Cramer's Rule In Mathematica . Know the properties of determinants. (2) now multiply by , and use the property of. Use cramer’s rule to solve a system of three equations in three variables. In each case, there are 2 ways to compute the solutions: Truncation (in every single step) with precision of n. We have learned how to solve systems of equations in two variables and three variables, and by multiple methods: Substitution, addition, gaussian elimination, using the inverse of a matrix, and graphing. This is the essential point to explain system of equations covering cramer's rule in mathematica. How do i use mathematica to use cramer's rule for the following equations? Given a set of linear equations. Write a function implementing cramer's rule for solving a linear system m. If you want to illustrate cramer's rule, the a1, a2, a3 matrices do not need to be constructed via any loop (using lower case. In linear algebra, cramer's rule is an explicit formula for the solution of a system of linear equations with as many equations as.
from keepitreal-matrices.weebly.com
If you want to illustrate cramer's rule, the a1, a2, a3 matrices do not need to be constructed via any loop (using lower case. Use cramer’s rule to solve a system of three equations in three variables. This is the essential point to explain system of equations covering cramer's rule in mathematica. How do i use mathematica to use cramer's rule for the following equations? (2) now multiply by , and use the property of. We have learned how to solve systems of equations in two variables and three variables, and by multiple methods: Given a set of linear equations. Write a function implementing cramer's rule for solving a linear system m. Truncation (in every single step) with precision of n. In each case, there are 2 ways to compute the solutions:
Cramer's Rule Matrices, Cryptography, Cramer's Rule, and More!
Cramer's Rule In Mathematica In linear algebra, cramer's rule is an explicit formula for the solution of a system of linear equations with as many equations as. Write a function implementing cramer's rule for solving a linear system m. Given a set of linear equations. We have learned how to solve systems of equations in two variables and three variables, and by multiple methods: Truncation (in every single step) with precision of n. If you want to illustrate cramer's rule, the a1, a2, a3 matrices do not need to be constructed via any loop (using lower case. How do i use mathematica to use cramer's rule for the following equations? (2) now multiply by , and use the property of. This is the essential point to explain system of equations covering cramer's rule in mathematica. In each case, there are 2 ways to compute the solutions: Use cramer’s rule to solve a system of three equations in three variables. Know the properties of determinants. Substitution, addition, gaussian elimination, using the inverse of a matrix, and graphing. In linear algebra, cramer's rule is an explicit formula for the solution of a system of linear equations with as many equations as.
From www.numerade.com
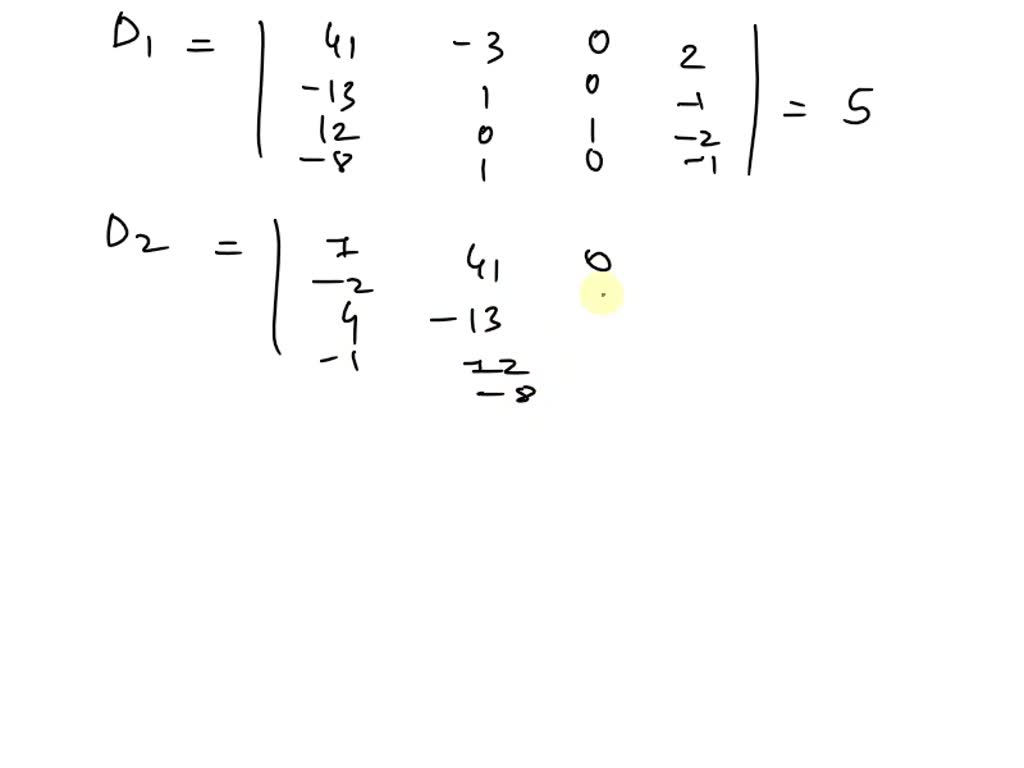
SOLVED Use Cramer's Rule to solve the following system. You must find Cramer's Rule In Mathematica We have learned how to solve systems of equations in two variables and three variables, and by multiple methods: Substitution, addition, gaussian elimination, using the inverse of a matrix, and graphing. Use cramer’s rule to solve a system of three equations in three variables. How do i use mathematica to use cramer's rule for the following equations? Write a function. Cramer's Rule In Mathematica.
From www.algebrapracticeproblems.com
How to solve systems of equations using Cramer's rule (practice) Cramer's Rule In Mathematica In each case, there are 2 ways to compute the solutions: Given a set of linear equations. Substitution, addition, gaussian elimination, using the inverse of a matrix, and graphing. This is the essential point to explain system of equations covering cramer's rule in mathematica. We have learned how to solve systems of equations in two variables and three variables, and. Cramer's Rule In Mathematica.
From www.youtube.com
How to use Cramer's Rule to Solve Systems of Linear Equations YouTube Cramer's Rule In Mathematica (2) now multiply by , and use the property of. In each case, there are 2 ways to compute the solutions: If you want to illustrate cramer's rule, the a1, a2, a3 matrices do not need to be constructed via any loop (using lower case. Write a function implementing cramer's rule for solving a linear system m. Use cramer’s rule. Cramer's Rule In Mathematica.
From www.youtube.com
matrices cramers rule YouTube Cramer's Rule In Mathematica If you want to illustrate cramer's rule, the a1, a2, a3 matrices do not need to be constructed via any loop (using lower case. (2) now multiply by , and use the property of. Use cramer’s rule to solve a system of three equations in three variables. How do i use mathematica to use cramer's rule for the following equations?. Cramer's Rule In Mathematica.
From www.youtube.com
Cramer's Rule to Solve 2x2 System of Linear Equations Algebra 2 YouTube Cramer's Rule In Mathematica Write a function implementing cramer's rule for solving a linear system m. This is the essential point to explain system of equations covering cramer's rule in mathematica. In each case, there are 2 ways to compute the solutions: Substitution, addition, gaussian elimination, using the inverse of a matrix, and graphing. Use cramer’s rule to solve a system of three equations. Cramer's Rule In Mathematica.
From www.storyofmathematics.com
Cramer's rule Explanation & Examples Cramer's Rule In Mathematica Substitution, addition, gaussian elimination, using the inverse of a matrix, and graphing. Know the properties of determinants. Write a function implementing cramer's rule for solving a linear system m. Use cramer’s rule to solve a system of three equations in three variables. (2) now multiply by , and use the property of. How do i use mathematica to use cramer's. Cramer's Rule In Mathematica.
From www.youtube.com
Cramer's Rule Solution to System of Simultaneous Equations YouTube Cramer's Rule In Mathematica In linear algebra, cramer's rule is an explicit formula for the solution of a system of linear equations with as many equations as. How do i use mathematica to use cramer's rule for the following equations? We have learned how to solve systems of equations in two variables and three variables, and by multiple methods: Substitution, addition, gaussian elimination, using. Cramer's Rule In Mathematica.
From www.slideserve.com
PPT Cramer’s Rule PowerPoint Presentation, free download ID242422 Cramer's Rule In Mathematica In each case, there are 2 ways to compute the solutions: Write a function implementing cramer's rule for solving a linear system m. This is the essential point to explain system of equations covering cramer's rule in mathematica. Truncation (in every single step) with precision of n. If you want to illustrate cramer's rule, the a1, a2, a3 matrices do. Cramer's Rule In Mathematica.
From www.youtube.com
Cramer's rule System of Linear Equations Determinants Solution of Cramer's Rule In Mathematica Use cramer’s rule to solve a system of three equations in three variables. (2) now multiply by , and use the property of. In linear algebra, cramer's rule is an explicit formula for the solution of a system of linear equations with as many equations as. Write a function implementing cramer's rule for solving a linear system m. We have. Cramer's Rule In Mathematica.
From www.slideserve.com
PPT Cramer's Rule PowerPoint Presentation, free download ID1712785 Cramer's Rule In Mathematica We have learned how to solve systems of equations in two variables and three variables, and by multiple methods: (2) now multiply by , and use the property of. How do i use mathematica to use cramer's rule for the following equations? Truncation (in every single step) with precision of n. This is the essential point to explain system of. Cramer's Rule In Mathematica.
From www.geeksforgeeks.org
Cramer's Rule Formula, 2×2, 3×3, Solved Examples, and FAQs Cramer's Rule In Mathematica Given a set of linear equations. In each case, there are 2 ways to compute the solutions: Truncation (in every single step) with precision of n. Use cramer’s rule to solve a system of three equations in three variables. This is the essential point to explain system of equations covering cramer's rule in mathematica. Substitution, addition, gaussian elimination, using the. Cramer's Rule In Mathematica.
From www.slideserve.com
PPT Cramer's Rule PowerPoint Presentation, free download ID1712785 Cramer's Rule In Mathematica Substitution, addition, gaussian elimination, using the inverse of a matrix, and graphing. If you want to illustrate cramer's rule, the a1, a2, a3 matrices do not need to be constructed via any loop (using lower case. Given a set of linear equations. In each case, there are 2 ways to compute the solutions: Truncation (in every single step) with precision. Cramer's Rule In Mathematica.
From www.slideserve.com
PPT 33 Cramer’s Rule PowerPoint Presentation, free download ID Cramer's Rule In Mathematica (2) now multiply by , and use the property of. We have learned how to solve systems of equations in two variables and three variables, and by multiple methods: Know the properties of determinants. Write a function implementing cramer's rule for solving a linear system m. Substitution, addition, gaussian elimination, using the inverse of a matrix, and graphing. This is. Cramer's Rule In Mathematica.
From www.ck12.org
Cramer's Rule CK12 Foundation Cramer's Rule In Mathematica Use cramer’s rule to solve a system of three equations in three variables. Write a function implementing cramer's rule for solving a linear system m. If you want to illustrate cramer's rule, the a1, a2, a3 matrices do not need to be constructed via any loop (using lower case. How do i use mathematica to use cramer's rule for the. Cramer's Rule In Mathematica.
From www.youtube.com
Cramer's Rule Example of 3x3 system of equations YouTube Cramer's Rule In Mathematica If you want to illustrate cramer's rule, the a1, a2, a3 matrices do not need to be constructed via any loop (using lower case. (2) now multiply by , and use the property of. In each case, there are 2 ways to compute the solutions: Given a set of linear equations. Know the properties of determinants. Use cramer’s rule to. Cramer's Rule In Mathematica.
From www.slideshare.net
4.3 cramer’s rule Cramer's Rule In Mathematica If you want to illustrate cramer's rule, the a1, a2, a3 matrices do not need to be constructed via any loop (using lower case. Know the properties of determinants. Substitution, addition, gaussian elimination, using the inverse of a matrix, and graphing. How do i use mathematica to use cramer's rule for the following equations? Use cramer’s rule to solve a. Cramer's Rule In Mathematica.
From notesformsc.org
Solving System Of Linear Equations Using Cramer's Rule Notesformsc Cramer's Rule In Mathematica This is the essential point to explain system of equations covering cramer's rule in mathematica. How do i use mathematica to use cramer's rule for the following equations? Given a set of linear equations. Substitution, addition, gaussian elimination, using the inverse of a matrix, and graphing. In linear algebra, cramer's rule is an explicit formula for the solution of a. Cramer's Rule In Mathematica.
From www.youtube.com
42 Matrices Cramer's Rule YouTube Cramer's Rule In Mathematica (2) now multiply by , and use the property of. Truncation (in every single step) with precision of n. If you want to illustrate cramer's rule, the a1, a2, a3 matrices do not need to be constructed via any loop (using lower case. We have learned how to solve systems of equations in two variables and three variables, and by. Cramer's Rule In Mathematica.
From www.geeksforgeeks.org
Cramer's Rule Formula, 2×2, 3×3, Solved Examples, and FAQs Cramer's Rule In Mathematica If you want to illustrate cramer's rule, the a1, a2, a3 matrices do not need to be constructed via any loop (using lower case. This is the essential point to explain system of equations covering cramer's rule in mathematica. Given a set of linear equations. In linear algebra, cramer's rule is an explicit formula for the solution of a system. Cramer's Rule In Mathematica.
From www.slideserve.com
PPT Cramer's Rule PowerPoint Presentation, free download ID1712785 Cramer's Rule In Mathematica We have learned how to solve systems of equations in two variables and three variables, and by multiple methods: Truncation (in every single step) with precision of n. In linear algebra, cramer's rule is an explicit formula for the solution of a system of linear equations with as many equations as. Use cramer’s rule to solve a system of three. Cramer's Rule In Mathematica.
From www.youtube.com
Cramer's rule for two variable systems YouTube Cramer's Rule In Mathematica Write a function implementing cramer's rule for solving a linear system m. In each case, there are 2 ways to compute the solutions: How do i use mathematica to use cramer's rule for the following equations? Truncation (in every single step) with precision of n. This is the essential point to explain system of equations covering cramer's rule in mathematica.. Cramer's Rule In Mathematica.
From www.youtube.com
Cramer's rule with calculator 3x3 matrix YouTube Cramer's Rule In Mathematica If you want to illustrate cramer's rule, the a1, a2, a3 matrices do not need to be constructed via any loop (using lower case. How do i use mathematica to use cramer's rule for the following equations? Write a function implementing cramer's rule for solving a linear system m. We have learned how to solve systems of equations in two. Cramer's Rule In Mathematica.
From keepitreal-matrices.weebly.com
Cramer's Rule Matrices, Cryptography, Cramer's Rule, and More! Cramer's Rule In Mathematica We have learned how to solve systems of equations in two variables and three variables, and by multiple methods: Given a set of linear equations. In linear algebra, cramer's rule is an explicit formula for the solution of a system of linear equations with as many equations as. Know the properties of determinants. Use cramer’s rule to solve a system. Cramer's Rule In Mathematica.
From www.shutterstock.com
Cramers Rule 2x2 Matrix Formula Stock Vector (Royalty Free) 1929328442 Cramer's Rule In Mathematica How do i use mathematica to use cramer's rule for the following equations? Truncation (in every single step) with precision of n. Write a function implementing cramer's rule for solving a linear system m. In linear algebra, cramer's rule is an explicit formula for the solution of a system of linear equations with as many equations as. If you want. Cramer's Rule In Mathematica.
From www.electricaltechnology.org
Cramer's Rule Calculator 2 and 3 Equations System Solved Examples Cramer's Rule In Mathematica How do i use mathematica to use cramer's rule for the following equations? If you want to illustrate cramer's rule, the a1, a2, a3 matrices do not need to be constructed via any loop (using lower case. Know the properties of determinants. (2) now multiply by , and use the property of. Given a set of linear equations. We have. Cramer's Rule In Mathematica.
From www.youtube.com
Cramer's Rule 3x3 Linear System YouTube Cramer's Rule In Mathematica (2) now multiply by , and use the property of. This is the essential point to explain system of equations covering cramer's rule in mathematica. If you want to illustrate cramer's rule, the a1, a2, a3 matrices do not need to be constructed via any loop (using lower case. Know the properties of determinants. Given a set of linear equations.. Cramer's Rule In Mathematica.
From www.youtube.com
Cramer's Rule with MATLAB code YouTube Cramer's Rule In Mathematica In each case, there are 2 ways to compute the solutions: (2) now multiply by , and use the property of. Write a function implementing cramer's rule for solving a linear system m. Given a set of linear equations. Use cramer’s rule to solve a system of three equations in three variables. This is the essential point to explain system. Cramer's Rule In Mathematica.
From www.youtube.com
17.6 Cramer's Rule (Basic Mathematics) YouTube Cramer's Rule In Mathematica Given a set of linear equations. (2) now multiply by , and use the property of. We have learned how to solve systems of equations in two variables and three variables, and by multiple methods: Know the properties of determinants. Truncation (in every single step) with precision of n. If you want to illustrate cramer's rule, the a1, a2, a3. Cramer's Rule In Mathematica.
From slidetodoc.com
3 7 Evaluate Determinants Apply Cramers Rule Associated Cramer's Rule In Mathematica This is the essential point to explain system of equations covering cramer's rule in mathematica. Know the properties of determinants. How do i use mathematica to use cramer's rule for the following equations? Use cramer’s rule to solve a system of three equations in three variables. (2) now multiply by , and use the property of. In linear algebra, cramer's. Cramer's Rule In Mathematica.
From www.electricaltechnology.org
Cramer's Rule Calculator 2 and 3 Equations System Solved Examples Cramer's Rule In Mathematica In each case, there are 2 ways to compute the solutions: This is the essential point to explain system of equations covering cramer's rule in mathematica. If you want to illustrate cramer's rule, the a1, a2, a3 matrices do not need to be constructed via any loop (using lower case. Substitution, addition, gaussian elimination, using the inverse of a matrix,. Cramer's Rule In Mathematica.
From www.slideserve.com
PPT 33 Cramer’s Rule PowerPoint Presentation, free download ID Cramer's Rule In Mathematica This is the essential point to explain system of equations covering cramer's rule in mathematica. Truncation (in every single step) with precision of n. We have learned how to solve systems of equations in two variables and three variables, and by multiple methods: In linear algebra, cramer's rule is an explicit formula for the solution of a system of linear. Cramer's Rule In Mathematica.
From www.youtube.com
Solving Systems Using Cramer's Rule YouTube Cramer's Rule In Mathematica Know the properties of determinants. Use cramer’s rule to solve a system of three equations in three variables. Write a function implementing cramer's rule for solving a linear system m. (2) now multiply by , and use the property of. If you want to illustrate cramer's rule, the a1, a2, a3 matrices do not need to be constructed via any. Cramer's Rule In Mathematica.
From www.nagwa.com
Question Video Using Cramer’s Rule Nagwa Cramer's Rule In Mathematica Truncation (in every single step) with precision of n. Write a function implementing cramer's rule for solving a linear system m. Use cramer’s rule to solve a system of three equations in three variables. Substitution, addition, gaussian elimination, using the inverse of a matrix, and graphing. If you want to illustrate cramer's rule, the a1, a2, a3 matrices do not. Cramer's Rule In Mathematica.
From slidetodoc.com
Cramers Rule Applying Determinants to solve Systems of Cramer's Rule In Mathematica Write a function implementing cramer's rule for solving a linear system m. This is the essential point to explain system of equations covering cramer's rule in mathematica. Substitution, addition, gaussian elimination, using the inverse of a matrix, and graphing. (2) now multiply by , and use the property of. Given a set of linear equations. How do i use mathematica. Cramer's Rule In Mathematica.
From www.slideshare.net
Cramers rule Cramer's Rule In Mathematica In linear algebra, cramer's rule is an explicit formula for the solution of a system of linear equations with as many equations as. Know the properties of determinants. Truncation (in every single step) with precision of n. Given a set of linear equations. In each case, there are 2 ways to compute the solutions: This is the essential point to. Cramer's Rule In Mathematica.