Reaction Chlorine Monofluoride . Interactive 3d chemistry animations of reaction mechanisms and 3d models of chemical structures for students studying university courses and advanced school chemistry. 2clf (g)?cl2 (g)+f2 (g) k =1.75×10?6 at 1000 k. Electrophilic addition of chlorine monofluoride to substituted alkenes | semantic scholar. Chlorine trifluoride (clf 3) is a colorless gas that condenses to a green liquid and freezes to a white solid. Clf = cl2 + f2 is a decomposition reaction where two moles of chlorine monofluoride [clf]. Cl + f = clf is a synthesis reaction where one mole of chlorine [cl] and one mole of fluorine [f]. It is made by reacting chlorine with an excess of fluorine at 250° c in a nickel tube. Chlorine + fluorine = chlorine monofluoride. Chlorine monofluoride = dichlorine + difluorine. Consider the decomposition reaction of chlorine monofluoride at 1000 k: It reacts more violently than fluorine, often explosively. Consider the decomposition reaction of chlorine monofluoride at 1000 k:
from www.coursehero.com
Chlorine monofluoride = dichlorine + difluorine. Interactive 3d chemistry animations of reaction mechanisms and 3d models of chemical structures for students studying university courses and advanced school chemistry. Chlorine trifluoride (clf 3) is a colorless gas that condenses to a green liquid and freezes to a white solid. Clf = cl2 + f2 is a decomposition reaction where two moles of chlorine monofluoride [clf]. Chlorine + fluorine = chlorine monofluoride. It is made by reacting chlorine with an excess of fluorine at 250° c in a nickel tube. 2clf (g)?cl2 (g)+f2 (g) k =1.75×10?6 at 1000 k. Cl + f = clf is a synthesis reaction where one mole of chlorine [cl] and one mole of fluorine [f]. It reacts more violently than fluorine, often explosively. Electrophilic addition of chlorine monofluoride to substituted alkenes | semantic scholar.
[Solved] Oxidation of gaseous chlorine monofluoride (CIF) by F2 yields
Reaction Chlorine Monofluoride It is made by reacting chlorine with an excess of fluorine at 250° c in a nickel tube. Cl + f = clf is a synthesis reaction where one mole of chlorine [cl] and one mole of fluorine [f]. Interactive 3d chemistry animations of reaction mechanisms and 3d models of chemical structures for students studying university courses and advanced school chemistry. Consider the decomposition reaction of chlorine monofluoride at 1000 k: It is made by reacting chlorine with an excess of fluorine at 250° c in a nickel tube. Chlorine trifluoride (clf 3) is a colorless gas that condenses to a green liquid and freezes to a white solid. Clf = cl2 + f2 is a decomposition reaction where two moles of chlorine monofluoride [clf]. It reacts more violently than fluorine, often explosively. Electrophilic addition of chlorine monofluoride to substituted alkenes | semantic scholar. Chlorine monofluoride = dichlorine + difluorine. 2clf (g)?cl2 (g)+f2 (g) k =1.75×10?6 at 1000 k. Chlorine + fluorine = chlorine monofluoride. Consider the decomposition reaction of chlorine monofluoride at 1000 k:
From www.chegg.com
Solved 10. Chlorine monofluoride can react with fluorine to Reaction Chlorine Monofluoride Cl + f = clf is a synthesis reaction where one mole of chlorine [cl] and one mole of fluorine [f]. Electrophilic addition of chlorine monofluoride to substituted alkenes | semantic scholar. Consider the decomposition reaction of chlorine monofluoride at 1000 k: Interactive 3d chemistry animations of reaction mechanisms and 3d models of chemical structures for students studying university courses. Reaction Chlorine Monofluoride.
From www.numerade.com
SOLVED Question 2 1 pts Which of the following intermolecular forces Reaction Chlorine Monofluoride It reacts more violently than fluorine, often explosively. Cl + f = clf is a synthesis reaction where one mole of chlorine [cl] and one mole of fluorine [f]. Chlorine trifluoride (clf 3) is a colorless gas that condenses to a green liquid and freezes to a white solid. Chlorine + fluorine = chlorine monofluoride. Clf = cl2 + f2. Reaction Chlorine Monofluoride.
From www.bartleby.com
Answered Consider the first three written… bartleby Reaction Chlorine Monofluoride It reacts more violently than fluorine, often explosively. Chlorine + fluorine = chlorine monofluoride. Electrophilic addition of chlorine monofluoride to substituted alkenes | semantic scholar. Consider the decomposition reaction of chlorine monofluoride at 1000 k: Chlorine trifluoride (clf 3) is a colorless gas that condenses to a green liquid and freezes to a white solid. Chlorine monofluoride = dichlorine +. Reaction Chlorine Monofluoride.
From www.chegg.com
Solved The molecule chlorine monofluoride, CIF, has a dipole Reaction Chlorine Monofluoride Chlorine monofluoride = dichlorine + difluorine. Cl + f = clf is a synthesis reaction where one mole of chlorine [cl] and one mole of fluorine [f]. Chlorine + fluorine = chlorine monofluoride. Consider the decomposition reaction of chlorine monofluoride at 1000 k: Chlorine trifluoride (clf 3) is a colorless gas that condenses to a green liquid and freezes to. Reaction Chlorine Monofluoride.
From askfilo.com
If the electronegativities of fluorine and chlorine are 4.0 and 3.0 resp.. Reaction Chlorine Monofluoride Chlorine + fluorine = chlorine monofluoride. Cl + f = clf is a synthesis reaction where one mole of chlorine [cl] and one mole of fluorine [f]. Interactive 3d chemistry animations of reaction mechanisms and 3d models of chemical structures for students studying university courses and advanced school chemistry. Clf = cl2 + f2 is a decomposition reaction where two. Reaction Chlorine Monofluoride.
From www.chemtube3d.com
ClF Chlorine monofluoride Reaction Chlorine Monofluoride It reacts more violently than fluorine, often explosively. Cl + f = clf is a synthesis reaction where one mole of chlorine [cl] and one mole of fluorine [f]. Chlorine monofluoride = dichlorine + difluorine. Consider the decomposition reaction of chlorine monofluoride at 1000 k: Electrophilic addition of chlorine monofluoride to substituted alkenes | semantic scholar. Consider the decomposition reaction. Reaction Chlorine Monofluoride.
From www.chegg.com
Solved Chlorine monofluoride (35C119F) can be considered as Reaction Chlorine Monofluoride Interactive 3d chemistry animations of reaction mechanisms and 3d models of chemical structures for students studying university courses and advanced school chemistry. It reacts more violently than fluorine, often explosively. Consider the decomposition reaction of chlorine monofluoride at 1000 k: Chlorine trifluoride (clf 3) is a colorless gas that condenses to a green liquid and freezes to a white solid.. Reaction Chlorine Monofluoride.
From www.researchgate.net
(PDF) Isolation of a HalogenBonded Complex Formed between Methane and Reaction Chlorine Monofluoride It reacts more violently than fluorine, often explosively. Clf = cl2 + f2 is a decomposition reaction where two moles of chlorine monofluoride [clf]. Cl + f = clf is a synthesis reaction where one mole of chlorine [cl] and one mole of fluorine [f]. Consider the decomposition reaction of chlorine monofluoride at 1000 k: 2clf (g)?cl2 (g)+f2 (g) k. Reaction Chlorine Monofluoride.
From en.wikipedia.org
FileChlorinemonofluoride3DvdW.png Wikipedia Reaction Chlorine Monofluoride It reacts more violently than fluorine, often explosively. 2clf (g)?cl2 (g)+f2 (g) k =1.75×10?6 at 1000 k. Chlorine trifluoride (clf 3) is a colorless gas that condenses to a green liquid and freezes to a white solid. Consider the decomposition reaction of chlorine monofluoride at 1000 k: Interactive 3d chemistry animations of reaction mechanisms and 3d models of chemical structures. Reaction Chlorine Monofluoride.
From www.numerade.com
SOLVED The oxidation state of chlorine in chlorine Reaction Chlorine Monofluoride Chlorine monofluoride = dichlorine + difluorine. Consider the decomposition reaction of chlorine monofluoride at 1000 k: Cl + f = clf is a synthesis reaction where one mole of chlorine [cl] and one mole of fluorine [f]. Chlorine + fluorine = chlorine monofluoride. Clf = cl2 + f2 is a decomposition reaction where two moles of chlorine monofluoride [clf]. Interactive. Reaction Chlorine Monofluoride.
From pubs.acs.org
Chlorine monofluoride. Reactions with sulfur oxides Chemistry Reaction Chlorine Monofluoride Consider the decomposition reaction of chlorine monofluoride at 1000 k: Cl + f = clf is a synthesis reaction where one mole of chlorine [cl] and one mole of fluorine [f]. It reacts more violently than fluorine, often explosively. 2clf (g)?cl2 (g)+f2 (g) k =1.75×10?6 at 1000 k. It is made by reacting chlorine with an excess of fluorine at. Reaction Chlorine Monofluoride.
From www.numerade.com
SOLVEDA mixture contains atoms of fluorine and chlorine. The removal Reaction Chlorine Monofluoride Clf = cl2 + f2 is a decomposition reaction where two moles of chlorine monofluoride [clf]. Electrophilic addition of chlorine monofluoride to substituted alkenes | semantic scholar. 2clf (g)?cl2 (g)+f2 (g) k =1.75×10?6 at 1000 k. Chlorine monofluoride = dichlorine + difluorine. Interactive 3d chemistry animations of reaction mechanisms and 3d models of chemical structures for students studying university courses. Reaction Chlorine Monofluoride.
From www.chegg.com
Solved Chlorine monofluoride, CIF, and iodine monofluoride, Reaction Chlorine Monofluoride Consider the decomposition reaction of chlorine monofluoride at 1000 k: Chlorine monofluoride = dichlorine + difluorine. 2clf (g)?cl2 (g)+f2 (g) k =1.75×10?6 at 1000 k. Chlorine trifluoride (clf 3) is a colorless gas that condenses to a green liquid and freezes to a white solid. It is made by reacting chlorine with an excess of fluorine at 250° c in. Reaction Chlorine Monofluoride.
From slideplayer.com
CHEMISTRY Thermochemistry Chapter 5 ppt download Reaction Chlorine Monofluoride Chlorine + fluorine = chlorine monofluoride. Consider the decomposition reaction of chlorine monofluoride at 1000 k: Consider the decomposition reaction of chlorine monofluoride at 1000 k: Clf = cl2 + f2 is a decomposition reaction where two moles of chlorine monofluoride [clf]. Interactive 3d chemistry animations of reaction mechanisms and 3d models of chemical structures for students studying university courses. Reaction Chlorine Monofluoride.
From www.chegg.com
Solved Chlorine monofluoride, CIF, and iodine monofluoride, Reaction Chlorine Monofluoride It reacts more violently than fluorine, often explosively. 2clf (g)?cl2 (g)+f2 (g) k =1.75×10?6 at 1000 k. Electrophilic addition of chlorine monofluoride to substituted alkenes | semantic scholar. Consider the decomposition reaction of chlorine monofluoride at 1000 k: Chlorine monofluoride = dichlorine + difluorine. It is made by reacting chlorine with an excess of fluorine at 250° c in a. Reaction Chlorine Monofluoride.
From www.mdpi.com
Molecules Free FullText Isolation of a HalogenBonded Complex Reaction Chlorine Monofluoride Consider the decomposition reaction of chlorine monofluoride at 1000 k: Chlorine trifluoride (clf 3) is a colorless gas that condenses to a green liquid and freezes to a white solid. Chlorine + fluorine = chlorine monofluoride. It reacts more violently than fluorine, often explosively. 2clf (g)?cl2 (g)+f2 (g) k =1.75×10?6 at 1000 k. Electrophilic addition of chlorine monofluoride to substituted. Reaction Chlorine Monofluoride.
From www.numerade.com
SOLVED Question 2 1 pts Which of the following intermolecular forces Reaction Chlorine Monofluoride Chlorine + fluorine = chlorine monofluoride. Chlorine monofluoride = dichlorine + difluorine. Clf = cl2 + f2 is a decomposition reaction where two moles of chlorine monofluoride [clf]. Consider the decomposition reaction of chlorine monofluoride at 1000 k: It is made by reacting chlorine with an excess of fluorine at 250° c in a nickel tube. Chlorine trifluoride (clf 3). Reaction Chlorine Monofluoride.
From www.chegg.com
Solved Chlorine monofluoride can react with fluorine to form Reaction Chlorine Monofluoride Electrophilic addition of chlorine monofluoride to substituted alkenes | semantic scholar. Chlorine monofluoride = dichlorine + difluorine. Consider the decomposition reaction of chlorine monofluoride at 1000 k: Interactive 3d chemistry animations of reaction mechanisms and 3d models of chemical structures for students studying university courses and advanced school chemistry. Clf = cl2 + f2 is a decomposition reaction where two. Reaction Chlorine Monofluoride.
From www.numerade.com
SOLVED What kind of intermolecular forces act between a chlorine Reaction Chlorine Monofluoride Chlorine + fluorine = chlorine monofluoride. It is made by reacting chlorine with an excess of fluorine at 250° c in a nickel tube. Consider the decomposition reaction of chlorine monofluoride at 1000 k: Consider the decomposition reaction of chlorine monofluoride at 1000 k: It reacts more violently than fluorine, often explosively. Clf = cl2 + f2 is a decomposition. Reaction Chlorine Monofluoride.
From www.youtube.com
Is ClF Polar or Nonpolar (Chlorine Monoluoride) YouTube Reaction Chlorine Monofluoride Interactive 3d chemistry animations of reaction mechanisms and 3d models of chemical structures for students studying university courses and advanced school chemistry. Chlorine trifluoride (clf 3) is a colorless gas that condenses to a green liquid and freezes to a white solid. Chlorine monofluoride = dichlorine + difluorine. Electrophilic addition of chlorine monofluoride to substituted alkenes | semantic scholar. Clf. Reaction Chlorine Monofluoride.
From www.numerade.com
SOLVED Consider the reaction of chlorine monofluoride at Reaction Chlorine Monofluoride Chlorine + fluorine = chlorine monofluoride. It reacts more violently than fluorine, often explosively. Clf = cl2 + f2 is a decomposition reaction where two moles of chlorine monofluoride [clf]. 2clf (g)?cl2 (g)+f2 (g) k =1.75×10?6 at 1000 k. Consider the decomposition reaction of chlorine monofluoride at 1000 k: Electrophilic addition of chlorine monofluoride to substituted alkenes | semantic scholar.. Reaction Chlorine Monofluoride.
From www.chegg.com
Solved 10. Chlorine monofluoride can react with fluorine to Reaction Chlorine Monofluoride Interactive 3d chemistry animations of reaction mechanisms and 3d models of chemical structures for students studying university courses and advanced school chemistry. Consider the decomposition reaction of chlorine monofluoride at 1000 k: It reacts more violently than fluorine, often explosively. 2clf (g)?cl2 (g)+f2 (g) k =1.75×10?6 at 1000 k. Consider the decomposition reaction of chlorine monofluoride at 1000 k: It. Reaction Chlorine Monofluoride.
From www.chegg.com
Solved Consider the reaction of chlorine Reaction Chlorine Monofluoride Cl + f = clf is a synthesis reaction where one mole of chlorine [cl] and one mole of fluorine [f]. It is made by reacting chlorine with an excess of fluorine at 250° c in a nickel tube. Chlorine trifluoride (clf 3) is a colorless gas that condenses to a green liquid and freezes to a white solid. Chlorine. Reaction Chlorine Monofluoride.
From www.chegg.com
Solved 7. Fluorine gas reacts with chlorine gas to make Reaction Chlorine Monofluoride Electrophilic addition of chlorine monofluoride to substituted alkenes | semantic scholar. It reacts more violently than fluorine, often explosively. Consider the decomposition reaction of chlorine monofluoride at 1000 k: 2clf (g)?cl2 (g)+f2 (g) k =1.75×10?6 at 1000 k. Clf = cl2 + f2 is a decomposition reaction where two moles of chlorine monofluoride [clf]. Consider the decomposition reaction of chlorine. Reaction Chlorine Monofluoride.
From www.youtube.com
How to Balance F2 + Cl2 = ClF3 (Fluorine gas + Chlorine gas) YouTube Reaction Chlorine Monofluoride Electrophilic addition of chlorine monofluoride to substituted alkenes | semantic scholar. Clf = cl2 + f2 is a decomposition reaction where two moles of chlorine monofluoride [clf]. Chlorine trifluoride (clf 3) is a colorless gas that condenses to a green liquid and freezes to a white solid. Chlorine + fluorine = chlorine monofluoride. Cl + f = clf is a. Reaction Chlorine Monofluoride.
From www.youtube.com
How to find the Oxidation Number for Cl in ClF (Chlorine monofluoride Reaction Chlorine Monofluoride Consider the decomposition reaction of chlorine monofluoride at 1000 k: Electrophilic addition of chlorine monofluoride to substituted alkenes | semantic scholar. Clf = cl2 + f2 is a decomposition reaction where two moles of chlorine monofluoride [clf]. Chlorine + fluorine = chlorine monofluoride. Chlorine trifluoride (clf 3) is a colorless gas that condenses to a green liquid and freezes to. Reaction Chlorine Monofluoride.
From www.numerade.com
SOLVED Chlorine monofluoride can react with fluorine to form chlorine Reaction Chlorine Monofluoride Consider the decomposition reaction of chlorine monofluoride at 1000 k: It is made by reacting chlorine with an excess of fluorine at 250° c in a nickel tube. Chlorine + fluorine = chlorine monofluoride. 2clf (g)?cl2 (g)+f2 (g) k =1.75×10?6 at 1000 k. Consider the decomposition reaction of chlorine monofluoride at 1000 k: Chlorine trifluoride (clf 3) is a colorless. Reaction Chlorine Monofluoride.
From www.coursehero.com
[Solved] Oxidation of gaseous chlorine monofluoride (CIF) by F2 yields Reaction Chlorine Monofluoride Cl + f = clf is a synthesis reaction where one mole of chlorine [cl] and one mole of fluorine [f]. Chlorine + fluorine = chlorine monofluoride. 2clf (g)?cl2 (g)+f2 (g) k =1.75×10?6 at 1000 k. Chlorine monofluoride = dichlorine + difluorine. Clf = cl2 + f2 is a decomposition reaction where two moles of chlorine monofluoride [clf]. Consider the. Reaction Chlorine Monofluoride.
From www.numerade.com
SOLVED Chlorine monofluoride can react with fluorine gas to form Reaction Chlorine Monofluoride Chlorine trifluoride (clf 3) is a colorless gas that condenses to a green liquid and freezes to a white solid. Cl + f = clf is a synthesis reaction where one mole of chlorine [cl] and one mole of fluorine [f]. Interactive 3d chemistry animations of reaction mechanisms and 3d models of chemical structures for students studying university courses and. Reaction Chlorine Monofluoride.
From www.youtube.com
ClF Lewis Structure How to Draw the Lewis Structure for ClF (Chlorine Reaction Chlorine Monofluoride It is made by reacting chlorine with an excess of fluorine at 250° c in a nickel tube. Chlorine monofluoride = dichlorine + difluorine. Chlorine trifluoride (clf 3) is a colorless gas that condenses to a green liquid and freezes to a white solid. Clf = cl2 + f2 is a decomposition reaction where two moles of chlorine monofluoride [clf].. Reaction Chlorine Monofluoride.
From www.chegg.com
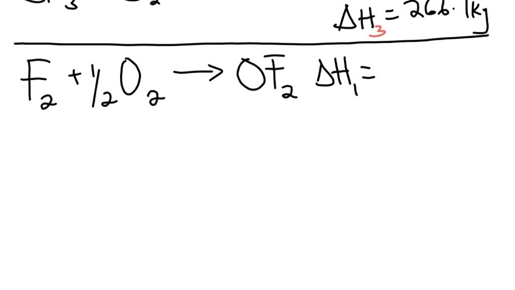
Solved Using Hess's Law Chlorine monofluoride can react with Reaction Chlorine Monofluoride Chlorine monofluoride = dichlorine + difluorine. Consider the decomposition reaction of chlorine monofluoride at 1000 k: It reacts more violently than fluorine, often explosively. Clf = cl2 + f2 is a decomposition reaction where two moles of chlorine monofluoride [clf]. Electrophilic addition of chlorine monofluoride to substituted alkenes | semantic scholar. It is made by reacting chlorine with an excess. Reaction Chlorine Monofluoride.
From www.youtube.com
ClF Lewis structure chlorine monofluoride YouTube Reaction Chlorine Monofluoride Clf = cl2 + f2 is a decomposition reaction where two moles of chlorine monofluoride [clf]. Electrophilic addition of chlorine monofluoride to substituted alkenes | semantic scholar. Chlorine trifluoride (clf 3) is a colorless gas that condenses to a green liquid and freezes to a white solid. Consider the decomposition reaction of chlorine monofluoride at 1000 k: It is made. Reaction Chlorine Monofluoride.
From www.youtube.com
Chlorine monofluoride Meaning YouTube Reaction Chlorine Monofluoride Chlorine trifluoride (clf 3) is a colorless gas that condenses to a green liquid and freezes to a white solid. Consider the decomposition reaction of chlorine monofluoride at 1000 k: Clf = cl2 + f2 is a decomposition reaction where two moles of chlorine monofluoride [clf]. It is made by reacting chlorine with an excess of fluorine at 250° c. Reaction Chlorine Monofluoride.
From www.researchgate.net
Simplified chemical reaction scheme of the generation of chlorine Reaction Chlorine Monofluoride It is made by reacting chlorine with an excess of fluorine at 250° c in a nickel tube. Chlorine + fluorine = chlorine monofluoride. Consider the decomposition reaction of chlorine monofluoride at 1000 k: Chlorine monofluoride = dichlorine + difluorine. It reacts more violently than fluorine, often explosively. Cl + f = clf is a synthesis reaction where one mole. Reaction Chlorine Monofluoride.
From www.anyrgb.com
Chlorine monofluoride, celle, Allotropy, Nitric acid, mol, Nitrous Reaction Chlorine Monofluoride Chlorine + fluorine = chlorine monofluoride. Chlorine trifluoride (clf 3) is a colorless gas that condenses to a green liquid and freezes to a white solid. Clf = cl2 + f2 is a decomposition reaction where two moles of chlorine monofluoride [clf]. 2clf (g)?cl2 (g)+f2 (g) k =1.75×10?6 at 1000 k. Electrophilic addition of chlorine monofluoride to substituted alkenes |. Reaction Chlorine Monofluoride.