What Is The Range Of The Function F X 2 6X 3 . F (x) = x2 + 6x + 3 f ( x) = x 2 + 6 x + 3. It also shows plots of the function and illustrates the domain and range on a number line to enhance your. Enter the formula for which you want to calculate the domain and range. Find the range f (x)=x^2+6x+3. Get full access to all solution steps for any math problem The range of a function is the set of numbers that the function can produce. Find the domain and range of \(f(x)=2x^3−x\). The range is the set of all valid y y values. In this case, there is no real number that makes the. Use the graph to find the. The domain and range calculator finds all possible x and y values for a. Finding the domain and range using toolkit functions. Wolfram|alpha is a great tool for finding the domain and range of a function. The domain of the expression is all real numbers except where the expression is undefined.
from www.chegg.com
Use the graph to find the. Find the domain and range of \(f(x)=2x^3−x\). It also shows plots of the function and illustrates the domain and range on a number line to enhance your. Find the range f (x)=x^2+6x+3. The range of a function is the set of numbers that the function can produce. The range is the set of all valid y y values. Get full access to all solution steps for any math problem F (x) = x2 + 6x + 3 f ( x) = x 2 + 6 x + 3. In this case, there is no real number that makes the. Finding the domain and range using toolkit functions.
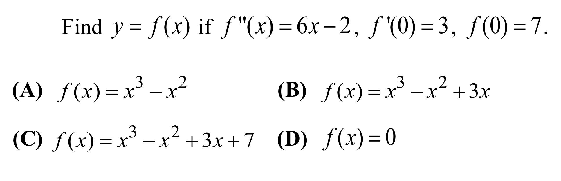
Solved Find y = f(x) if f "(x) = 6x2, f(0) = 3, f(0) = 7.
What Is The Range Of The Function F X 2 6X 3 In this case, there is no real number that makes the. The domain and range calculator finds all possible x and y values for a. Find the domain and range of \(f(x)=2x^3−x\). It also shows plots of the function and illustrates the domain and range on a number line to enhance your. The range of a function is the set of numbers that the function can produce. In this case, there is no real number that makes the. F (x) = x2 + 6x + 3 f ( x) = x 2 + 6 x + 3. Use the graph to find the. The range is the set of all valid y y values. Find the range f (x)=x^2+6x+3. Wolfram|alpha is a great tool for finding the domain and range of a function. The domain of the expression is all real numbers except where the expression is undefined. Get full access to all solution steps for any math problem Finding the domain and range using toolkit functions. Enter the formula for which you want to calculate the domain and range.
From www.youtube.com
Graph a Linear Function f(x) = 3x 2 YouTube What Is The Range Of The Function F X 2 6X 3 The domain of the expression is all real numbers except where the expression is undefined. The range of a function is the set of numbers that the function can produce. Find the range f (x)=x^2+6x+3. Finding the domain and range using toolkit functions. The range is the set of all valid y y values. In this case, there is no. What Is The Range Of The Function F X 2 6X 3.
From www.coursehero.com
[Solved] What is the range of the function f(x)=3x+2 over the interval What Is The Range Of The Function F X 2 6X 3 It also shows plots of the function and illustrates the domain and range on a number line to enhance your. The range of a function is the set of numbers that the function can produce. F (x) = x2 + 6x + 3 f ( x) = x 2 + 6 x + 3. The domain and range calculator finds. What Is The Range Of The Function F X 2 6X 3.
From brainly.com
what is the range of the function f(x)=2x+1? a) all real numbers b What Is The Range Of The Function F X 2 6X 3 Enter the formula for which you want to calculate the domain and range. Get full access to all solution steps for any math problem Find the range f (x)=x^2+6x+3. F (x) = x2 + 6x + 3 f ( x) = x 2 + 6 x + 3. The range is the set of all valid y y values. Wolfram|alpha. What Is The Range Of The Function F X 2 6X 3.
From www.youtube.com
How to Find the Intervals where the Function f(x) = x^2 6x is What Is The Range Of The Function F X 2 6X 3 The range of a function is the set of numbers that the function can produce. F (x) = x2 + 6x + 3 f ( x) = x 2 + 6 x + 3. Finding the domain and range using toolkit functions. Enter the formula for which you want to calculate the domain and range. Find the domain and range. What Is The Range Of The Function F X 2 6X 3.
From brainly.com
What is the range of the function f(x) = 3x2 + 6x 8? NO {yly 21 What Is The Range Of The Function F X 2 6X 3 It also shows plots of the function and illustrates the domain and range on a number line to enhance your. Use the graph to find the. Wolfram|alpha is a great tool for finding the domain and range of a function. The range is the set of all valid y y values. Find the range f (x)=x^2+6x+3. The domain and range. What Is The Range Of The Function F X 2 6X 3.
From www.teachoo.com
Ex 2.3, 5 Find the range of function f(x) = 2 3x, x ∈ R, x > 0 What Is The Range Of The Function F X 2 6X 3 The domain of the expression is all real numbers except where the expression is undefined. Enter the formula for which you want to calculate the domain and range. It also shows plots of the function and illustrates the domain and range on a number line to enhance your. Wolfram|alpha is a great tool for finding the domain and range of. What Is The Range Of The Function F X 2 6X 3.
From brainly.com
The graph of the function, f(x)=2x^2+6x3,opens up or down and has a What Is The Range Of The Function F X 2 6X 3 Finding the domain and range using toolkit functions. Find the domain and range of \(f(x)=2x^3−x\). Get full access to all solution steps for any math problem The range is the set of all valid y y values. F (x) = x2 + 6x + 3 f ( x) = x 2 + 6 x + 3. Wolfram|alpha is a great. What Is The Range Of The Function F X 2 6X 3.
From www.chegg.com
Solved A quadratic function f is given. f(x) = x2 + 6x + 3 What Is The Range Of The Function F X 2 6X 3 Find the range f (x)=x^2+6x+3. It also shows plots of the function and illustrates the domain and range on a number line to enhance your. The domain of the expression is all real numbers except where the expression is undefined. The range of a function is the set of numbers that the function can produce. Use the graph to find. What Is The Range Of The Function F X 2 6X 3.
From www.chegg.com
Solved Find the average value of the function f(x) = 6x 3x2 What Is The Range Of The Function F X 2 6X 3 Wolfram|alpha is a great tool for finding the domain and range of a function. F (x) = x2 + 6x + 3 f ( x) = x 2 + 6 x + 3. Finding the domain and range using toolkit functions. Enter the formula for which you want to calculate the domain and range. The range of a function is. What Is The Range Of The Function F X 2 6X 3.
From www.teachoo.com
Example 22 function f is defined by f(x) = { 1x, 1, x + 1 What Is The Range Of The Function F X 2 6X 3 Enter the formula for which you want to calculate the domain and range. The range of a function is the set of numbers that the function can produce. It also shows plots of the function and illustrates the domain and range on a number line to enhance your. F (x) = x2 + 6x + 3 f ( x) =. What Is The Range Of The Function F X 2 6X 3.
From socratic.org
How do you graph y= 6x^2 and show the vertex, axis of symmetry, and x What Is The Range Of The Function F X 2 6X 3 Finding the domain and range using toolkit functions. The domain and range calculator finds all possible x and y values for a. The range is the set of all valid y y values. It also shows plots of the function and illustrates the domain and range on a number line to enhance your. Enter the formula for which you want. What Is The Range Of The Function F X 2 6X 3.
From brainly.com
Which is the graph of the function f(x) = x^3 + 6x^2 + 11x + 6 What Is The Range Of The Function F X 2 6X 3 Find the range f (x)=x^2+6x+3. Use the graph to find the. Enter the formula for which you want to calculate the domain and range. It also shows plots of the function and illustrates the domain and range on a number line to enhance your. Get full access to all solution steps for any math problem Find the domain and range. What Is The Range Of The Function F X 2 6X 3.
From socratic.org
How do use the first derivative test to determine the local extrema f(x What Is The Range Of The Function F X 2 6X 3 The domain and range calculator finds all possible x and y values for a. Finding the domain and range using toolkit functions. Enter the formula for which you want to calculate the domain and range. Find the range f (x)=x^2+6x+3. The range of a function is the set of numbers that the function can produce. Wolfram|alpha is a great tool. What Is The Range Of The Function F X 2 6X 3.
From brainly.com
What is the range of the function f(x) = 2(6^x) + 3? What Is The Range Of The Function F X 2 6X 3 The range of a function is the set of numbers that the function can produce. Use the graph to find the. The domain and range calculator finds all possible x and y values for a. Find the domain and range of \(f(x)=2x^3−x\). F (x) = x2 + 6x + 3 f ( x) = x 2 + 6 x +. What Is The Range Of The Function F X 2 6X 3.
From www.chegg.com
Solved For the following function f(x) = 3x^2 + 6x 5. What Is The Range Of The Function F X 2 6X 3 Wolfram|alpha is a great tool for finding the domain and range of a function. Use the graph to find the. Find the range f (x)=x^2+6x+3. In this case, there is no real number that makes the. It also shows plots of the function and illustrates the domain and range on a number line to enhance your. The range of a. What Is The Range Of The Function F X 2 6X 3.
From askfilo.com
Find the domain and range function f(x)=x2−4x+3x2−3x+2 . Sol. y=f(x)=(x−3.. What Is The Range Of The Function F X 2 6X 3 Finding the domain and range using toolkit functions. Enter the formula for which you want to calculate the domain and range. The range is the set of all valid y y values. The range of a function is the set of numbers that the function can produce. The domain of the expression is all real numbers except where the expression. What Is The Range Of The Function F X 2 6X 3.
From byjus.com
find range of the function y = 3x^2 6x + 11 , if x e [ 1,5) What Is The Range Of The Function F X 2 6X 3 Finding the domain and range using toolkit functions. The range of a function is the set of numbers that the function can produce. Wolfram|alpha is a great tool for finding the domain and range of a function. Find the range f (x)=x^2+6x+3. Use the graph to find the. Get full access to all solution steps for any math problem In. What Is The Range Of The Function F X 2 6X 3.
From brainly.com
What is the range of the function f(x) = x + 5? answer choices are in What Is The Range Of The Function F X 2 6X 3 Get full access to all solution steps for any math problem Find the range f (x)=x^2+6x+3. Use the graph to find the. Enter the formula for which you want to calculate the domain and range. Finding the domain and range using toolkit functions. It also shows plots of the function and illustrates the domain and range on a number line. What Is The Range Of The Function F X 2 6X 3.
From www.coursehero.com
[Solved] What is the range of the function f(x) = 6x 2 over the What Is The Range Of The Function F X 2 6X 3 F (x) = x2 + 6x + 3 f ( x) = x 2 + 6 x + 3. Wolfram|alpha is a great tool for finding the domain and range of a function. The range of a function is the set of numbers that the function can produce. Finding the domain and range using toolkit functions. In this case, there. What Is The Range Of The Function F X 2 6X 3.
From www.coursehero.com
[Solved] What is the range of the function f(x) = 3x + 2 over the What Is The Range Of The Function F X 2 6X 3 Find the range f (x)=x^2+6x+3. Enter the formula for which you want to calculate the domain and range. Use the graph to find the. The range of a function is the set of numbers that the function can produce. Get full access to all solution steps for any math problem The domain and range calculator finds all possible x and. What Is The Range Of The Function F X 2 6X 3.
From brainly.com
What is the range of the function f(x) = 2(6^x) + 3? What Is The Range Of The Function F X 2 6X 3 Finding the domain and range using toolkit functions. Enter the formula for which you want to calculate the domain and range. F (x) = x2 + 6x + 3 f ( x) = x 2 + 6 x + 3. The domain of the expression is all real numbers except where the expression is undefined. Get full access to all. What Is The Range Of The Function F X 2 6X 3.
From www.teachoo.com
Ex 2.3, 5 Find the range of function f(x) = 2 3x, x ∈ R, x > 0 What Is The Range Of The Function F X 2 6X 3 Find the range f (x)=x^2+6x+3. Use the graph to find the. The domain of the expression is all real numbers except where the expression is undefined. Finding the domain and range using toolkit functions. Find the domain and range of \(f(x)=2x^3−x\). In this case, there is no real number that makes the. It also shows plots of the function and. What Is The Range Of The Function F X 2 6X 3.
From byjus.com
solve for 'x' (x^2 6x+3) (x^2 6x 2)≥slant 50 What Is The Range Of The Function F X 2 6X 3 Find the range f (x)=x^2+6x+3. The domain of the expression is all real numbers except where the expression is undefined. Enter the formula for which you want to calculate the domain and range. It also shows plots of the function and illustrates the domain and range on a number line to enhance your. Find the domain and range of \(f(x)=2x^3−x\).. What Is The Range Of The Function F X 2 6X 3.
From www.chegg.com
Solved Graph the functions f(x) = *2 + 6x 3 and g(x) = What Is The Range Of The Function F X 2 6X 3 Enter the formula for which you want to calculate the domain and range. It also shows plots of the function and illustrates the domain and range on a number line to enhance your. Use the graph to find the. Wolfram|alpha is a great tool for finding the domain and range of a function. Get full access to all solution steps. What Is The Range Of The Function F X 2 6X 3.
From www.teachoo.com
Misc 3 f(x) = x2 3x + 2, find f(f(x)) Chapter 1 Miscellaneous What Is The Range Of The Function F X 2 6X 3 The range is the set of all valid y y values. Finding the domain and range using toolkit functions. Enter the formula for which you want to calculate the domain and range. It also shows plots of the function and illustrates the domain and range on a number line to enhance your. F (x) = x2 + 6x + 3. What Is The Range Of The Function F X 2 6X 3.
From www.coursehero.com
[Solved] 19. Graph the function f (x) =2x+3). Give the domain and What Is The Range Of The Function F X 2 6X 3 Enter the formula for which you want to calculate the domain and range. Find the domain and range of \(f(x)=2x^3−x\). Wolfram|alpha is a great tool for finding the domain and range of a function. Finding the domain and range using toolkit functions. Get full access to all solution steps for any math problem The range is the set of all. What Is The Range Of The Function F X 2 6X 3.
From www.coursehero.com
[Solved] What is the range of the function f(x) = 6x 3 over the What Is The Range Of The Function F X 2 6X 3 The domain and range calculator finds all possible x and y values for a. Find the domain and range of \(f(x)=2x^3−x\). Get full access to all solution steps for any math problem The range of a function is the set of numbers that the function can produce. In this case, there is no real number that makes the. Use the. What Is The Range Of The Function F X 2 6X 3.
From www.teachoo.com
Example 26 Find maximum and minimum values of f(x) = x2 What Is The Range Of The Function F X 2 6X 3 In this case, there is no real number that makes the. Find the range f (x)=x^2+6x+3. Get full access to all solution steps for any math problem The domain of the expression is all real numbers except where the expression is undefined. The domain and range calculator finds all possible x and y values for a. It also shows plots. What Is The Range Of The Function F X 2 6X 3.
From www.youtube.com
If f(x) = x^2 6x + 3 / x 1, what is f(1) ? YouTube What Is The Range Of The Function F X 2 6X 3 In this case, there is no real number that makes the. F (x) = x2 + 6x + 3 f ( x) = x 2 + 6 x + 3. Get full access to all solution steps for any math problem Use the graph to find the. Finding the domain and range using toolkit functions. Find the range f (x)=x^2+6x+3.. What Is The Range Of The Function F X 2 6X 3.
From www.chegg.com
Solved Find y = f(x) if f "(x) = 6x2, f(0) = 3, f(0) = 7. What Is The Range Of The Function F X 2 6X 3 Find the range f (x)=x^2+6x+3. Get full access to all solution steps for any math problem Wolfram|alpha is a great tool for finding the domain and range of a function. F (x) = x2 + 6x + 3 f ( x) = x 2 + 6 x + 3. It also shows plots of the function and illustrates the domain. What Is The Range Of The Function F X 2 6X 3.
From www.wikihow.com
How to Find the Range of a Function Tutorial + Examples What Is The Range Of The Function F X 2 6X 3 The range is the set of all valid y y values. Wolfram|alpha is a great tool for finding the domain and range of a function. Find the domain and range of \(f(x)=2x^3−x\). Use the graph to find the. F (x) = x2 + 6x + 3 f ( x) = x 2 + 6 x + 3. Get full access. What Is The Range Of The Function F X 2 6X 3.
From www.toppr.com
Domain and range of f(x) = x 3x 3 are respectively What Is The Range Of The Function F X 2 6X 3 Wolfram|alpha is a great tool for finding the domain and range of a function. Use the graph to find the. F (x) = x2 + 6x + 3 f ( x) = x 2 + 6 x + 3. It also shows plots of the function and illustrates the domain and range on a number line to enhance your. The. What Is The Range Of The Function F X 2 6X 3.
From www.chegg.com
Solved What are the features of the function f(x) = 2 log2 What Is The Range Of The Function F X 2 6X 3 The domain of the expression is all real numbers except where the expression is undefined. The domain and range calculator finds all possible x and y values for a. Find the domain and range of \(f(x)=2x^3−x\). Finding the domain and range using toolkit functions. It also shows plots of the function and illustrates the domain and range on a number. What Is The Range Of The Function F X 2 6X 3.
From www.chegg.com
Solved What is the range of the function f(x) = 3x + 2 over What Is The Range Of The Function F X 2 6X 3 Use the graph to find the. The domain and range calculator finds all possible x and y values for a. Finding the domain and range using toolkit functions. Enter the formula for which you want to calculate the domain and range. Find the domain and range of \(f(x)=2x^3−x\). In this case, there is no real number that makes the. Wolfram|alpha. What Is The Range Of The Function F X 2 6X 3.
From www.mashupmath.com
Parent Functions and Parent Graphs Explained — Mashup Math What Is The Range Of The Function F X 2 6X 3 It also shows plots of the function and illustrates the domain and range on a number line to enhance your. F (x) = x2 + 6x + 3 f ( x) = x 2 + 6 x + 3. Use the graph to find the. The range is the set of all valid y y values. Wolfram|alpha is a great. What Is The Range Of The Function F X 2 6X 3.