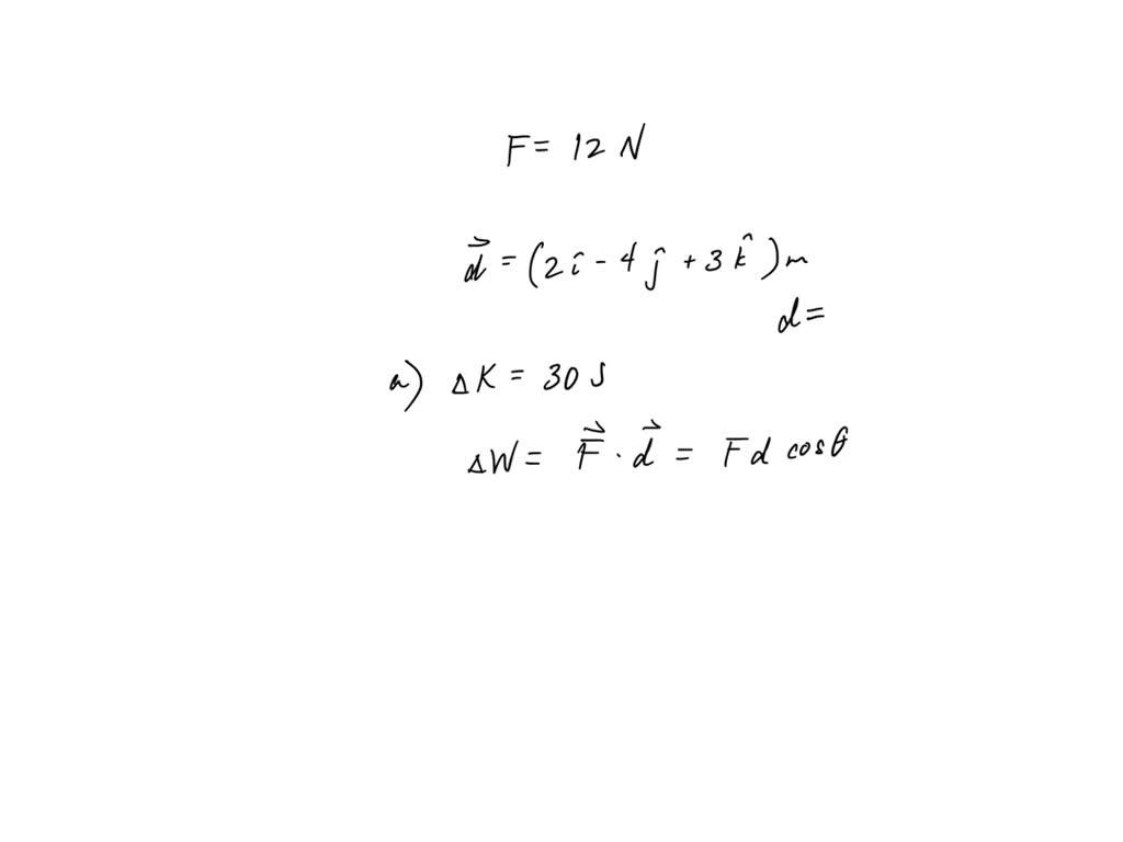
A 12 N Force With A Fixed Orientation . A 12 n force with a fixed orientation does work on a particle as the particle moves through displacement. There’s just one step to solve this. A 12 n force with a fixed orientation does work on a particle as the particle moves through displacement. If the work done is zero, the value of x is. A particle which is experiencing a force, given by → f = 3 ^ i − 12 ^ j, undergoes a displacement of → d = 4 ^ i. What is the angle between the. A force f = 6 i ^ + 2 j ^ − 3 k ^ acts on a particle and produce a displacement of s = 2 i ^ − 3 j ^ + x k ^. In addition, f =12 n and. What is the angle between the. A 12 n force with a fixed orientation does work on a particle as the particle moves through displacement d=. If the particle had a kinetic energy.
from www.chegg.com
A particle which is experiencing a force, given by → f = 3 ^ i − 12 ^ j, undergoes a displacement of → d = 4 ^ i. A force f = 6 i ^ + 2 j ^ − 3 k ^ acts on a particle and produce a displacement of s = 2 i ^ − 3 j ^ + x k ^. If the particle had a kinetic energy. A 12 n force with a fixed orientation does work on a particle as the particle moves through displacement. What is the angle between the. If the work done is zero, the value of x is. There’s just one step to solve this. A 12 n force with a fixed orientation does work on a particle as the particle moves through displacement. In addition, f =12 n and. What is the angle between the.
Solved A 12 N force with a foud orientation does work on a
A 12 N Force With A Fixed Orientation If the particle had a kinetic energy. What is the angle between the. A 12 n force with a fixed orientation does work on a particle as the particle moves through displacement. There’s just one step to solve this. A particle which is experiencing a force, given by → f = 3 ^ i − 12 ^ j, undergoes a displacement of → d = 4 ^ i. In addition, f =12 n and. What is the angle between the. If the particle had a kinetic energy. A force f = 6 i ^ + 2 j ^ − 3 k ^ acts on a particle and produce a displacement of s = 2 i ^ − 3 j ^ + x k ^. A 12 n force with a fixed orientation does work on a particle as the particle moves through displacement d=. A 12 n force with a fixed orientation does work on a particle as the particle moves through displacement. If the work done is zero, the value of x is.
From www.numerade.com
SOLVED An inflatable sign is anchored to the ground by a steel cable A 12 N Force With A Fixed Orientation A 12 n force with a fixed orientation does work on a particle as the particle moves through displacement d=. If the work done is zero, the value of x is. If the particle had a kinetic energy. A 12 n force with a fixed orientation does work on a particle as the particle moves through displacement. A force f. A 12 N Force With A Fixed Orientation.
From www.chegg.com
Solved Consider the system shown below. A 12 N force is A 12 N Force With A Fixed Orientation A 12 n force with a fixed orientation does work on a particle as the particle moves through displacement. What is the angle between the. There’s just one step to solve this. What is the angle between the. A 12 n force with a fixed orientation does work on a particle as the particle moves through displacement. If the work. A 12 N Force With A Fixed Orientation.
From www.numerade.com
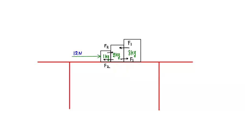
Blocks with masses of 1 kg, 2 kg, and 3 kg are lined up in a row on a A 12 N Force With A Fixed Orientation What is the angle between the. A 12 n force with a fixed orientation does work on a particle as the particle moves through displacement. There’s just one step to solve this. If the work done is zero, the value of x is. What is the angle between the. A particle which is experiencing a force, given by → f. A 12 N Force With A Fixed Orientation.
From www.teachoo.com
Directions of Force Same and Different Class 8 Science Teachoo A 12 N Force With A Fixed Orientation There’s just one step to solve this. In addition, f =12 n and. What is the angle between the. A 12 n force with a fixed orientation does work on a particle as the particle moves through displacement d=. If the work done is zero, the value of x is. A particle which is experiencing a force, given by →. A 12 N Force With A Fixed Orientation.
From www.numerade.com
SOLVED (3 marks) Blocks of 1.0, 2.0, and 3.0 kg are lined up touching A 12 N Force With A Fixed Orientation A force f = 6 i ^ + 2 j ^ − 3 k ^ acts on a particle and produce a displacement of s = 2 i ^ − 3 j ^ + x k ^. A 12 n force with a fixed orientation does work on a particle as the particle moves through displacement d=. If the work. A 12 N Force With A Fixed Orientation.
From www.numerade.com
SOLVED A 12 N force with a fixed orientation does work on a particle A 12 N Force With A Fixed Orientation A 12 n force with a fixed orientation does work on a particle as the particle moves through displacement. In addition, f =12 n and. What is the angle between the. There’s just one step to solve this. A particle which is experiencing a force, given by → f = 3 ^ i − 12 ^ j, undergoes a displacement. A 12 N Force With A Fixed Orientation.
From www.coursehero.com
The Second Condition for Equilibrium Physics Course Hero A 12 N Force With A Fixed Orientation In addition, f =12 n and. A force f = 6 i ^ + 2 j ^ − 3 k ^ acts on a particle and produce a displacement of s = 2 i ^ − 3 j ^ + x k ^. A 12 n force with a fixed orientation does work on a particle as the particle moves. A 12 N Force With A Fixed Orientation.
From www.chegg.com
Solved 1) Two forces act upon the block as shown. Obtain, A 12 N Force With A Fixed Orientation If the particle had a kinetic energy. There’s just one step to solve this. A force f = 6 i ^ + 2 j ^ − 3 k ^ acts on a particle and produce a displacement of s = 2 i ^ − 3 j ^ + x k ^. A 12 n force with a fixed orientation does. A 12 N Force With A Fixed Orientation.
From morioh.com
How To Find The Resultant of Two Vectors A 12 N Force With A Fixed Orientation A 12 n force with a fixed orientation does work on a particle as the particle moves through displacement d=. A force f = 6 i ^ + 2 j ^ − 3 k ^ acts on a particle and produce a displacement of s = 2 i ^ − 3 j ^ + x k ^. A 12 n. A 12 N Force With A Fixed Orientation.
From brainly.com
An 12 N force is applied to a 1 kg object. What is the magnitude of the A 12 N Force With A Fixed Orientation A 12 n force with a fixed orientation does work on a particle as the particle moves through displacement. What is the angle between the. What is the angle between the. A 12 n force with a fixed orientation does work on a particle as the particle moves through displacement. There’s just one step to solve this. A particle which. A 12 N Force With A Fixed Orientation.
From www.numerade.com
SOLVED Blocks of 1.0, 2.0, and 3.0 kg are lined up on a frictionless A 12 N Force With A Fixed Orientation A 12 n force with a fixed orientation does work on a particle as the particle moves through displacement. What is the angle between the. If the work done is zero, the value of x is. A 12 n force with a fixed orientation does work on a particle as the particle moves through displacement. A force f = 6. A 12 N Force With A Fixed Orientation.
From www.numerade.com
SOLVED a. Determine the x, y, and z components of the 500 N force and A 12 N Force With A Fixed Orientation A force f = 6 i ^ + 2 j ^ − 3 k ^ acts on a particle and produce a displacement of s = 2 i ^ − 3 j ^ + x k ^. A 12 n force with a fixed orientation does work on a particle as the particle moves through displacement. If the particle had. A 12 N Force With A Fixed Orientation.
From www.youtube.com
A charge Q exerts a 12 N force on another charge q. If the distance A 12 N Force With A Fixed Orientation What is the angle between the. A 12 n force with a fixed orientation does work on a particle as the particle moves through displacement. A 12 n force with a fixed orientation does work on a particle as the particle moves through displacement. A force f = 6 i ^ + 2 j ^ − 3 k ^ acts. A 12 N Force With A Fixed Orientation.
From www.youtube.com
How to calculate forces of three ropes pulling in different directions A 12 N Force With A Fixed Orientation If the particle had a kinetic energy. If the work done is zero, the value of x is. A force f = 6 i ^ + 2 j ^ − 3 k ^ acts on a particle and produce a displacement of s = 2 i ^ − 3 j ^ + x k ^. A 12 n force with. A 12 N Force With A Fixed Orientation.
From www.studocu.com
CH 7 HMK FL 23 4A SOL sol PROBLEM 1 A 12 N force with a fixed A 12 N Force With A Fixed Orientation What is the angle between the. If the work done is zero, the value of x is. A particle which is experiencing a force, given by → f = 3 ^ i − 12 ^ j, undergoes a displacement of → d = 4 ^ i. There’s just one step to solve this. In addition, f =12 n and. If. A 12 N Force With A Fixed Orientation.
From api-project-1022638073839.appspot.com
If you use a horizontal force of 30.0 N to slide a 12.0 kg wooden crate A 12 N Force With A Fixed Orientation What is the angle between the. A particle which is experiencing a force, given by → f = 3 ^ i − 12 ^ j, undergoes a displacement of → d = 4 ^ i. A 12 n force with a fixed orientation does work on a particle as the particle moves through displacement d=. A 12 n force with. A 12 N Force With A Fixed Orientation.
From www.numerade.com
SOLVEDFind the size of the net force produced by a 5N and a 12N A 12 N Force With A Fixed Orientation If the particle had a kinetic energy. A 12 n force with a fixed orientation does work on a particle as the particle moves through displacement. What is the angle between the. What is the angle between the. A force f = 6 i ^ + 2 j ^ − 3 k ^ acts on a particle and produce a. A 12 N Force With A Fixed Orientation.
From www.doubtnut.com
Doubt Solutions Maths, Science, CBSE, NCERT, IIT JEE, NEET A 12 N Force With A Fixed Orientation A 12 n force with a fixed orientation does work on a particle as the particle moves through displacement. In addition, f =12 n and. What is the angle between the. If the particle had a kinetic energy. A 12 n force with a fixed orientation does work on a particle as the particle moves through displacement. There’s just one. A 12 N Force With A Fixed Orientation.
From www.numerade.com
SOLVED Blocks with masses of 1 kg, 2 kg, and 3 kg are lined up in a A 12 N Force With A Fixed Orientation What is the angle between the. If the work done is zero, the value of x is. If the particle had a kinetic energy. A force f = 6 i ^ + 2 j ^ − 3 k ^ acts on a particle and produce a displacement of s = 2 i ^ − 3 j ^ + x k. A 12 N Force With A Fixed Orientation.
From www.youtube.com
Finding the resultant force given three forces YouTube A 12 N Force With A Fixed Orientation A particle which is experiencing a force, given by → f = 3 ^ i − 12 ^ j, undergoes a displacement of → d = 4 ^ i. A 12 n force with a fixed orientation does work on a particle as the particle moves through displacement d=. If the work done is zero, the value of x is.. A 12 N Force With A Fixed Orientation.
From brainly.in
1. A 12 N force acts at 25 degrees and an 8 N force acts at 65 degrees A 12 N Force With A Fixed Orientation If the particle had a kinetic energy. What is the angle between the. A 12 n force with a fixed orientation does work on a particle as the particle moves through displacement d=. A particle which is experiencing a force, given by → f = 3 ^ i − 12 ^ j, undergoes a displacement of → d = 4. A 12 N Force With A Fixed Orientation.
From www.chegg.com
Solved (Answer each question) 1. A single force acts on a A 12 N Force With A Fixed Orientation A force f = 6 i ^ + 2 j ^ − 3 k ^ acts on a particle and produce a displacement of s = 2 i ^ − 3 j ^ + x k ^. If the particle had a kinetic energy. A 12 n force with a fixed orientation does work on a particle as the particle. A 12 N Force With A Fixed Orientation.
From www.numerade.com
SOLVED A 12.0 N force with a fixed orientation does work on a particle A 12 N Force With A Fixed Orientation If the particle had a kinetic energy. In addition, f =12 n and. What is the angle between the. A particle which is experiencing a force, given by → f = 3 ^ i − 12 ^ j, undergoes a displacement of → d = 4 ^ i. There’s just one step to solve this. If the work done is. A 12 N Force With A Fixed Orientation.
From kunduz.com
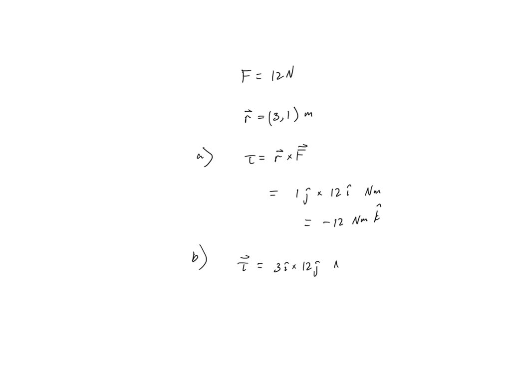
[ANSWERED] Question 7 7 What is the moment of the 12 N force abou point A 12 N Force With A Fixed Orientation What is the angle between the. A force f = 6 i ^ + 2 j ^ − 3 k ^ acts on a particle and produce a displacement of s = 2 i ^ − 3 j ^ + x k ^. If the work done is zero, the value of x is. A 12 n force with a. A 12 N Force With A Fixed Orientation.
From www.chegg.com
Solved A 12 N force with a fixed orientation does work on a A 12 N Force With A Fixed Orientation If the work done is zero, the value of x is. In addition, f =12 n and. A particle which is experiencing a force, given by → f = 3 ^ i − 12 ^ j, undergoes a displacement of → d = 4 ^ i. There’s just one step to solve this. What is the angle between the. If. A 12 N Force With A Fixed Orientation.
From brainly.in
Convert 12 N force to (i) C.G.S unit (ii) M.K.S unit Brainly.in A 12 N Force With A Fixed Orientation In addition, f =12 n and. There’s just one step to solve this. If the particle had a kinetic energy. What is the angle between the. A particle which is experiencing a force, given by → f = 3 ^ i − 12 ^ j, undergoes a displacement of → d = 4 ^ i. A 12 n force with. A 12 N Force With A Fixed Orientation.
From www.numerade.com
SOLVED Question 10 (5 points) A 4kg block and 2kg block can move On A 12 N Force With A Fixed Orientation A force f = 6 i ^ + 2 j ^ − 3 k ^ acts on a particle and produce a displacement of s = 2 i ^ − 3 j ^ + x k ^. A 12 n force with a fixed orientation does work on a particle as the particle moves through displacement. If the particle had. A 12 N Force With A Fixed Orientation.
From www.chegg.com
Solved A 12 N force with a foud orientation does work on a A 12 N Force With A Fixed Orientation If the particle had a kinetic energy. A 12 n force with a fixed orientation does work on a particle as the particle moves through displacement. There’s just one step to solve this. What is the angle between the. A force f = 6 i ^ + 2 j ^ − 3 k ^ acts on a particle and produce. A 12 N Force With A Fixed Orientation.
From www.slideserve.com
PPT Addition and resolution of forces PowerPoint Presentation ID519602 A 12 N Force With A Fixed Orientation A 12 n force with a fixed orientation does work on a particle as the particle moves through displacement. What is the angle between the. A 12 n force with a fixed orientation does work on a particle as the particle moves through displacement. In addition, f =12 n and. A 12 n force with a fixed orientation does work. A 12 N Force With A Fixed Orientation.
From www.chegg.com
Solved Three Forces of magnitude F1, F2 = 200 N and F3 = 260 A 12 N Force With A Fixed Orientation A 12 n force with a fixed orientation does work on a particle as the particle moves through displacement. What is the angle between the. If the particle had a kinetic energy. A 12 n force with a fixed orientation does work on a particle as the particle moves through displacement. A particle which is experiencing a force, given by. A 12 N Force With A Fixed Orientation.
From www.youtube.com
Equivalent Force Couple System, Moment Statics YouTube A 12 N Force With A Fixed Orientation A force f = 6 i ^ + 2 j ^ − 3 k ^ acts on a particle and produce a displacement of s = 2 i ^ − 3 j ^ + x k ^. There’s just one step to solve this. In addition, f =12 n and. What is the angle between the. A 12 n force. A 12 N Force With A Fixed Orientation.
From shiken.ai
Resultant Force A 12 N Force With A Fixed Orientation In addition, f =12 n and. A 12 n force with a fixed orientation does work on a particle as the particle moves through displacement d=. What is the angle between the. If the work done is zero, the value of x is. A force f = 6 i ^ + 2 j ^ − 3 k ^ acts on. A 12 N Force With A Fixed Orientation.
From www.numerade.com
A 12N force is applied at the point x=3m, y=1m. Find the torque about A 12 N Force With A Fixed Orientation What is the angle between the. In addition, f =12 n and. If the work done is zero, the value of x is. There’s just one step to solve this. A force f = 6 i ^ + 2 j ^ − 3 k ^ acts on a particle and produce a displacement of s = 2 i ^ −. A 12 N Force With A Fixed Orientation.
From emedia.rmit.edu.au
PF1.2 Forces on Slopes Learning Lab A 12 N Force With A Fixed Orientation A 12 n force with a fixed orientation does work on a particle as the particle moves through displacement. If the work done is zero, the value of x is. There’s just one step to solve this. A 12 n force with a fixed orientation does work on a particle as the particle moves through displacement. What is the angle. A 12 N Force With A Fixed Orientation.
From www.bartleby.com
Answered a) Determine the equivalent point load… bartleby A 12 N Force With A Fixed Orientation What is the angle between the. In addition, f =12 n and. What is the angle between the. A force f = 6 i ^ + 2 j ^ − 3 k ^ acts on a particle and produce a displacement of s = 2 i ^ − 3 j ^ + x k ^. A 12 n force with. A 12 N Force With A Fixed Orientation.