Pa Tax Waiver Certification Form . The waiver can be requested before the return is filed. (1) all required state tax. By submitting this application to the department, applicant (control person) certifies that: Tax withholding is required on certain payments of pennsylvania source compensation, business income and lease payments made to nonresidents. (1) all required state tax reports for all applicable periods are filed with the pennsylvania department of revenue and (2) all state tax obligations are. By submitting this application to the department, applicant (control person) certifies that: The request may be mailed or faxed to:
from www.dochub.com
(1) all required state tax reports for all applicable periods are filed with the pennsylvania department of revenue and (2) all state tax obligations are. The waiver can be requested before the return is filed. By submitting this application to the department, applicant (control person) certifies that: Tax withholding is required on certain payments of pennsylvania source compensation, business income and lease payments made to nonresidents. (1) all required state tax. By submitting this application to the department, applicant (control person) certifies that: The request may be mailed or faxed to:
Pennsylvania exemption certificate Fill out & sign online DocHub
Pa Tax Waiver Certification Form (1) all required state tax reports for all applicable periods are filed with the pennsylvania department of revenue and (2) all state tax obligations are. By submitting this application to the department, applicant (control person) certifies that: The request may be mailed or faxed to: Tax withholding is required on certain payments of pennsylvania source compensation, business income and lease payments made to nonresidents. The waiver can be requested before the return is filed. (1) all required state tax. By submitting this application to the department, applicant (control person) certifies that: (1) all required state tax reports for all applicable periods are filed with the pennsylvania department of revenue and (2) all state tax obligations are.
From www.templateroller.com
Form PA4 Fill Out, Sign Online and Download Printable PDF, New Pa Tax Waiver Certification Form (1) all required state tax. The waiver can be requested before the return is filed. By submitting this application to the department, applicant (control person) certifies that: Tax withholding is required on certain payments of pennsylvania source compensation, business income and lease payments made to nonresidents. The request may be mailed or faxed to: By submitting this application to the. Pa Tax Waiver Certification Form.
From www.formsbank.com
Fillable Form Rev1220 Pennsylvania Exemption Certificate printable Pa Tax Waiver Certification Form The waiver can be requested before the return is filed. By submitting this application to the department, applicant (control person) certifies that: The request may be mailed or faxed to: By submitting this application to the department, applicant (control person) certifies that: Tax withholding is required on certain payments of pennsylvania source compensation, business income and lease payments made to. Pa Tax Waiver Certification Form.
From fill.io
Fill Free fillable forms for the state of Pennsylvania Pa Tax Waiver Certification Form The request may be mailed or faxed to: By submitting this application to the department, applicant (control person) certifies that: The waiver can be requested before the return is filed. By submitting this application to the department, applicant (control person) certifies that: (1) all required state tax reports for all applicable periods are filed with the pennsylvania department of revenue. Pa Tax Waiver Certification Form.
From games.assurances.gov.gh
Pa Inheritance Tax Waiver Form Pa Tax Waiver Certification Form (1) all required state tax reports for all applicable periods are filed with the pennsylvania department of revenue and (2) all state tax obligations are. Tax withholding is required on certain payments of pennsylvania source compensation, business income and lease payments made to nonresidents. The request may be mailed or faxed to: (1) all required state tax. By submitting this. Pa Tax Waiver Certification Form.
From www.formsbank.com
Pa Local Earned Tax Residency Certification Form printable pdf Pa Tax Waiver Certification Form Tax withholding is required on certain payments of pennsylvania source compensation, business income and lease payments made to nonresidents. (1) all required state tax. (1) all required state tax reports for all applicable periods are filed with the pennsylvania department of revenue and (2) all state tax obligations are. The waiver can be requested before the return is filed. By. Pa Tax Waiver Certification Form.
From www.kenmillersupply.com
Pennsylvania Tax Exempt Pa Tax Waiver Certification Form The request may be mailed or faxed to: (1) all required state tax. Tax withholding is required on certain payments of pennsylvania source compensation, business income and lease payments made to nonresidents. (1) all required state tax reports for all applicable periods are filed with the pennsylvania department of revenue and (2) all state tax obligations are. By submitting this. Pa Tax Waiver Certification Form.
From www.dochub.com
Pa tax clearance certificate Fill out & sign online DocHub Pa Tax Waiver Certification Form The request may be mailed or faxed to: (1) all required state tax reports for all applicable periods are filed with the pennsylvania department of revenue and (2) all state tax obligations are. Tax withholding is required on certain payments of pennsylvania source compensation, business income and lease payments made to nonresidents. (1) all required state tax. By submitting this. Pa Tax Waiver Certification Form.
From www.formsbank.com
Fillable Form Rev516 Pennsylvania Request For Waiver Or Notice Of Pa Tax Waiver Certification Form Tax withholding is required on certain payments of pennsylvania source compensation, business income and lease payments made to nonresidents. (1) all required state tax reports for all applicable periods are filed with the pennsylvania department of revenue and (2) all state tax obligations are. The waiver can be requested before the return is filed. (1) all required state tax. The. Pa Tax Waiver Certification Form.
From www.exemptform.com
Form Rev 1220 Pennsylvania Exemption Certificate Printable Pdf Download Pa Tax Waiver Certification Form The request may be mailed or faxed to: Tax withholding is required on certain payments of pennsylvania source compensation, business income and lease payments made to nonresidents. (1) all required state tax. By submitting this application to the department, applicant (control person) certifies that: By submitting this application to the department, applicant (control person) certifies that: (1) all required state. Pa Tax Waiver Certification Form.
From www.dochub.com
Pa exemption certificate Fill out & sign online DocHub Pa Tax Waiver Certification Form By submitting this application to the department, applicant (control person) certifies that: (1) all required state tax. The waiver can be requested before the return is filed. The request may be mailed or faxed to: By submitting this application to the department, applicant (control person) certifies that: (1) all required state tax reports for all applicable periods are filed with. Pa Tax Waiver Certification Form.
From www.signnow.com
Pa 8453 20212024 Form Fill Out and Sign Printable PDF Template Pa Tax Waiver Certification Form The request may be mailed or faxed to: (1) all required state tax. By submitting this application to the department, applicant (control person) certifies that: By submitting this application to the department, applicant (control person) certifies that: (1) all required state tax reports for all applicable periods are filed with the pennsylvania department of revenue and (2) all state tax. Pa Tax Waiver Certification Form.
From www.formsbank.com
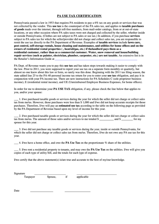
Pa Use Tax Certification printable pdf download Pa Tax Waiver Certification Form By submitting this application to the department, applicant (control person) certifies that: The request may be mailed or faxed to: By submitting this application to the department, applicant (control person) certifies that: (1) all required state tax. The waiver can be requested before the return is filed. Tax withholding is required on certain payments of pennsylvania source compensation, business income. Pa Tax Waiver Certification Form.
From www.signnow.com
How to Get a Pa Tax Exempt Number Form Fill Out and Sign Printable Pa Tax Waiver Certification Form The waiver can be requested before the return is filed. Tax withholding is required on certain payments of pennsylvania source compensation, business income and lease payments made to nonresidents. (1) all required state tax reports for all applicable periods are filed with the pennsylvania department of revenue and (2) all state tax obligations are. (1) all required state tax. The. Pa Tax Waiver Certification Form.
From www.formsbirds.com
Pennsylvania Tax Form 592 Free Templates in PDF, Word, Excel Download Pa Tax Waiver Certification Form (1) all required state tax. (1) all required state tax reports for all applicable periods are filed with the pennsylvania department of revenue and (2) all state tax obligations are. By submitting this application to the department, applicant (control person) certifies that: By submitting this application to the department, applicant (control person) certifies that: The waiver can be requested before. Pa Tax Waiver Certification Form.
From taxpreparationclasses.blogspot.com
Pa Inheritance Tax Waiver Form Rev 516 Tax Preparation Classes Pa Tax Waiver Certification Form The waiver can be requested before the return is filed. (1) all required state tax. The request may be mailed or faxed to: Tax withholding is required on certain payments of pennsylvania source compensation, business income and lease payments made to nonresidents. By submitting this application to the department, applicant (control person) certifies that: (1) all required state tax reports. Pa Tax Waiver Certification Form.
From www.contrapositionmagazine.com
Inheritance Tax Waiver Form Pa Form Resume Examples kLYrL0326a Pa Tax Waiver Certification Form Tax withholding is required on certain payments of pennsylvania source compensation, business income and lease payments made to nonresidents. The request may be mailed or faxed to: By submitting this application to the department, applicant (control person) certifies that: (1) all required state tax reports for all applicable periods are filed with the pennsylvania department of revenue and (2) all. Pa Tax Waiver Certification Form.
From www.signnow.com
Rev 516 20192024 Form Fill Out and Sign Printable PDF Template Pa Tax Waiver Certification Form The request may be mailed or faxed to: By submitting this application to the department, applicant (control person) certifies that: (1) all required state tax reports for all applicable periods are filed with the pennsylvania department of revenue and (2) all state tax obligations are. (1) all required state tax. The waiver can be requested before the return is filed.. Pa Tax Waiver Certification Form.
From www.uslegalforms.com
PA PA8879 20202021 Fill out Tax Template Online US Legal Forms Pa Tax Waiver Certification Form By submitting this application to the department, applicant (control person) certifies that: (1) all required state tax reports for all applicable periods are filed with the pennsylvania department of revenue and (2) all state tax obligations are. Tax withholding is required on certain payments of pennsylvania source compensation, business income and lease payments made to nonresidents. By submitting this application. Pa Tax Waiver Certification Form.
From pafpi.org
Certificate of TAX Exemption PAFPI Pa Tax Waiver Certification Form By submitting this application to the department, applicant (control person) certifies that: The request may be mailed or faxed to: By submitting this application to the department, applicant (control person) certifies that: (1) all required state tax. Tax withholding is required on certain payments of pennsylvania source compensation, business income and lease payments made to nonresidents. (1) all required state. Pa Tax Waiver Certification Form.
From tutore.org
Pennsylvania Exemption Certificate Master of Documents Pa Tax Waiver Certification Form Tax withholding is required on certain payments of pennsylvania source compensation, business income and lease payments made to nonresidents. The waiver can be requested before the return is filed. (1) all required state tax. (1) all required state tax reports for all applicable periods are filed with the pennsylvania department of revenue and (2) all state tax obligations are. By. Pa Tax Waiver Certification Form.
From www.dochub.com
Pa tax exempt form pdf Fill out & sign online DocHub Pa Tax Waiver Certification Form Tax withholding is required on certain payments of pennsylvania source compensation, business income and lease payments made to nonresidents. By submitting this application to the department, applicant (control person) certifies that: (1) all required state tax reports for all applicable periods are filed with the pennsylvania department of revenue and (2) all state tax obligations are. By submitting this application. Pa Tax Waiver Certification Form.
From www.pdffiller.com
2008 Form PA DoR REV1220 AS Fill Online, Printable, Fillable, Blank Pa Tax Waiver Certification Form The request may be mailed or faxed to: (1) all required state tax reports for all applicable periods are filed with the pennsylvania department of revenue and (2) all state tax obligations are. By submitting this application to the department, applicant (control person) certifies that: By submitting this application to the department, applicant (control person) certifies that: The waiver can. Pa Tax Waiver Certification Form.
From www.exemptform.com
Form Rev 1220 As Pennsylvania Exemption Certificate 2006 Printable Pa Tax Waiver Certification Form The waiver can be requested before the return is filed. Tax withholding is required on certain payments of pennsylvania source compensation, business income and lease payments made to nonresidents. By submitting this application to the department, applicant (control person) certifies that: (1) all required state tax. (1) all required state tax reports for all applicable periods are filed with the. Pa Tax Waiver Certification Form.
From taxpreparationclasses.blogspot.com
Pa Inheritance Tax Waiver Form Rev 516 Tax Preparation Classes Pa Tax Waiver Certification Form (1) all required state tax. The request may be mailed or faxed to: By submitting this application to the department, applicant (control person) certifies that: The waiver can be requested before the return is filed. (1) all required state tax reports for all applicable periods are filed with the pennsylvania department of revenue and (2) all state tax obligations are.. Pa Tax Waiver Certification Form.
From printableformsfree.com
Free Printable Pa Tax Forms Printable Forms Free Online Pa Tax Waiver Certification Form The waiver can be requested before the return is filed. By submitting this application to the department, applicant (control person) certifies that: (1) all required state tax. By submitting this application to the department, applicant (control person) certifies that: (1) all required state tax reports for all applicable periods are filed with the pennsylvania department of revenue and (2) all. Pa Tax Waiver Certification Form.
From www.exemptform.com
Pa Exemption Certificate Fill Out And Sign Printable PDF Template Pa Tax Waiver Certification Form The waiver can be requested before the return is filed. Tax withholding is required on certain payments of pennsylvania source compensation, business income and lease payments made to nonresidents. The request may be mailed or faxed to: By submitting this application to the department, applicant (control person) certifies that: (1) all required state tax. (1) all required state tax reports. Pa Tax Waiver Certification Form.
From www.dochub.com
Pa inheritance tax waiver form Fill out & sign online DocHub Pa Tax Waiver Certification Form Tax withholding is required on certain payments of pennsylvania source compensation, business income and lease payments made to nonresidents. By submitting this application to the department, applicant (control person) certifies that: (1) all required state tax reports for all applicable periods are filed with the pennsylvania department of revenue and (2) all state tax obligations are. (1) all required state. Pa Tax Waiver Certification Form.
From www.dochub.com
Pennsylvania exemption certificate Fill out & sign online DocHub Pa Tax Waiver Certification Form The waiver can be requested before the return is filed. By submitting this application to the department, applicant (control person) certifies that: By submitting this application to the department, applicant (control person) certifies that: The request may be mailed or faxed to: (1) all required state tax reports for all applicable periods are filed with the pennsylvania department of revenue. Pa Tax Waiver Certification Form.
From www.uslegalforms.com
PA Form PA40 ES (I) 20212022 Fill out Tax Template Online US Pa Tax Waiver Certification Form By submitting this application to the department, applicant (control person) certifies that: The request may be mailed or faxed to: Tax withholding is required on certain payments of pennsylvania source compensation, business income and lease payments made to nonresidents. (1) all required state tax. By submitting this application to the department, applicant (control person) certifies that: The waiver can be. Pa Tax Waiver Certification Form.
From www.pdffiller.com
Fillable Online Pa Request For Tax Waiver. Pa Request For Tax Waiver Pa Tax Waiver Certification Form (1) all required state tax. The waiver can be requested before the return is filed. The request may be mailed or faxed to: (1) all required state tax reports for all applicable periods are filed with the pennsylvania department of revenue and (2) all state tax obligations are. Tax withholding is required on certain payments of pennsylvania source compensation, business. Pa Tax Waiver Certification Form.
From www.formsbank.com
Fillable Form Rev 1220 As+ Pennsylvania Exemption Certificate Pa Tax Waiver Certification Form By submitting this application to the department, applicant (control person) certifies that: The waiver can be requested before the return is filed. Tax withholding is required on certain payments of pennsylvania source compensation, business income and lease payments made to nonresidents. By submitting this application to the department, applicant (control person) certifies that: The request may be mailed or faxed. Pa Tax Waiver Certification Form.
From taxpreparationclasses.blogspot.com
Pa Inheritance Tax Waiver Form Rev 516 Tax Preparation Classes Pa Tax Waiver Certification Form (1) all required state tax. (1) all required state tax reports for all applicable periods are filed with the pennsylvania department of revenue and (2) all state tax obligations are. The request may be mailed or faxed to: Tax withholding is required on certain payments of pennsylvania source compensation, business income and lease payments made to nonresidents. The waiver can. Pa Tax Waiver Certification Form.
From forms.legal
Free Pennsylvania Release / Waiver Form Template Forms.Legal Pa Tax Waiver Certification Form The request may be mailed or faxed to: (1) all required state tax reports for all applicable periods are filed with the pennsylvania department of revenue and (2) all state tax obligations are. By submitting this application to the department, applicant (control person) certifies that: By submitting this application to the department, applicant (control person) certifies that: Tax withholding is. Pa Tax Waiver Certification Form.
From w4formsprintable.com
Pa State Tax Form W4 2021 2022 W4 Form Pa Tax Waiver Certification Form (1) all required state tax reports for all applicable periods are filed with the pennsylvania department of revenue and (2) all state tax obligations are. The waiver can be requested before the return is filed. The request may be mailed or faxed to: By submitting this application to the department, applicant (control person) certifies that: By submitting this application to. Pa Tax Waiver Certification Form.
From www.signnow.com
Fillable Rev 20212024 Form Fill Out and Sign Printable PDF Template Pa Tax Waiver Certification Form Tax withholding is required on certain payments of pennsylvania source compensation, business income and lease payments made to nonresidents. The request may be mailed or faxed to: By submitting this application to the department, applicant (control person) certifies that: By submitting this application to the department, applicant (control person) certifies that: The waiver can be requested before the return is. Pa Tax Waiver Certification Form.