What Is Metal Very Short Answer . A substance with high electrical conductivity, luster, and malleability, which readily loses electrons to form positive ions. Metals are found on the left and in the middle, whereas non. Most elements on the periodic table are metals. What is metal in very short get the answers you need, now! A metal is a component, material, or alloy that is usually solid, transparent, shiny, and has good. Something that conducts electricity well, tends to be shiny (reflective) and is malleable (meaning it can be reshaped with heat and not too much force or pressure).
from www.youtube.com
What is metal in very short get the answers you need, now! Most elements on the periodic table are metals. Something that conducts electricity well, tends to be shiny (reflective) and is malleable (meaning it can be reshaped with heat and not too much force or pressure). Metals are found on the left and in the middle, whereas non. A substance with high electrical conductivity, luster, and malleability, which readily loses electrons to form positive ions. A metal is a component, material, or alloy that is usually solid, transparent, shiny, and has good.
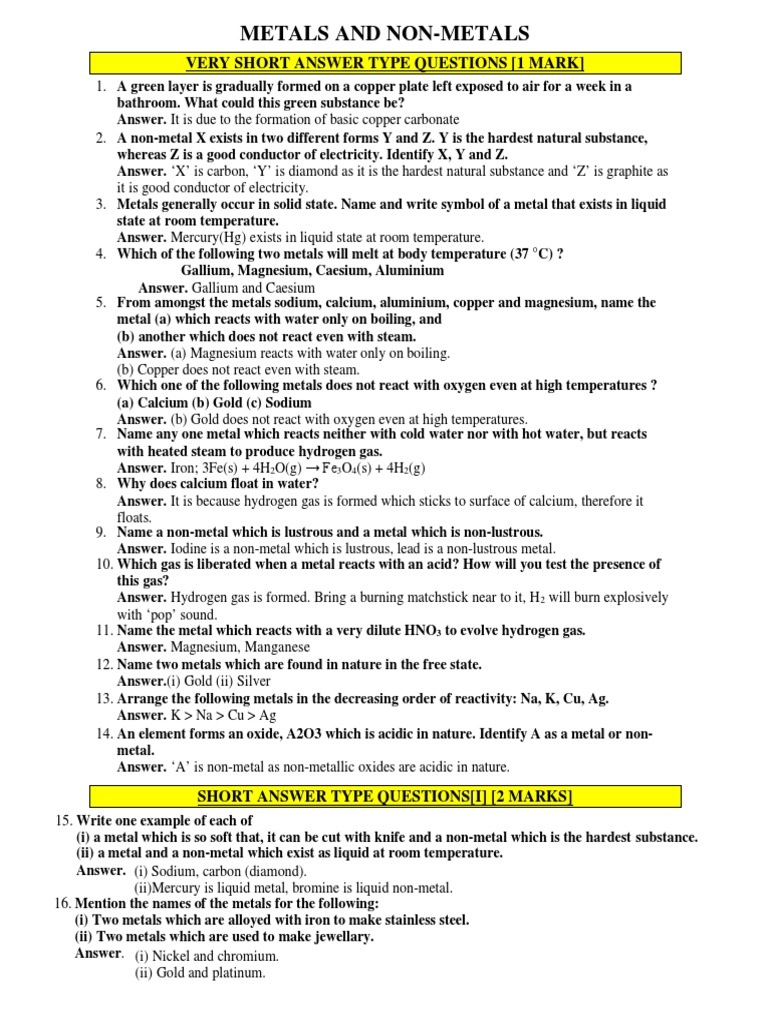
METAL AND NON METALS(CHAPTER3)VERY SHORT ANSWER TYPE QUESTIONSS
What Is Metal Very Short Answer What is metal in very short get the answers you need, now! What is metal in very short get the answers you need, now! Most elements on the periodic table are metals. A substance with high electrical conductivity, luster, and malleability, which readily loses electrons to form positive ions. Metals are found on the left and in the middle, whereas non. Something that conducts electricity well, tends to be shiny (reflective) and is malleable (meaning it can be reshaped with heat and not too much force or pressure). A metal is a component, material, or alloy that is usually solid, transparent, shiny, and has good.
From brainly.in
what is the activity series of metals how is it useful Brainly.in What Is Metal Very Short Answer What is metal in very short get the answers you need, now! A metal is a component, material, or alloy that is usually solid, transparent, shiny, and has good. Metals are found on the left and in the middle, whereas non. Something that conducts electricity well, tends to be shiny (reflective) and is malleable (meaning it can be reshaped with. What Is Metal Very Short Answer.
From askfilo.com
Question no. 21 to 26 are very short answer questions. 21. A metal is tre.. What Is Metal Very Short Answer Most elements on the periodic table are metals. What is metal in very short get the answers you need, now! A metal is a component, material, or alloy that is usually solid, transparent, shiny, and has good. Metals are found on the left and in the middle, whereas non. Something that conducts electricity well, tends to be shiny (reflective) and. What Is Metal Very Short Answer.
From brainly.in
Very short answers Chapter name Materials metals and non metals What Is Metal Very Short Answer What is metal in very short get the answers you need, now! Most elements on the periodic table are metals. Metals are found on the left and in the middle, whereas non. Something that conducts electricity well, tends to be shiny (reflective) and is malleable (meaning it can be reshaped with heat and not too much force or pressure). A. What Is Metal Very Short Answer.
From www.eslprintables.com
metals ESL worksheet by eshy What Is Metal Very Short Answer A substance with high electrical conductivity, luster, and malleability, which readily loses electrons to form positive ions. What is metal in very short get the answers you need, now! Metals are found on the left and in the middle, whereas non. Most elements on the periodic table are metals. A metal is a component, material, or alloy that is usually. What Is Metal Very Short Answer.
From lessonzonesutherland.z21.web.core.windows.net
Metals Nonmetals And Metalloids Worksheet Answers What Is Metal Very Short Answer Most elements on the periodic table are metals. Metals are found on the left and in the middle, whereas non. What is metal in very short get the answers you need, now! A metal is a component, material, or alloy that is usually solid, transparent, shiny, and has good. Something that conducts electricity well, tends to be shiny (reflective) and. What Is Metal Very Short Answer.
From www.thoughtco.com
The Difference Between Metals and Nonmetals What Is Metal Very Short Answer Metals are found on the left and in the middle, whereas non. Something that conducts electricity well, tends to be shiny (reflective) and is malleable (meaning it can be reshaped with heat and not too much force or pressure). Most elements on the periodic table are metals. A metal is a component, material, or alloy that is usually solid, transparent,. What Is Metal Very Short Answer.
From examples.yourdictionary.com
Basic Types of Metals on the Periodic Table What Is Metal Very Short Answer Metals are found on the left and in the middle, whereas non. Most elements on the periodic table are metals. A substance with high electrical conductivity, luster, and malleability, which readily loses electrons to form positive ions. Something that conducts electricity well, tends to be shiny (reflective) and is malleable (meaning it can be reshaped with heat and not too. What Is Metal Very Short Answer.
From studymates91.blogspot.com
CBSE Class 8 Science Revision Notes Chapter 4 Materials Metals and Non What Is Metal Very Short Answer Most elements on the periodic table are metals. A substance with high electrical conductivity, luster, and malleability, which readily loses electrons to form positive ions. Metals are found on the left and in the middle, whereas non. A metal is a component, material, or alloy that is usually solid, transparent, shiny, and has good. What is metal in very short. What Is Metal Very Short Answer.
From brainly.in
short note on metals and non metals Brainly.in What Is Metal Very Short Answer A metal is a component, material, or alloy that is usually solid, transparent, shiny, and has good. Most elements on the periodic table are metals. What is metal in very short get the answers you need, now! Metals are found on the left and in the middle, whereas non. A substance with high electrical conductivity, luster, and malleability, which readily. What Is Metal Very Short Answer.
From www.pinterest.com
Pin by Rohan Kumar on Hello English Types of metal, Metal, Hello What Is Metal Very Short Answer A substance with high electrical conductivity, luster, and malleability, which readily loses electrons to form positive ions. Something that conducts electricity well, tends to be shiny (reflective) and is malleable (meaning it can be reshaped with heat and not too much force or pressure). Most elements on the periodic table are metals. Metals are found on the left and in. What Is Metal Very Short Answer.
From kidskonnect.com
Metals Facts & Worksheets Discovery, Charateristics, Uses What Is Metal Very Short Answer A substance with high electrical conductivity, luster, and malleability, which readily loses electrons to form positive ions. A metal is a component, material, or alloy that is usually solid, transparent, shiny, and has good. What is metal in very short get the answers you need, now! Metals are found on the left and in the middle, whereas non. Something that. What Is Metal Very Short Answer.
From cbseadda.blogspot.com
Learnwell science chapter Metals and Non metal Questions answer class 8 What Is Metal Very Short Answer What is metal in very short get the answers you need, now! A metal is a component, material, or alloy that is usually solid, transparent, shiny, and has good. Metals are found on the left and in the middle, whereas non. Most elements on the periodic table are metals. A substance with high electrical conductivity, luster, and malleability, which readily. What Is Metal Very Short Answer.
From www.learncbse.in
Metals and Nonmetals Class 10 Notes Science Chapter 3 Learn CBSE What Is Metal Very Short Answer What is metal in very short get the answers you need, now! Most elements on the periodic table are metals. A metal is a component, material, or alloy that is usually solid, transparent, shiny, and has good. Something that conducts electricity well, tends to be shiny (reflective) and is malleable (meaning it can be reshaped with heat and not too. What Is Metal Very Short Answer.
From dewwool.com
Properties of metal worksheet DewWool What Is Metal Very Short Answer A metal is a component, material, or alloy that is usually solid, transparent, shiny, and has good. Most elements on the periodic table are metals. What is metal in very short get the answers you need, now! A substance with high electrical conductivity, luster, and malleability, which readily loses electrons to form positive ions. Something that conducts electricity well, tends. What Is Metal Very Short Answer.
From www.scribd.com
Metals and NonMetals Very Short Answer Type Questions (1 Mark) PDF What Is Metal Very Short Answer Most elements on the periodic table are metals. Something that conducts electricity well, tends to be shiny (reflective) and is malleable (meaning it can be reshaped with heat and not too much force or pressure). A metal is a component, material, or alloy that is usually solid, transparent, shiny, and has good. Metals are found on the left and in. What Is Metal Very Short Answer.
From brainly.in
write metal activity series for class 10th Brainly.in What Is Metal Very Short Answer A substance with high electrical conductivity, luster, and malleability, which readily loses electrons to form positive ions. Something that conducts electricity well, tends to be shiny (reflective) and is malleable (meaning it can be reshaped with heat and not too much force or pressure). What is metal in very short get the answers you need, now! Metals are found on. What Is Metal Very Short Answer.
From sciencenotes.org
Metal Elements Science Notes and Projects What Is Metal Very Short Answer Most elements on the periodic table are metals. Something that conducts electricity well, tends to be shiny (reflective) and is malleable (meaning it can be reshaped with heat and not too much force or pressure). What is metal in very short get the answers you need, now! A metal is a component, material, or alloy that is usually solid, transparent,. What Is Metal Very Short Answer.
From dewwool.com
Properties of metal worksheet DewWool What Is Metal Very Short Answer Most elements on the periodic table are metals. What is metal in very short get the answers you need, now! A substance with high electrical conductivity, luster, and malleability, which readily loses electrons to form positive ions. A metal is a component, material, or alloy that is usually solid, transparent, shiny, and has good. Something that conducts electricity well, tends. What Is Metal Very Short Answer.
From sciencenotes.org
5 Examples of Metals, Metalloids, and Nonmetals What Is Metal Very Short Answer Something that conducts electricity well, tends to be shiny (reflective) and is malleable (meaning it can be reshaped with heat and not too much force or pressure). A substance with high electrical conductivity, luster, and malleability, which readily loses electrons to form positive ions. A metal is a component, material, or alloy that is usually solid, transparent, shiny, and has. What Is Metal Very Short Answer.
From www.jagranjosh.com
CBSE Class 10 Chemistry Chapter 3 Metals and Non Metals Important What Is Metal Very Short Answer Most elements on the periodic table are metals. Metals are found on the left and in the middle, whereas non. A substance with high electrical conductivity, luster, and malleability, which readily loses electrons to form positive ions. What is metal in very short get the answers you need, now! Something that conducts electricity well, tends to be shiny (reflective) and. What Is Metal Very Short Answer.
From www.youtube.com
METAL AND NON METALS(CHAPTER3)VERY SHORT ANSWER TYPE QUESTIONSS What Is Metal Very Short Answer A metal is a component, material, or alloy that is usually solid, transparent, shiny, and has good. Metals are found on the left and in the middle, whereas non. A substance with high electrical conductivity, luster, and malleability, which readily loses electrons to form positive ions. Something that conducts electricity well, tends to be shiny (reflective) and is malleable (meaning. What Is Metal Very Short Answer.
From edurev.in
What is metal and non metal? EduRev Class 10 Question What Is Metal Very Short Answer Metals are found on the left and in the middle, whereas non. A metal is a component, material, or alloy that is usually solid, transparent, shiny, and has good. What is metal in very short get the answers you need, now! A substance with high electrical conductivity, luster, and malleability, which readily loses electrons to form positive ions. Something that. What Is Metal Very Short Answer.
From kidskonnect.com
Metals Facts & Worksheets Discovery, Charateristics, Uses What Is Metal Very Short Answer Metals are found on the left and in the middle, whereas non. Something that conducts electricity well, tends to be shiny (reflective) and is malleable (meaning it can be reshaped with heat and not too much force or pressure). A substance with high electrical conductivity, luster, and malleability, which readily loses electrons to form positive ions. Most elements on the. What Is Metal Very Short Answer.
From www.youtube.com
Reactivity series of metals class 10 very easy short trick to learn What Is Metal Very Short Answer Most elements on the periodic table are metals. Something that conducts electricity well, tends to be shiny (reflective) and is malleable (meaning it can be reshaped with heat and not too much force or pressure). A metal is a component, material, or alloy that is usually solid, transparent, shiny, and has good. What is metal in very short get the. What Is Metal Very Short Answer.
From learnmech.com
Ferrous and Non Ferrous Metals Interview Question and answers What Is Metal Very Short Answer Something that conducts electricity well, tends to be shiny (reflective) and is malleable (meaning it can be reshaped with heat and not too much force or pressure). Most elements on the periodic table are metals. A substance with high electrical conductivity, luster, and malleability, which readily loses electrons to form positive ions. Metals are found on the left and in. What Is Metal Very Short Answer.
From brainly.in
write three characteristics of metals and non metals Brainly.in What Is Metal Very Short Answer A metal is a component, material, or alloy that is usually solid, transparent, shiny, and has good. A substance with high electrical conductivity, luster, and malleability, which readily loses electrons to form positive ions. Metals are found on the left and in the middle, whereas non. Something that conducts electricity well, tends to be shiny (reflective) and is malleable (meaning. What Is Metal Very Short Answer.
From www.youtube.com
METAL AND NON METALS(CHAPTER3)VERY SHORT ANSWER TYPE QUESTIONSS What Is Metal Very Short Answer What is metal in very short get the answers you need, now! Something that conducts electricity well, tends to be shiny (reflective) and is malleable (meaning it can be reshaped with heat and not too much force or pressure). A substance with high electrical conductivity, luster, and malleability, which readily loses electrons to form positive ions. A metal is a. What Is Metal Very Short Answer.
From tampasteel.com
What Is a Metal Alloy? Metal vs Metal Alloy Difference Tampa Steel What Is Metal Very Short Answer A metal is a component, material, or alloy that is usually solid, transparent, shiny, and has good. A substance with high electrical conductivity, luster, and malleability, which readily loses electrons to form positive ions. What is metal in very short get the answers you need, now! Most elements on the periodic table are metals. Something that conducts electricity well, tends. What Is Metal Very Short Answer.
From www.studocu.com
Metals and Non metals METALS AND NONMETALS VERY SHORT ANSWER TYPE What Is Metal Very Short Answer A metal is a component, material, or alloy that is usually solid, transparent, shiny, and has good. Most elements on the periodic table are metals. What is metal in very short get the answers you need, now! Metals are found on the left and in the middle, whereas non. Something that conducts electricity well, tends to be shiny (reflective) and. What Is Metal Very Short Answer.
From www.learncram.com
MCQ Questions for Class 8 Science Chapter 4 Materials Metals and Non What Is Metal Very Short Answer Something that conducts electricity well, tends to be shiny (reflective) and is malleable (meaning it can be reshaped with heat and not too much force or pressure). Most elements on the periodic table are metals. A substance with high electrical conductivity, luster, and malleability, which readily loses electrons to form positive ions. A metal is a component, material, or alloy. What Is Metal Very Short Answer.
From www.scribd.com
Metals & NonMetals Short Answer Type Questions (L) (2 Marks) Year What Is Metal Very Short Answer Something that conducts electricity well, tends to be shiny (reflective) and is malleable (meaning it can be reshaped with heat and not too much force or pressure). Metals are found on the left and in the middle, whereas non. What is metal in very short get the answers you need, now! A metal is a component, material, or alloy that. What Is Metal Very Short Answer.
From www.gkseries.com
Metals and Nonmetals Short Questions and Answers Metals and Nonmetals What Is Metal Very Short Answer Metals are found on the left and in the middle, whereas non. A metal is a component, material, or alloy that is usually solid, transparent, shiny, and has good. Most elements on the periodic table are metals. What is metal in very short get the answers you need, now! Something that conducts electricity well, tends to be shiny (reflective) and. What Is Metal Very Short Answer.
From www.pw.live
class 8 science chapterMetal and NonMetal Short Notes and Formulas What Is Metal Very Short Answer A metal is a component, material, or alloy that is usually solid, transparent, shiny, and has good. What is metal in very short get the answers you need, now! Most elements on the periodic table are metals. A substance with high electrical conductivity, luster, and malleability, which readily loses electrons to form positive ions. Something that conducts electricity well, tends. What Is Metal Very Short Answer.
From byjus.com
Is their any trick for learning reactivity series of metal What Is Metal Very Short Answer Metals are found on the left and in the middle, whereas non. Most elements on the periodic table are metals. Something that conducts electricity well, tends to be shiny (reflective) and is malleable (meaning it can be reshaped with heat and not too much force or pressure). A metal is a component, material, or alloy that is usually solid, transparent,. What Is Metal Very Short Answer.
From worksheetpic101.s3.amazonaws.com
properties of metals and nonmetals worksheet What Is Metal Very Short Answer What is metal in very short get the answers you need, now! A metal is a component, material, or alloy that is usually solid, transparent, shiny, and has good. Something that conducts electricity well, tends to be shiny (reflective) and is malleable (meaning it can be reshaped with heat and not too much force or pressure). A substance with high. What Is Metal Very Short Answer.