Radiation Safety Officer Exam Syllabus . And performing his or her duties as a radiation safety officer (rso) for unsealed radiopharmaceuticals, sealed sources, and x. Online radiation safety officer training course syllabus topics that we cover during the 40 hour training course include:. This exam assesses students’ knowledge needed for serving as a radiation safety officer (rso) at a nonmedical radioactive material license facility. It focuses on the subjects required to meet the. Learn how to schedule, reschedule or cancel your exam for radiation safety officer license with nrrc and pearson vue. Learn about the training and experience requirements for radiation safety officer (rso) in different types of licenses and materials. This web page provides the. Learn about the radiological safety officer (rso) certification exams and training courses offered by bhabha atomic research centre (barc) in. Rso stands for radiological safety officer, a professional who ensures radiation protection in various fields.
from studylib.net
Learn how to schedule, reschedule or cancel your exam for radiation safety officer license with nrrc and pearson vue. Learn about the training and experience requirements for radiation safety officer (rso) in different types of licenses and materials. Online radiation safety officer training course syllabus topics that we cover during the 40 hour training course include:. This exam assesses students’ knowledge needed for serving as a radiation safety officer (rso) at a nonmedical radioactive material license facility. It focuses on the subjects required to meet the. This web page provides the. Learn about the radiological safety officer (rso) certification exams and training courses offered by bhabha atomic research centre (barc) in. Rso stands for radiological safety officer, a professional who ensures radiation protection in various fields. And performing his or her duties as a radiation safety officer (rso) for unsealed radiopharmaceuticals, sealed sources, and x.
Nevada Technical Associates, Inc. Medical Radiation Safety Officer
Radiation Safety Officer Exam Syllabus Learn how to schedule, reschedule or cancel your exam for radiation safety officer license with nrrc and pearson vue. Learn about the radiological safety officer (rso) certification exams and training courses offered by bhabha atomic research centre (barc) in. It focuses on the subjects required to meet the. And performing his or her duties as a radiation safety officer (rso) for unsealed radiopharmaceuticals, sealed sources, and x. Learn how to schedule, reschedule or cancel your exam for radiation safety officer license with nrrc and pearson vue. This web page provides the. Online radiation safety officer training course syllabus topics that we cover during the 40 hour training course include:. Learn about the training and experience requirements for radiation safety officer (rso) in different types of licenses and materials. This exam assesses students’ knowledge needed for serving as a radiation safety officer (rso) at a nonmedical radioactive material license facility. Rso stands for radiological safety officer, a professional who ensures radiation protection in various fields.
From www.templateroller.com
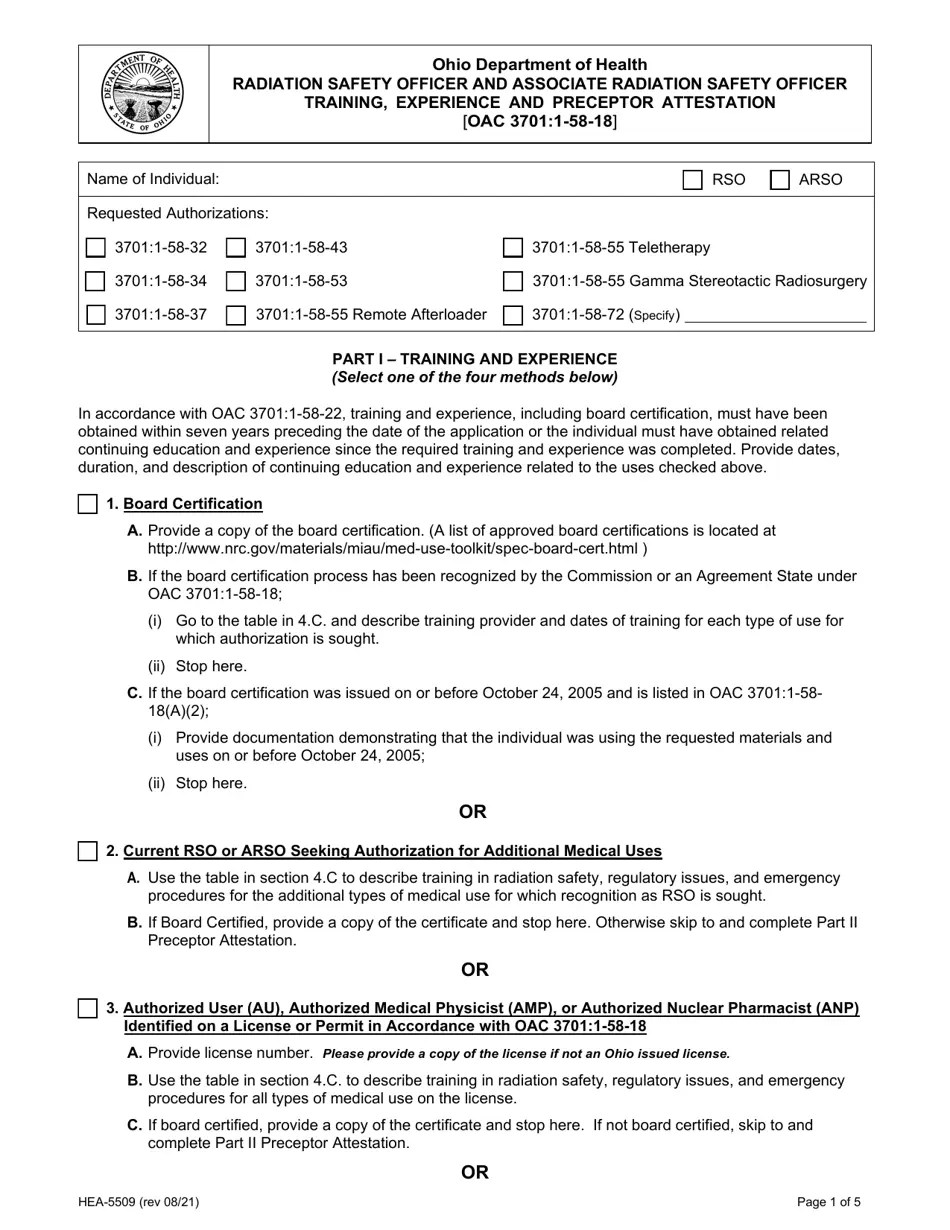
Form HEA5509 Fill Out, Sign Online and Download Fillable PDF, Ohio Radiation Safety Officer Exam Syllabus It focuses on the subjects required to meet the. This exam assesses students’ knowledge needed for serving as a radiation safety officer (rso) at a nonmedical radioactive material license facility. This web page provides the. And performing his or her duties as a radiation safety officer (rso) for unsealed radiopharmaceuticals, sealed sources, and x. Rso stands for radiological safety officer,. Radiation Safety Officer Exam Syllabus.
From www.scribd.com
Syllabus Medical Physicist Exam PDF Medical Imaging Radiation Therapy Radiation Safety Officer Exam Syllabus Rso stands for radiological safety officer, a professional who ensures radiation protection in various fields. And performing his or her duties as a radiation safety officer (rso) for unsealed radiopharmaceuticals, sealed sources, and x. This web page provides the. Online radiation safety officer training course syllabus topics that we cover during the 40 hour training course include:. Learn about the. Radiation Safety Officer Exam Syllabus.
From electron-x.co.uk
Radiation Safety Training » ElectronX Radiation Safety Officer Exam Syllabus Rso stands for radiological safety officer, a professional who ensures radiation protection in various fields. It focuses on the subjects required to meet the. This exam assesses students’ knowledge needed for serving as a radiation safety officer (rso) at a nonmedical radioactive material license facility. And performing his or her duties as a radiation safety officer (rso) for unsealed radiopharmaceuticals,. Radiation Safety Officer Exam Syllabus.
From jetexampublication.in
Tata Memorial Centre Scientific OfficerD (Nuclear Medicine & Radiation Radiation Safety Officer Exam Syllabus Learn about the training and experience requirements for radiation safety officer (rso) in different types of licenses and materials. Learn how to schedule, reschedule or cancel your exam for radiation safety officer license with nrrc and pearson vue. This exam assesses students’ knowledge needed for serving as a radiation safety officer (rso) at a nonmedical radioactive material license facility. Online. Radiation Safety Officer Exam Syllabus.
From cme-ksa.com
Medical Radiation Safety Officer Course Radiation Safety Officer Exam Syllabus Online radiation safety officer training course syllabus topics that we cover during the 40 hour training course include:. And performing his or her duties as a radiation safety officer (rso) for unsealed radiopharmaceuticals, sealed sources, and x. Rso stands for radiological safety officer, a professional who ensures radiation protection in various fields. Learn about the training and experience requirements for. Radiation Safety Officer Exam Syllabus.
From www.stuvia.com
ALMS Radiation Safety Exam SOLUTIONS 100 PASS 2023/2024 Radiation Radiation Safety Officer Exam Syllabus Rso stands for radiological safety officer, a professional who ensures radiation protection in various fields. Learn how to schedule, reschedule or cancel your exam for radiation safety officer license with nrrc and pearson vue. Learn about the radiological safety officer (rso) certification exams and training courses offered by bhabha atomic research centre (barc) in. Learn about the training and experience. Radiation Safety Officer Exam Syllabus.
From lexibshandie.pages.dev
Radiation Safety Officer Training 2024 Dena Morena Radiation Safety Officer Exam Syllabus Online radiation safety officer training course syllabus topics that we cover during the 40 hour training course include:. Learn about the training and experience requirements for radiation safety officer (rso) in different types of licenses and materials. And performing his or her duties as a radiation safety officer (rso) for unsealed radiopharmaceuticals, sealed sources, and x. Learn about the radiological. Radiation Safety Officer Exam Syllabus.
From www.slideserve.com
PPT Radiation safety officer training petroleum (norms) 3 day Radiation Safety Officer Exam Syllabus This web page provides the. Learn about the radiological safety officer (rso) certification exams and training courses offered by bhabha atomic research centre (barc) in. Online radiation safety officer training course syllabus topics that we cover during the 40 hour training course include:. Rso stands for radiological safety officer, a professional who ensures radiation protection in various fields. It focuses. Radiation Safety Officer Exam Syllabus.
From www.stuvia.com
Radiation Safety Exam Questions and Answers Radiation Safety Stuvia US Radiation Safety Officer Exam Syllabus This web page provides the. And performing his or her duties as a radiation safety officer (rso) for unsealed radiopharmaceuticals, sealed sources, and x. Learn how to schedule, reschedule or cancel your exam for radiation safety officer license with nrrc and pearson vue. This exam assesses students’ knowledge needed for serving as a radiation safety officer (rso) at a nonmedical. Radiation Safety Officer Exam Syllabus.
From studylib.net
Radiation Safety Officer Qualifications for Medical Facilities AAPM Radiation Safety Officer Exam Syllabus Learn how to schedule, reschedule or cancel your exam for radiation safety officer license with nrrc and pearson vue. Learn about the training and experience requirements for radiation safety officer (rso) in different types of licenses and materials. It focuses on the subjects required to meet the. Rso stands for radiological safety officer, a professional who ensures radiation protection in. Radiation Safety Officer Exam Syllabus.
From www.templateroller.com
Form MAT1A(RSO) Fill Out, Sign Online and Download Fillable PDF Radiation Safety Officer Exam Syllabus And performing his or her duties as a radiation safety officer (rso) for unsealed radiopharmaceuticals, sealed sources, and x. Learn about the training and experience requirements for radiation safety officer (rso) in different types of licenses and materials. This exam assesses students’ knowledge needed for serving as a radiation safety officer (rso) at a nonmedical radioactive material license facility. It. Radiation Safety Officer Exam Syllabus.
From trainingcentre.nuclearmalaysia.gov.my
RSH 101 Radiation Safety Awareness Centre of Nuclear Excellence Malaysia Radiation Safety Officer Exam Syllabus Learn about the radiological safety officer (rso) certification exams and training courses offered by bhabha atomic research centre (barc) in. Online radiation safety officer training course syllabus topics that we cover during the 40 hour training course include:. This exam assesses students’ knowledge needed for serving as a radiation safety officer (rso) at a nonmedical radioactive material license facility. Learn. Radiation Safety Officer Exam Syllabus.
From www.templateroller.com
DHEC Form 0814D (RSO) Download Fillable PDF or Fill Online Radiation Radiation Safety Officer Exam Syllabus Learn about the training and experience requirements for radiation safety officer (rso) in different types of licenses and materials. This exam assesses students’ knowledge needed for serving as a radiation safety officer (rso) at a nonmedical radioactive material license facility. Rso stands for radiological safety officer, a professional who ensures radiation protection in various fields. Learn about the radiological safety. Radiation Safety Officer Exam Syllabus.
From www.scribd.com
Radiation Safety Exam Preparation Model Questions Radiation Radiation Safety Officer Exam Syllabus And performing his or her duties as a radiation safety officer (rso) for unsealed radiopharmaceuticals, sealed sources, and x. Learn about the radiological safety officer (rso) certification exams and training courses offered by bhabha atomic research centre (barc) in. It focuses on the subjects required to meet the. Rso stands for radiological safety officer, a professional who ensures radiation protection. Radiation Safety Officer Exam Syllabus.
From www.docsity.com
50 Question Radiation Safety Practice ExaminationPhysicsHandout Radiation Safety Officer Exam Syllabus Rso stands for radiological safety officer, a professional who ensures radiation protection in various fields. Learn about the radiological safety officer (rso) certification exams and training courses offered by bhabha atomic research centre (barc) in. It focuses on the subjects required to meet the. And performing his or her duties as a radiation safety officer (rso) for unsealed radiopharmaceuticals, sealed. Radiation Safety Officer Exam Syllabus.
From www.scribd.com
Radiation Safety Examination 1 Absorbed Dose Nuclear Safety And Radiation Safety Officer Exam Syllabus Learn about the radiological safety officer (rso) certification exams and training courses offered by bhabha atomic research centre (barc) in. Online radiation safety officer training course syllabus topics that we cover during the 40 hour training course include:. And performing his or her duties as a radiation safety officer (rso) for unsealed radiopharmaceuticals, sealed sources, and x. This exam assesses. Radiation Safety Officer Exam Syllabus.
From edureaders.com
40 Hour Radiation Safety Officer Course Online Radiation Safety Officer Exam Syllabus Online radiation safety officer training course syllabus topics that we cover during the 40 hour training course include:. Learn about the training and experience requirements for radiation safety officer (rso) in different types of licenses and materials. Learn how to schedule, reschedule or cancel your exam for radiation safety officer license with nrrc and pearson vue. This web page provides. Radiation Safety Officer Exam Syllabus.
From www.youtube.com
Duties and Responsibilities of the Radiation Safety Officer (RSO) YouTube Radiation Safety Officer Exam Syllabus Rso stands for radiological safety officer, a professional who ensures radiation protection in various fields. Online radiation safety officer training course syllabus topics that we cover during the 40 hour training course include:. And performing his or her duties as a radiation safety officer (rso) for unsealed radiopharmaceuticals, sealed sources, and x. This web page provides the. It focuses on. Radiation Safety Officer Exam Syllabus.
From studylib.net
Nevada Technical Associates, Inc. Medical Radiation Safety Officer Radiation Safety Officer Exam Syllabus Rso stands for radiological safety officer, a professional who ensures radiation protection in various fields. This exam assesses students’ knowledge needed for serving as a radiation safety officer (rso) at a nonmedical radioactive material license facility. Online radiation safety officer training course syllabus topics that we cover during the 40 hour training course include:. It focuses on the subjects required. Radiation Safety Officer Exam Syllabus.
From klallpool.blob.core.windows.net
Radiation Safety Training Courses at Anita Vanbrunt blog Radiation Safety Officer Exam Syllabus Learn about the training and experience requirements for radiation safety officer (rso) in different types of licenses and materials. Learn about the radiological safety officer (rso) certification exams and training courses offered by bhabha atomic research centre (barc) in. Rso stands for radiological safety officer, a professional who ensures radiation protection in various fields. And performing his or her duties. Radiation Safety Officer Exam Syllabus.
From www.slideserve.com
PPT Training Requirements for §35.50 Radiation Safety Officers §35. Radiation Safety Officer Exam Syllabus It focuses on the subjects required to meet the. This exam assesses students’ knowledge needed for serving as a radiation safety officer (rso) at a nonmedical radioactive material license facility. And performing his or her duties as a radiation safety officer (rso) for unsealed radiopharmaceuticals, sealed sources, and x. This web page provides the. Learn how to schedule, reschedule or. Radiation Safety Officer Exam Syllabus.
From www.templateroller.com
Form DWMRC02A (RSO) Fill Out, Sign Online and Download Printable PDF Radiation Safety Officer Exam Syllabus This web page provides the. And performing his or her duties as a radiation safety officer (rso) for unsealed radiopharmaceuticals, sealed sources, and x. Online radiation safety officer training course syllabus topics that we cover during the 40 hour training course include:. Rso stands for radiological safety officer, a professional who ensures radiation protection in various fields. Learn about the. Radiation Safety Officer Exam Syllabus.
From studylib.net
radiation safety officer (rso) responsibilities Radiation Safety Officer Exam Syllabus Rso stands for radiological safety officer, a professional who ensures radiation protection in various fields. Learn about the training and experience requirements for radiation safety officer (rso) in different types of licenses and materials. It focuses on the subjects required to meet the. And performing his or her duties as a radiation safety officer (rso) for unsealed radiopharmaceuticals, sealed sources,. Radiation Safety Officer Exam Syllabus.
From www.youtube.com
Medical Physicist course Details Radiation Safety Officer Radiation Safety Officer Exam Syllabus Learn how to schedule, reschedule or cancel your exam for radiation safety officer license with nrrc and pearson vue. This web page provides the. It focuses on the subjects required to meet the. And performing his or her duties as a radiation safety officer (rso) for unsealed radiopharmaceuticals, sealed sources, and x. This exam assesses students’ knowledge needed for serving. Radiation Safety Officer Exam Syllabus.
From lexibshandie.pages.dev
Radiation Safety Officer Training 2024 Dena Morena Radiation Safety Officer Exam Syllabus And performing his or her duties as a radiation safety officer (rso) for unsealed radiopharmaceuticals, sealed sources, and x. It focuses on the subjects required to meet the. This exam assesses students’ knowledge needed for serving as a radiation safety officer (rso) at a nonmedical radioactive material license facility. Online radiation safety officer training course syllabus topics that we cover. Radiation Safety Officer Exam Syllabus.
From exominksh.blob.core.windows.net
Radiation Safety Officer Test Questions And Answers at Jo Davis blog Radiation Safety Officer Exam Syllabus This exam assesses students’ knowledge needed for serving as a radiation safety officer (rso) at a nonmedical radioactive material license facility. Online radiation safety officer training course syllabus topics that we cover during the 40 hour training course include:. And performing his or her duties as a radiation safety officer (rso) for unsealed radiopharmaceuticals, sealed sources, and x. It focuses. Radiation Safety Officer Exam Syllabus.
From browsegrades.net
Radiation Protection and Radiobiology Test Questions and Answers Radiation Safety Officer Exam Syllabus Rso stands for radiological safety officer, a professional who ensures radiation protection in various fields. This web page provides the. Online radiation safety officer training course syllabus topics that we cover during the 40 hour training course include:. Learn about the training and experience requirements for radiation safety officer (rso) in different types of licenses and materials. Learn how to. Radiation Safety Officer Exam Syllabus.
From www.radiologycourses.org
Radiation Protection Officer Course (Advanced) February 5 6 Jul 2024 Radiation Safety Officer Exam Syllabus Learn how to schedule, reschedule or cancel your exam for radiation safety officer license with nrrc and pearson vue. Learn about the training and experience requirements for radiation safety officer (rso) in different types of licenses and materials. Learn about the radiological safety officer (rso) certification exams and training courses offered by bhabha atomic research centre (barc) in. This exam. Radiation Safety Officer Exam Syllabus.
From browsegrades.net
ASNT Industrial Radiography Radiation Safety Questions And Answers Radiation Safety Officer Exam Syllabus This web page provides the. And performing his or her duties as a radiation safety officer (rso) for unsealed radiopharmaceuticals, sealed sources, and x. Learn how to schedule, reschedule or cancel your exam for radiation safety officer license with nrrc and pearson vue. Rso stands for radiological safety officer, a professional who ensures radiation protection in various fields. Online radiation. Radiation Safety Officer Exam Syllabus.
From orau.org
Radiation Safety Officer Training Course ORAU Radiation Safety Officer Exam Syllabus This exam assesses students’ knowledge needed for serving as a radiation safety officer (rso) at a nonmedical radioactive material license facility. It focuses on the subjects required to meet the. Learn about the training and experience requirements for radiation safety officer (rso) in different types of licenses and materials. Online radiation safety officer training course syllabus topics that we cover. Radiation Safety Officer Exam Syllabus.
From www.pinterest.com
Radiation Safety Officer (RSO) Course Sign Up Radiation, Safety, Signup Radiation Safety Officer Exam Syllabus Learn about the radiological safety officer (rso) certification exams and training courses offered by bhabha atomic research centre (barc) in. It focuses on the subjects required to meet the. Learn how to schedule, reschedule or cancel your exam for radiation safety officer license with nrrc and pearson vue. Online radiation safety officer training course syllabus topics that we cover during. Radiation Safety Officer Exam Syllabus.
From xrayce.com
Interventional Radiology CE Courses XRAY CE Radiation Safety Officer Exam Syllabus Online radiation safety officer training course syllabus topics that we cover during the 40 hour training course include:. Learn about the radiological safety officer (rso) certification exams and training courses offered by bhabha atomic research centre (barc) in. This web page provides the. Learn about the training and experience requirements for radiation safety officer (rso) in different types of licenses. Radiation Safety Officer Exam Syllabus.
From paulsclassroom.org
Paul's Class Room Radiation Safety Officer Exam Syllabus It focuses on the subjects required to meet the. Online radiation safety officer training course syllabus topics that we cover during the 40 hour training course include:. This exam assesses students’ knowledge needed for serving as a radiation safety officer (rso) at a nonmedical radioactive material license facility. And performing his or her duties as a radiation safety officer (rso). Radiation Safety Officer Exam Syllabus.
From studylib.net
ACRAAPM Radiation Safety Officer Resources Radiation Safety Officer Exam Syllabus Learn how to schedule, reschedule or cancel your exam for radiation safety officer license with nrrc and pearson vue. And performing his or her duties as a radiation safety officer (rso) for unsealed radiopharmaceuticals, sealed sources, and x. Rso stands for radiological safety officer, a professional who ensures radiation protection in various fields. Learn about the training and experience requirements. Radiation Safety Officer Exam Syllabus.
From www.hsestudyguide.com
Radiation Safety Officer HSE STUDY GUIDE Radiation Safety Officer Exam Syllabus It focuses on the subjects required to meet the. Learn about the radiological safety officer (rso) certification exams and training courses offered by bhabha atomic research centre (barc) in. Online radiation safety officer training course syllabus topics that we cover during the 40 hour training course include:. This web page provides the. And performing his or her duties as a. Radiation Safety Officer Exam Syllabus.