Pi Af Equation Is Not Set . Pi asset framework is a tool that allows you to model either physical or logical objects in the way that best suits the way you wish to view those assets and the data. When i try to evaluate, it gives me. In this talk we'll discuss how to make your calculations. If you are using an older version of af, then. Performing calculations and identifying events is key to shedding light on your process. In this lab, you will learn some tips and tricks on using the pi system explorer (pse) and the pi builder. I am using pi af, and i want to build a set of equations using variables to find a cost and put it into a pi tag. These are things that you. If you are using af 2018 then some of the filtering you want can be done using the newer recordedvalues and related functions. The substitution parameters in pi analysis framework (pi af) and pi event frames (pi ef) are very powerful for creating a pi af structure that.
from www.reddit.com
If you are using af 2018 then some of the filtering you want can be done using the newer recordedvalues and related functions. These are things that you. Pi asset framework is a tool that allows you to model either physical or logical objects in the way that best suits the way you wish to view those assets and the data. I am using pi af, and i want to build a set of equations using variables to find a cost and put it into a pi tag. When i try to evaluate, it gives me. In this lab, you will learn some tips and tricks on using the pi system explorer (pse) and the pi builder. Performing calculations and identifying events is key to shedding light on your process. The substitution parameters in pi analysis framework (pi af) and pi event frames (pi ef) are very powerful for creating a pi af structure that. If you are using an older version of af, then. In this talk we'll discuss how to make your calculations.
Trig equation, my solutions are pi/2,pi,3pi/2 Can someone verify if it
Pi Af Equation Is Not Set The substitution parameters in pi analysis framework (pi af) and pi event frames (pi ef) are very powerful for creating a pi af structure that. In this lab, you will learn some tips and tricks on using the pi system explorer (pse) and the pi builder. In this talk we'll discuss how to make your calculations. The substitution parameters in pi analysis framework (pi af) and pi event frames (pi ef) are very powerful for creating a pi af structure that. When i try to evaluate, it gives me. Pi asset framework is a tool that allows you to model either physical or logical objects in the way that best suits the way you wish to view those assets and the data. Performing calculations and identifying events is key to shedding light on your process. If you are using an older version of af, then. I am using pi af, and i want to build a set of equations using variables to find a cost and put it into a pi tag. If you are using af 2018 then some of the filtering you want can be done using the newer recordedvalues and related functions. These are things that you.
From www.bbc.co.uk
What is pi? Circumference of a circle KS3 Maths BBC Bitesize Pi Af Equation Is Not Set Performing calculations and identifying events is key to shedding light on your process. These are things that you. In this talk we'll discuss how to make your calculations. If you are using an older version of af, then. If you are using af 2018 then some of the filtering you want can be done using the newer recordedvalues and related. Pi Af Equation Is Not Set.
From www.toppr.com
19 General solution of the equation ( 3 sqrt { 3 } sin ^ { 3 } x + cos Pi Af Equation Is Not Set Pi asset framework is a tool that allows you to model either physical or logical objects in the way that best suits the way you wish to view those assets and the data. If you are using an older version of af, then. If you are using af 2018 then some of the filtering you want can be done using. Pi Af Equation Is Not Set.
From www.chemicalslearning.com
Buckingham Pi Theorem Equation Derivation Pi Af Equation Is Not Set If you are using af 2018 then some of the filtering you want can be done using the newer recordedvalues and related functions. The substitution parameters in pi analysis framework (pi af) and pi event frames (pi ef) are very powerful for creating a pi af structure that. Performing calculations and identifying events is key to shedding light on your. Pi Af Equation Is Not Set.
From www.youtube.com
Find CF and PI Differential Equations of Higher Order Mathematics2 Pi Af Equation Is Not Set I am using pi af, and i want to build a set of equations using variables to find a cost and put it into a pi tag. If you are using af 2018 then some of the filtering you want can be done using the newer recordedvalues and related functions. When i try to evaluate, it gives me. In this. Pi Af Equation Is Not Set.
From www.youtube.com
How to find CF and PI of a linear differential equation Some Pi Af Equation Is Not Set If you are using af 2018 then some of the filtering you want can be done using the newer recordedvalues and related functions. I am using pi af, and i want to build a set of equations using variables to find a cost and put it into a pi tag. In this talk we'll discuss how to make your calculations.. Pi Af Equation Is Not Set.
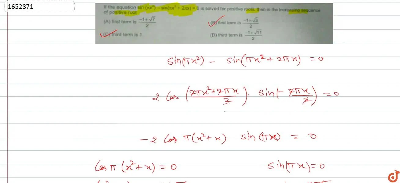
From www.doubtnut.com
if the equation sin (pi x^2) sin(pi x^2 + 2 pi x) = 0 is solved for Pi Af Equation Is Not Set In this lab, you will learn some tips and tricks on using the pi system explorer (pse) and the pi builder. When i try to evaluate, it gives me. If you are using af 2018 then some of the filtering you want can be done using the newer recordedvalues and related functions. These are things that you. Performing calculations and. Pi Af Equation Is Not Set.
From www.youtube.com
JEE Advanced THEORY OF EQUATIONS PART 2 SIGMA AND PI NOTATION YouTube Pi Af Equation Is Not Set In this talk we'll discuss how to make your calculations. When i try to evaluate, it gives me. The substitution parameters in pi analysis framework (pi af) and pi event frames (pi ef) are very powerful for creating a pi af structure that. Performing calculations and identifying events is key to shedding light on your process. These are things that. Pi Af Equation Is Not Set.
From cewndufl.blob.core.windows.net
Pi On Equations at William Crawford blog Pi Af Equation Is Not Set These are things that you. When i try to evaluate, it gives me. If you are using af 2018 then some of the filtering you want can be done using the newer recordedvalues and related functions. If you are using an older version of af, then. Pi asset framework is a tool that allows you to model either physical or. Pi Af Equation Is Not Set.
From www.masterorganicchemistry.com
Isoelectric Points of Amino Acids (and How To Calculate Them) Master Pi Af Equation Is Not Set If you are using af 2018 then some of the filtering you want can be done using the newer recordedvalues and related functions. I am using pi af, and i want to build a set of equations using variables to find a cost and put it into a pi tag. When i try to evaluate, it gives me. These are. Pi Af Equation Is Not Set.
From www.toppr.com
14 The complete solution of the equation ( 1 + 2 csc x ) 2( quad 15 Pi Af Equation Is Not Set In this talk we'll discuss how to make your calculations. Pi asset framework is a tool that allows you to model either physical or logical objects in the way that best suits the way you wish to view those assets and the data. If you are using an older version of af, then. These are things that you. If you. Pi Af Equation Is Not Set.
From theconversation.com
Pi and its part in the most beautiful formula in mathematics Pi Af Equation Is Not Set I am using pi af, and i want to build a set of equations using variables to find a cost and put it into a pi tag. Pi asset framework is a tool that allows you to model either physical or logical objects in the way that best suits the way you wish to view those assets and the data.. Pi Af Equation Is Not Set.
From www.chegg.com
Solved 7. [/1 Points] DETAILS ZILLDIFFEQ9 1.2.022.EP. Pi Af Equation Is Not Set I am using pi af, and i want to build a set of equations using variables to find a cost and put it into a pi tag. These are things that you. Pi asset framework is a tool that allows you to model either physical or logical objects in the way that best suits the way you wish to view. Pi Af Equation Is Not Set.
From www.pinterest.com
An artist painted pi to 2,500 decimal places to make math more Pi Af Equation Is Not Set If you are using an older version of af, then. In this talk we'll discuss how to make your calculations. In this lab, you will learn some tips and tricks on using the pi system explorer (pse) and the pi builder. When i try to evaluate, it gives me. The substitution parameters in pi analysis framework (pi af) and pi. Pi Af Equation Is Not Set.
From control.com
Different PID Equations Closedloop Control Systems Textbook Pi Af Equation Is Not Set If you are using af 2018 then some of the filtering you want can be done using the newer recordedvalues and related functions. In this talk we'll discuss how to make your calculations. The substitution parameters in pi analysis framework (pi af) and pi event frames (pi ef) are very powerful for creating a pi af structure that. In this. Pi Af Equation Is Not Set.
From tex.stackexchange.com
symbols How to get n=1 under Product character (\prod or \Pi) TeX Pi Af Equation Is Not Set These are things that you. I am using pi af, and i want to build a set of equations using variables to find a cost and put it into a pi tag. If you are using af 2018 then some of the filtering you want can be done using the newer recordedvalues and related functions. In this lab, you will. Pi Af Equation Is Not Set.
From www.reddit.com
Trig equation, my solutions are pi/2,pi,3pi/2 Can someone verify if it Pi Af Equation Is Not Set When i try to evaluate, it gives me. Performing calculations and identifying events is key to shedding light on your process. Pi asset framework is a tool that allows you to model either physical or logical objects in the way that best suits the way you wish to view those assets and the data. These are things that you. If. Pi Af Equation Is Not Set.
From www.liambalton.com
Make Pi Equation About Liam Pi Af Equation Is Not Set If you are using af 2018 then some of the filtering you want can be done using the newer recordedvalues and related functions. In this talk we'll discuss how to make your calculations. In this lab, you will learn some tips and tricks on using the pi system explorer (pse) and the pi builder. If you are using an older. Pi Af Equation Is Not Set.
From www.numerade.com
SOLVEDIn a branching process having X_{0}=1 and \mu>1, prove that \pi Pi Af Equation Is Not Set If you are using af 2018 then some of the filtering you want can be done using the newer recordedvalues and related functions. In this talk we'll discuss how to make your calculations. If you are using an older version of af, then. When i try to evaluate, it gives me. In this lab, you will learn some tips and. Pi Af Equation Is Not Set.
From www.youtube.com
Second Order Differential Equations Where the PI and CF have a Term in Pi Af Equation Is Not Set Pi asset framework is a tool that allows you to model either physical or logical objects in the way that best suits the way you wish to view those assets and the data. In this lab, you will learn some tips and tricks on using the pi system explorer (pse) and the pi builder. Performing calculations and identifying events is. Pi Af Equation Is Not Set.
From www.youtube.com
OSIsoft How to Setup Rollup Analyses with PI AF [PI AF 2014 v2.6.0. Pi Af Equation Is Not Set Performing calculations and identifying events is key to shedding light on your process. These are things that you. If you are using an older version of af, then. I am using pi af, and i want to build a set of equations using variables to find a cost and put it into a pi tag. The substitution parameters in pi. Pi Af Equation Is Not Set.
From www.youtube.com
24. CF and PI Problem7 Homogeneous Linear Equation with Constant Pi Af Equation Is Not Set If you are using an older version of af, then. Pi asset framework is a tool that allows you to model either physical or logical objects in the way that best suits the way you wish to view those assets and the data. If you are using af 2018 then some of the filtering you want can be done using. Pi Af Equation Is Not Set.
From www.toppr.com
"The general solution of equation ( tan x + cot x = 2 ) isn( begin Pi Af Equation Is Not Set When i try to evaluate, it gives me. Performing calculations and identifying events is key to shedding light on your process. If you are using an older version of af, then. The substitution parameters in pi analysis framework (pi af) and pi event frames (pi ef) are very powerful for creating a pi af structure that. If you are using. Pi Af Equation Is Not Set.
From www.nagwa.com
Video Using Set Notation to Express Solutions of Linear Equations Nagwa Pi Af Equation Is Not Set Pi asset framework is a tool that allows you to model either physical or logical objects in the way that best suits the way you wish to view those assets and the data. These are things that you. When i try to evaluate, it gives me. If you are using an older version of af, then. In this lab, you. Pi Af Equation Is Not Set.
From matheinfos.blogspot.com
Math Formula Using Pi Mathematics Info Pi Af Equation Is Not Set If you are using an older version of af, then. If you are using af 2018 then some of the filtering you want can be done using the newer recordedvalues and related functions. In this talk we'll discuss how to make your calculations. I am using pi af, and i want to build a set of equations using variables to. Pi Af Equation Is Not Set.
From www.toppr.com
Consider the equation, \csc \left(\frac{\pi}{4}+x\right)+\csc \left Pi Af Equation Is Not Set Performing calculations and identifying events is key to shedding light on your process. These are things that you. The substitution parameters in pi analysis framework (pi af) and pi event frames (pi ef) are very powerful for creating a pi af structure that. If you are using an older version of af, then. When i try to evaluate, it gives. Pi Af Equation Is Not Set.
From www.toppr.com
A particle executes SHM according to equation x = 10 cos[2pi t + pi / 2 Pi Af Equation Is Not Set If you are using af 2018 then some of the filtering you want can be done using the newer recordedvalues and related functions. The substitution parameters in pi analysis framework (pi af) and pi event frames (pi ef) are very powerful for creating a pi af structure that. If you are using an older version of af, then. When i. Pi Af Equation Is Not Set.
From www.toppr.com
Write the equation of the line passing through (2, pi/2),(3, pi/3) in Pi Af Equation Is Not Set These are things that you. In this talk we'll discuss how to make your calculations. Pi asset framework is a tool that allows you to model either physical or logical objects in the way that best suits the way you wish to view those assets and the data. In this lab, you will learn some tips and tricks on using. Pi Af Equation Is Not Set.
From www.toppr.com
Write the equation of the line passing through (2, pi/2),(3, pi/3) in Pi Af Equation Is Not Set These are things that you. If you are using an older version of af, then. If you are using af 2018 then some of the filtering you want can be done using the newer recordedvalues and related functions. In this talk we'll discuss how to make your calculations. Pi asset framework is a tool that allows you to model either. Pi Af Equation Is Not Set.
From www.yawin.in
Exact differential equations Yawin Pi Af Equation Is Not Set If you are using af 2018 then some of the filtering you want can be done using the newer recordedvalues and related functions. I am using pi af, and i want to build a set of equations using variables to find a cost and put it into a pi tag. In this lab, you will learn some tips and tricks. Pi Af Equation Is Not Set.
From www.youtube.com
Sketch curve whose parametric equations are x = sin 1/2 t, y= cos 1/2 t Pi Af Equation Is Not Set If you are using an older version of af, then. The substitution parameters in pi analysis framework (pi af) and pi event frames (pi ef) are very powerful for creating a pi af structure that. When i try to evaluate, it gives me. In this talk we'll discuss how to make your calculations. These are things that you. Pi asset. Pi Af Equation Is Not Set.
From owlcation.com
How to Calculate the Area of Circle in Terms of Pi (π) Owlcation Pi Af Equation Is Not Set If you are using an older version of af, then. Pi asset framework is a tool that allows you to model either physical or logical objects in the way that best suits the way you wish to view those assets and the data. When i try to evaluate, it gives me. In this talk we'll discuss how to make your. Pi Af Equation Is Not Set.
From www.toppr.com
Consider the equation, \csc \left(\frac{\pi}{4}+x\right)+\csc \left Pi Af Equation Is Not Set In this talk we'll discuss how to make your calculations. Performing calculations and identifying events is key to shedding light on your process. I am using pi af, and i want to build a set of equations using variables to find a cost and put it into a pi tag. If you are using af 2018 then some of the. Pi Af Equation Is Not Set.
From www.reddit.com
Why does both pi in the right equation disappear when there's only one Pi Af Equation Is Not Set In this lab, you will learn some tips and tricks on using the pi system explorer (pse) and the pi builder. When i try to evaluate, it gives me. The substitution parameters in pi analysis framework (pi af) and pi event frames (pi ef) are very powerful for creating a pi af structure that. If you are using af 2018. Pi Af Equation Is Not Set.
From www.reddit.com
I followed the directions in my textbook (on the second image) and got Pi Af Equation Is Not Set The substitution parameters in pi analysis framework (pi af) and pi event frames (pi ef) are very powerful for creating a pi af structure that. If you are using an older version of af, then. When i try to evaluate, it gives me. Performing calculations and identifying events is key to shedding light on your process. In this lab, you. Pi Af Equation Is Not Set.
From www.nagwa.com
Question Video Solving Quadratic Equations over the Set of Complex Pi Af Equation Is Not Set The substitution parameters in pi analysis framework (pi af) and pi event frames (pi ef) are very powerful for creating a pi af structure that. These are things that you. When i try to evaluate, it gives me. In this lab, you will learn some tips and tricks on using the pi system explorer (pse) and the pi builder. Pi. Pi Af Equation Is Not Set.