. quality tools & services, inc. quality tools & services, inc., hammond, louisiana. get reviews, hours, directions, coupons and more for quality tools & services, inc. quality tools & services, inc. 647 likes · 17 talking about this · 11. Quality Tools And Services Houma La.
From www.qtstamping.com
Home Quality Tool and Stamping Quality Tools And Services Houma La Search for other cutting tools on the real. 647 likes · 17 talking about this · 11 were here. quality tools & services, inc. quality tools & services, inc. qts is an industrial distributor with multiple locations in southern louisiana, serving the oil and gas industry. quality tools & services, inc., hammond, louisiana. get reviews,. Quality Tools And Services Houma La.
From qasupplies.com
Produce Quality Tool Kit QA Supplies Quality Tools And Services Houma La 647 likes · 17 talking about this · 11 were here. quality tools & services, inc. quality tools & services, inc. quality tools & services, inc., hammond, louisiana. qts is an industrial distributor with multiple locations in southern louisiana, serving the oil and gas industry. Search for other cutting tools on the real. get reviews,. Quality Tools And Services Houma La.
From sleeksaw.com
DeWalt Meter Saw Quality Tools for Professionals Sleeksaw Quality Tools And Services Houma La qts is an industrial distributor with multiple locations in southern louisiana, serving the oil and gas industry. quality tools & services, inc., hammond, louisiana. Search for other cutting tools on the real. quality tools & services, inc. find company research, competitor information, contact details & financial data for quality tools and services, inc. get reviews,. Quality Tools And Services Houma La.
From www.scribd.com
Understanding Quality Tools A Comprehensive Guide to the 7 Basic QC Quality Tools And Services Houma La get reviews, hours, directions, coupons and more for quality tools & services, inc. quality tools & services, inc., hammond, louisiana. find company research, competitor information, contact details & financial data for quality tools and services, inc. Search for other cutting tools on the real. qts is an industrial distributor with multiple locations in southern louisiana, serving. Quality Tools And Services Houma La.
From www.qtandh.com
Quality Tools and Hydraulic L.L.C. and Industrial Tools provider Quality Tools And Services Houma La 647 likes · 17 talking about this · 11 were here. get reviews, hours, directions, coupons and more for quality tools & services, inc. quality tools & services, inc. quality tools & services, inc., hammond, louisiana. Search for other cutting tools on the real. find company research, competitor information, contact details & financial data for quality. Quality Tools And Services Houma La.
From mpi.tools
MPI TOOLS MPI tools Saving Lives with Quality products Quality Tools And Services Houma La find company research, competitor information, contact details & financial data for quality tools and services, inc. Search for other cutting tools on the real. quality tools & services, inc. get reviews, hours, directions, coupons and more for quality tools & services, inc. quality tools & services, inc. quality tools & services, inc., hammond, louisiana. . Quality Tools And Services Houma La.
From www.facebook.com
Quality Construction and Production QCP Houma LA Quality Tools And Services Houma La quality tools & services, inc., hammond, louisiana. find company research, competitor information, contact details & financial data for quality tools and services, inc. Search for other cutting tools on the real. quality tools & services, inc. 647 likes · 17 talking about this · 11 were here. quality tools & services, inc. get reviews, hours,. Quality Tools And Services Houma La.
From www.credly.com
Seven Basic Quality Tools Credly Quality Tools And Services Houma La find company research, competitor information, contact details & financial data for quality tools and services, inc. quality tools & services, inc. 647 likes · 17 talking about this · 11 were here. get reviews, hours, directions, coupons and more for quality tools & services, inc. quality tools & services, inc. quality tools & services, inc.,. Quality Tools And Services Houma La.
From dxorreivq.blob.core.windows.net
Quality Tools & Services Inc at Yolanda Tindal blog Quality Tools And Services Houma La qts is an industrial distributor with multiple locations in southern louisiana, serving the oil and gas industry. 647 likes · 17 talking about this · 11 were here. quality tools & services, inc. find company research, competitor information, contact details & financial data for quality tools and services, inc. get reviews, hours, directions, coupons and more. Quality Tools And Services Houma La.
From www.cleaninghouma.com
Exterior House Washing Quality Houma Power Washing Quality Tools And Services Houma La Search for other cutting tools on the real. quality tools & services, inc. qts is an industrial distributor with multiple locations in southern louisiana, serving the oil and gas industry. 647 likes · 17 talking about this · 11 were here. quality tools & services, inc. get reviews, hours, directions, coupons and more for quality tools. Quality Tools And Services Houma La.
From www.qualityrentaltools.com
DSC01846 Quality Rental Tools Quality Tools And Services Houma La get reviews, hours, directions, coupons and more for quality tools & services, inc. qts is an industrial distributor with multiple locations in southern louisiana, serving the oil and gas industry. quality tools & services, inc. Search for other cutting tools on the real. quality tools & services, inc., hammond, louisiana. quality tools & services, inc.. Quality Tools And Services Houma La.
From talbartooling.com
Quality Talbar Tool & Die Quality Tools And Services Houma La quality tools & services, inc. find company research, competitor information, contact details & financial data for quality tools and services, inc. get reviews, hours, directions, coupons and more for quality tools & services, inc. qts is an industrial distributor with multiple locations in southern louisiana, serving the oil and gas industry. quality tools & services,. Quality Tools And Services Houma La.
From www.americangaragedoorsupplies.com
Best Garage Door Services in in Houma, LA Quality Tools And Services Houma La Search for other cutting tools on the real. get reviews, hours, directions, coupons and more for quality tools & services, inc. quality tools & services, inc., hammond, louisiana. quality tools & services, inc. quality tools & services, inc. 647 likes · 17 talking about this · 11 were here. qts is an industrial distributor with. Quality Tools And Services Houma La.
From qualitytoolandmachineinc.com
Quality Tool & Machine, Inc. Quality Tools And Services Houma La get reviews, hours, directions, coupons and more for quality tools & services, inc. quality tools & services, inc. find company research, competitor information, contact details & financial data for quality tools and services, inc. quality tools & services, inc., hammond, louisiana. quality tools & services, inc. Search for other cutting tools on the real. . Quality Tools And Services Houma La.
From www.scribd.com
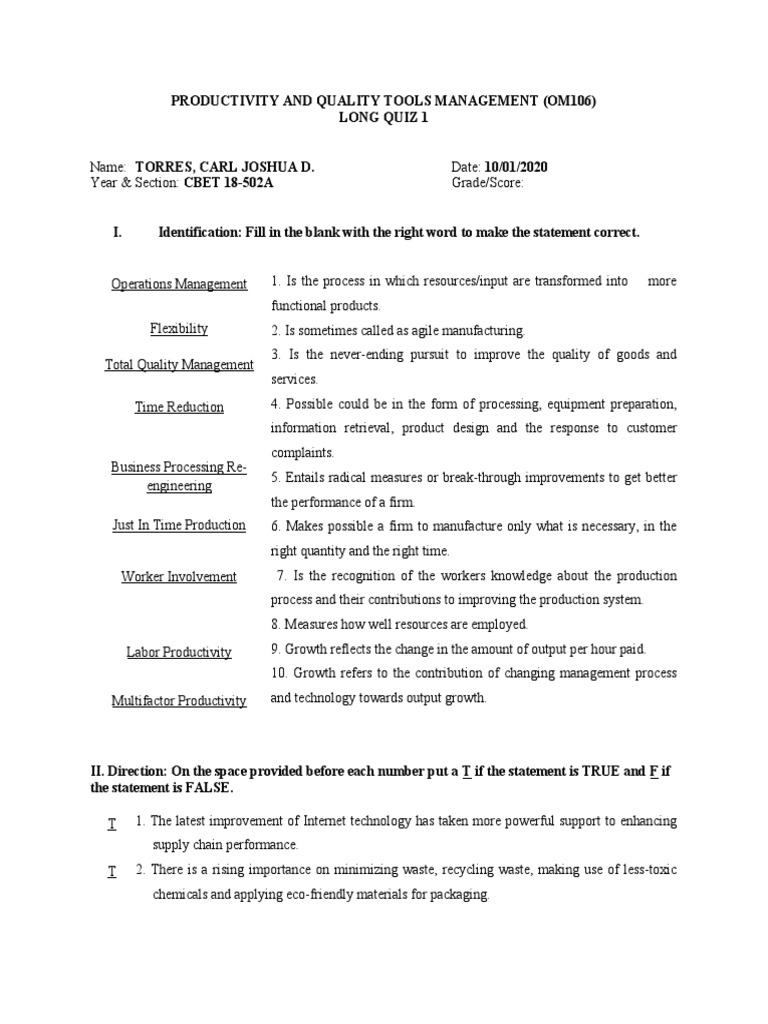
Productivity and Quality Tools Quiz1 PDF Operations Management Quality Tools And Services Houma La quality tools & services, inc. Search for other cutting tools on the real. find company research, competitor information, contact details & financial data for quality tools and services, inc. quality tools & services, inc., hammond, louisiana. 647 likes · 17 talking about this · 11 were here. quality tools & services, inc. get reviews, hours,. Quality Tools And Services Houma La.
From powertorqueservices.com
Power Torque Services Quality Tools And Services Houma La quality tools & services, inc., hammond, louisiana. quality tools & services, inc. get reviews, hours, directions, coupons and more for quality tools & services, inc. 647 likes · 17 talking about this · 11 were here. Search for other cutting tools on the real. quality tools & services, inc. find company research, competitor information, contact. Quality Tools And Services Houma La.
From www.qualityrentaltools.com
Lift Sub Handling tool Quality Rental Tools Quality Tools And Services Houma La quality tools & services, inc., hammond, louisiana. quality tools & services, inc. quality tools & services, inc. 647 likes · 17 talking about this · 11 were here. find company research, competitor information, contact details & financial data for quality tools and services, inc. qts is an industrial distributor with multiple locations in southern louisiana,. Quality Tools And Services Houma La.
From www.qualityrentaltools.com
Quality Rental Tools Quality Tools And Services Houma La get reviews, hours, directions, coupons and more for quality tools & services, inc. qts is an industrial distributor with multiple locations in southern louisiana, serving the oil and gas industry. quality tools & services, inc. find company research, competitor information, contact details & financial data for quality tools and services, inc. Search for other cutting tools. Quality Tools And Services Houma La.
From www.totaltoolscanada.com
About Us OMC TOOLS Top Quality And Affordable Tools Quality Tools And Services Houma La quality tools & services, inc. quality tools & services, inc. get reviews, hours, directions, coupons and more for quality tools & services, inc. quality tools & services, inc., hammond, louisiana. Search for other cutting tools on the real. qts is an industrial distributor with multiple locations in southern louisiana, serving the oil and gas industry.. Quality Tools And Services Houma La.
From houmaarmature.com
Houma Armature Works Locations Houma Armature Works Quality Tools And Services Houma La Search for other cutting tools on the real. find company research, competitor information, contact details & financial data for quality tools and services, inc. qts is an industrial distributor with multiple locations in southern louisiana, serving the oil and gas industry. quality tools & services, inc. quality tools & services, inc. 647 likes · 17 talking. Quality Tools And Services Houma La.
From www.qualityrentaltools.com
spacer_spool Quality Rental Tools Quality Tools And Services Houma La quality tools & services, inc. quality tools & services, inc. 647 likes · 17 talking about this · 11 were here. find company research, competitor information, contact details & financial data for quality tools and services, inc. Search for other cutting tools on the real. quality tools & services, inc., hammond, louisiana. qts is an. Quality Tools And Services Houma La.
From www.bescotubular.com
Corporate Headquarters Quality Tools And Services Houma La qts is an industrial distributor with multiple locations in southern louisiana, serving the oil and gas industry. quality tools & services, inc. 647 likes · 17 talking about this · 11 were here. find company research, competitor information, contact details & financial data for quality tools and services, inc. quality tools & services, inc., hammond, louisiana.. Quality Tools And Services Houma La.
From medium.com
JT Hand Tools Ltd Jthandtool Medium Quality Tools And Services Houma La qts is an industrial distributor with multiple locations in southern louisiana, serving the oil and gas industry. quality tools & services, inc., hammond, louisiana. 647 likes · 17 talking about this · 11 were here. quality tools & services, inc. Search for other cutting tools on the real. quality tools & services, inc. get reviews,. Quality Tools And Services Houma La.
From www.linkedin.com
Craig Knoblock Jr Outside Sales Development Manager Quality Tools Quality Tools And Services Houma La find company research, competitor information, contact details & financial data for quality tools and services, inc. quality tools & services, inc. quality tools & services, inc. qts is an industrial distributor with multiple locations in southern louisiana, serving the oil and gas industry. 647 likes · 17 talking about this · 11 were here. get. Quality Tools And Services Houma La.
From www.prweb.com
Chet Morrison Contractors Receives API Q1 Registration Quality Tools And Services Houma La find company research, competitor information, contact details & financial data for quality tools and services, inc. Search for other cutting tools on the real. qts is an industrial distributor with multiple locations in southern louisiana, serving the oil and gas industry. quality tools & services, inc. quality tools & services, inc. 647 likes · 17 talking. Quality Tools And Services Houma La.
From lindsaymachineworks.com
Metal Fabrication Why Your Company Needs It Lindsay Machine Works Quality Tools And Services Houma La quality tools & services, inc. qts is an industrial distributor with multiple locations in southern louisiana, serving the oil and gas industry. quality tools & services, inc. find company research, competitor information, contact details & financial data for quality tools and services, inc. quality tools & services, inc., hammond, louisiana. get reviews, hours, directions,. Quality Tools And Services Houma La.
From www.yelp.com
SERVICEMASTER QUALITY SERVICES Updated August 2024 16 Photos 301 Quality Tools And Services Houma La 647 likes · 17 talking about this · 11 were here. get reviews, hours, directions, coupons and more for quality tools & services, inc. quality tools & services, inc. quality tools & services, inc. qts is an industrial distributor with multiple locations in southern louisiana, serving the oil and gas industry. find company research, competitor. Quality Tools And Services Houma La.
From www.qualityrentaltools.com
Lift Sub Handling tool Quality Rental Tools Quality Tools And Services Houma La quality tools & services, inc. 647 likes · 17 talking about this · 11 were here. quality tools & services, inc., hammond, louisiana. quality tools & services, inc. qts is an industrial distributor with multiple locations in southern louisiana, serving the oil and gas industry. get reviews, hours, directions, coupons and more for quality tools. Quality Tools And Services Houma La.
From www.bescotubular.com
Corporate Headquarters Quality Tools And Services Houma La get reviews, hours, directions, coupons and more for quality tools & services, inc. Search for other cutting tools on the real. quality tools & services, inc. find company research, competitor information, contact details & financial data for quality tools and services, inc. quality tools & services, inc., hammond, louisiana. qts is an industrial distributor with. Quality Tools And Services Houma La.