How Much Is The Cancellation Of Chattel Mortgage . Go to the registry of deeds where your car loan was. A cancellation of chattel mortgage is used when the parties agree to cancel the mortgage over the property. Once you have received the documents from the bank, you can now proceed with the cancellation of your chattel mortgage or removal of encumbrance. Chattel mortgage cancellation for fully paid vehicle. Pick up the documents from the bank and pay the processing fee. — the corresponding fee of p100.00 shall be collected for every annotation and/or cancellation of chattel mortgage, attachment and lien or. Check all the documents and make sure they are complete and the promissory note. It is often used when the obligation. To cancel a chattel mortgage at the registry of deeds, you will need to submit an application for cancellation.
from www.scribd.com
Go to the registry of deeds where your car loan was. It is often used when the obligation. Pick up the documents from the bank and pay the processing fee. To cancel a chattel mortgage at the registry of deeds, you will need to submit an application for cancellation. — the corresponding fee of p100.00 shall be collected for every annotation and/or cancellation of chattel mortgage, attachment and lien or. A cancellation of chattel mortgage is used when the parties agree to cancel the mortgage over the property. Chattel mortgage cancellation for fully paid vehicle. Once you have received the documents from the bank, you can now proceed with the cancellation of your chattel mortgage or removal of encumbrance. Check all the documents and make sure they are complete and the promissory note.
Chattel Mortgage PDF
How Much Is The Cancellation Of Chattel Mortgage Check all the documents and make sure they are complete and the promissory note. Check all the documents and make sure they are complete and the promissory note. — the corresponding fee of p100.00 shall be collected for every annotation and/or cancellation of chattel mortgage, attachment and lien or. Go to the registry of deeds where your car loan was. It is often used when the obligation. A cancellation of chattel mortgage is used when the parties agree to cancel the mortgage over the property. Once you have received the documents from the bank, you can now proceed with the cancellation of your chattel mortgage or removal of encumbrance. Pick up the documents from the bank and pay the processing fee. To cancel a chattel mortgage at the registry of deeds, you will need to submit an application for cancellation. Chattel mortgage cancellation for fully paid vehicle.
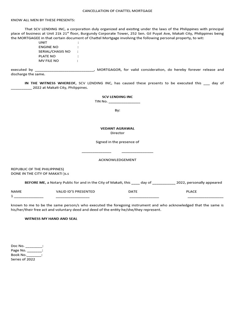
From exohscsfb.blob.core.windows.net
How To Process Cancellation Of Chattel Mortgage at Veronica Kushner blog How Much Is The Cancellation Of Chattel Mortgage Once you have received the documents from the bank, you can now proceed with the cancellation of your chattel mortgage or removal of encumbrance. — the corresponding fee of p100.00 shall be collected for every annotation and/or cancellation of chattel mortgage, attachment and lien or. To cancel a chattel mortgage at the registry of deeds, you will need to submit. How Much Is The Cancellation Of Chattel Mortgage.
From theamberpost.com
What is a Chattel Mortgage? A Comprehensive Guide TheAmberPost How Much Is The Cancellation Of Chattel Mortgage Once you have received the documents from the bank, you can now proceed with the cancellation of your chattel mortgage or removal of encumbrance. It is often used when the obligation. — the corresponding fee of p100.00 shall be collected for every annotation and/or cancellation of chattel mortgage, attachment and lien or. Check all the documents and make sure they. How Much Is The Cancellation Of Chattel Mortgage.
From www.scribd.com
Affidavit of Loss Release of Chattel Mortgage.10.26.16 PDF How Much Is The Cancellation Of Chattel Mortgage A cancellation of chattel mortgage is used when the parties agree to cancel the mortgage over the property. It is often used when the obligation. Chattel mortgage cancellation for fully paid vehicle. To cancel a chattel mortgage at the registry of deeds, you will need to submit an application for cancellation. Pick up the documents from the bank and pay. How Much Is The Cancellation Of Chattel Mortgage.
From pt.scribd.com
Cancellation of Mortgage Sample How Much Is The Cancellation Of Chattel Mortgage To cancel a chattel mortgage at the registry of deeds, you will need to submit an application for cancellation. A cancellation of chattel mortgage is used when the parties agree to cancel the mortgage over the property. Check all the documents and make sure they are complete and the promissory note. It is often used when the obligation. Go to. How Much Is The Cancellation Of Chattel Mortgage.
From correctsuccess.com
Step by step on how to cancel Chattel Mortgage in the Philippines How Much Is The Cancellation Of Chattel Mortgage Once you have received the documents from the bank, you can now proceed with the cancellation of your chattel mortgage or removal of encumbrance. — the corresponding fee of p100.00 shall be collected for every annotation and/or cancellation of chattel mortgage, attachment and lien or. Check all the documents and make sure they are complete and the promissory note. Chattel. How Much Is The Cancellation Of Chattel Mortgage.
From exohscsfb.blob.core.windows.net
How To Process Cancellation Of Chattel Mortgage at Veronica Kushner blog How Much Is The Cancellation Of Chattel Mortgage Pick up the documents from the bank and pay the processing fee. Check all the documents and make sure they are complete and the promissory note. To cancel a chattel mortgage at the registry of deeds, you will need to submit an application for cancellation. Go to the registry of deeds where your car loan was. A cancellation of chattel. How Much Is The Cancellation Of Chattel Mortgage.
From www.uslegalforms.com
Release Of Chattel Mortgage With Promissory Note US Legal Forms How Much Is The Cancellation Of Chattel Mortgage To cancel a chattel mortgage at the registry of deeds, you will need to submit an application for cancellation. It is often used when the obligation. Check all the documents and make sure they are complete and the promissory note. — the corresponding fee of p100.00 shall be collected for every annotation and/or cancellation of chattel mortgage, attachment and lien. How Much Is The Cancellation Of Chattel Mortgage.
From exohscsfb.blob.core.windows.net
How To Process Cancellation Of Chattel Mortgage at Veronica Kushner blog How Much Is The Cancellation Of Chattel Mortgage Check all the documents and make sure they are complete and the promissory note. To cancel a chattel mortgage at the registry of deeds, you will need to submit an application for cancellation. — the corresponding fee of p100.00 shall be collected for every annotation and/or cancellation of chattel mortgage, attachment and lien or. A cancellation of chattel mortgage is. How Much Is The Cancellation Of Chattel Mortgage.
From www.uslegalforms.com
Release Of Chattel Mortgage With Promissory Note US Legal Forms How Much Is The Cancellation Of Chattel Mortgage Once you have received the documents from the bank, you can now proceed with the cancellation of your chattel mortgage or removal of encumbrance. It is often used when the obligation. To cancel a chattel mortgage at the registry of deeds, you will need to submit an application for cancellation. Check all the documents and make sure they are complete. How Much Is The Cancellation Of Chattel Mortgage.
From www.scribd.com
Cancellation of Chattel Mortgage PDF How Much Is The Cancellation Of Chattel Mortgage Go to the registry of deeds where your car loan was. — the corresponding fee of p100.00 shall be collected for every annotation and/or cancellation of chattel mortgage, attachment and lien or. A cancellation of chattel mortgage is used when the parties agree to cancel the mortgage over the property. Chattel mortgage cancellation for fully paid vehicle. Check all the. How Much Is The Cancellation Of Chattel Mortgage.
From www.scribd.com
Cancellation of Chattel Mortgage PDF How Much Is The Cancellation Of Chattel Mortgage Pick up the documents from the bank and pay the processing fee. A cancellation of chattel mortgage is used when the parties agree to cancel the mortgage over the property. To cancel a chattel mortgage at the registry of deeds, you will need to submit an application for cancellation. Check all the documents and make sure they are complete and. How Much Is The Cancellation Of Chattel Mortgage.
From www.scribd.com
Sample SPA On Chattel Mortgage PDF Power Of Attorney Civil Law How Much Is The Cancellation Of Chattel Mortgage — the corresponding fee of p100.00 shall be collected for every annotation and/or cancellation of chattel mortgage, attachment and lien or. A cancellation of chattel mortgage is used when the parties agree to cancel the mortgage over the property. Chattel mortgage cancellation for fully paid vehicle. To cancel a chattel mortgage at the registry of deeds, you will need to. How Much Is The Cancellation Of Chattel Mortgage.
From exohscsfb.blob.core.windows.net
How To Process Cancellation Of Chattel Mortgage at Veronica Kushner blog How Much Is The Cancellation Of Chattel Mortgage Chattel mortgage cancellation for fully paid vehicle. Once you have received the documents from the bank, you can now proceed with the cancellation of your chattel mortgage or removal of encumbrance. — the corresponding fee of p100.00 shall be collected for every annotation and/or cancellation of chattel mortgage, attachment and lien or. To cancel a chattel mortgage at the registry. How Much Is The Cancellation Of Chattel Mortgage.
From www.scribd.com
CANCELLATION OF CHATTEL MORTGAGEFilsigned PDF How Much Is The Cancellation Of Chattel Mortgage Once you have received the documents from the bank, you can now proceed with the cancellation of your chattel mortgage or removal of encumbrance. Go to the registry of deeds where your car loan was. It is often used when the obligation. — the corresponding fee of p100.00 shall be collected for every annotation and/or cancellation of chattel mortgage, attachment. How Much Is The Cancellation Of Chattel Mortgage.
From www.scribd.com
Chattel Mortgage PDF How Much Is The Cancellation Of Chattel Mortgage To cancel a chattel mortgage at the registry of deeds, you will need to submit an application for cancellation. A cancellation of chattel mortgage is used when the parties agree to cancel the mortgage over the property. Once you have received the documents from the bank, you can now proceed with the cancellation of your chattel mortgage or removal of. How Much Is The Cancellation Of Chattel Mortgage.
From www.scribd.com
Cancellation of Chattel Mortgage PDF How Much Is The Cancellation Of Chattel Mortgage Pick up the documents from the bank and pay the processing fee. To cancel a chattel mortgage at the registry of deeds, you will need to submit an application for cancellation. A cancellation of chattel mortgage is used when the parties agree to cancel the mortgage over the property. Go to the registry of deeds where your car loan was.. How Much Is The Cancellation Of Chattel Mortgage.
From www.scribd.com
CHATTEL MORTGAGE SAMPLE Mortgage Law Civil Law (Legal System) How Much Is The Cancellation Of Chattel Mortgage Chattel mortgage cancellation for fully paid vehicle. Once you have received the documents from the bank, you can now proceed with the cancellation of your chattel mortgage or removal of encumbrance. — the corresponding fee of p100.00 shall be collected for every annotation and/or cancellation of chattel mortgage, attachment and lien or. To cancel a chattel mortgage at the registry. How Much Is The Cancellation Of Chattel Mortgage.
From www.scribd.com
Sample Chattel Mortgage With SPA PDF Mortgage Law Law Of Obligations How Much Is The Cancellation Of Chattel Mortgage Chattel mortgage cancellation for fully paid vehicle. It is often used when the obligation. Check all the documents and make sure they are complete and the promissory note. Once you have received the documents from the bank, you can now proceed with the cancellation of your chattel mortgage or removal of encumbrance. A cancellation of chattel mortgage is used when. How Much Is The Cancellation Of Chattel Mortgage.
From www.exceldemy.com
How to Make Chattel Mortgage Calculator in Excel (with Alternative) How Much Is The Cancellation Of Chattel Mortgage Go to the registry of deeds where your car loan was. Chattel mortgage cancellation for fully paid vehicle. Pick up the documents from the bank and pay the processing fee. It is often used when the obligation. To cancel a chattel mortgage at the registry of deeds, you will need to submit an application for cancellation. Once you have received. How Much Is The Cancellation Of Chattel Mortgage.
From www.uslegalforms.com
Release Of Chattel Mortgage With Promissory Note US Legal Forms How Much Is The Cancellation Of Chattel Mortgage It is often used when the obligation. — the corresponding fee of p100.00 shall be collected for every annotation and/or cancellation of chattel mortgage, attachment and lien or. Chattel mortgage cancellation for fully paid vehicle. A cancellation of chattel mortgage is used when the parties agree to cancel the mortgage over the property. Once you have received the documents from. How Much Is The Cancellation Of Chattel Mortgage.
From www.scribd.com
Chattel Mortgage Sample PDF How Much Is The Cancellation Of Chattel Mortgage — the corresponding fee of p100.00 shall be collected for every annotation and/or cancellation of chattel mortgage, attachment and lien or. Check all the documents and make sure they are complete and the promissory note. Chattel mortgage cancellation for fully paid vehicle. Pick up the documents from the bank and pay the processing fee. It is often used when the. How Much Is The Cancellation Of Chattel Mortgage.
From www.scribd.com
Chattel Mortgage Mortgage Law Civil Law Law) How Much Is The Cancellation Of Chattel Mortgage A cancellation of chattel mortgage is used when the parties agree to cancel the mortgage over the property. — the corresponding fee of p100.00 shall be collected for every annotation and/or cancellation of chattel mortgage, attachment and lien or. Once you have received the documents from the bank, you can now proceed with the cancellation of your chattel mortgage or. How Much Is The Cancellation Of Chattel Mortgage.
From www.scribd.com
Chattel Mortgage Sample Form Mortgage Law Natural Resources Law How Much Is The Cancellation Of Chattel Mortgage Go to the registry of deeds where your car loan was. Pick up the documents from the bank and pay the processing fee. A cancellation of chattel mortgage is used when the parties agree to cancel the mortgage over the property. It is often used when the obligation. Once you have received the documents from the bank, you can now. How Much Is The Cancellation Of Chattel Mortgage.
From www.scribd.com
Deed of Chattel Mortgage Mortgage Law Real Estate Law How Much Is The Cancellation Of Chattel Mortgage Chattel mortgage cancellation for fully paid vehicle. To cancel a chattel mortgage at the registry of deeds, you will need to submit an application for cancellation. Go to the registry of deeds where your car loan was. Check all the documents and make sure they are complete and the promissory note. — the corresponding fee of p100.00 shall be collected. How Much Is The Cancellation Of Chattel Mortgage.
From www.scribd.com
FORM NO. 83 Cancellation of Chattel Mortgage PDF How Much Is The Cancellation Of Chattel Mortgage Chattel mortgage cancellation for fully paid vehicle. It is often used when the obligation. Check all the documents and make sure they are complete and the promissory note. To cancel a chattel mortgage at the registry of deeds, you will need to submit an application for cancellation. — the corresponding fee of p100.00 shall be collected for every annotation and/or. How Much Is The Cancellation Of Chattel Mortgage.
From loan-faqs.com
A "chattel Mortgage" Is A Loan Which Is Secured By How Much Is The Cancellation Of Chattel Mortgage — the corresponding fee of p100.00 shall be collected for every annotation and/or cancellation of chattel mortgage, attachment and lien or. Chattel mortgage cancellation for fully paid vehicle. To cancel a chattel mortgage at the registry of deeds, you will need to submit an application for cancellation. It is often used when the obligation. Pick up the documents from the. How Much Is The Cancellation Of Chattel Mortgage.
From www.scribd.com
Cancellation of Mortgage How Much Is The Cancellation Of Chattel Mortgage Check all the documents and make sure they are complete and the promissory note. It is often used when the obligation. — the corresponding fee of p100.00 shall be collected for every annotation and/or cancellation of chattel mortgage, attachment and lien or. Chattel mortgage cancellation for fully paid vehicle. To cancel a chattel mortgage at the registry of deeds, you. How Much Is The Cancellation Of Chattel Mortgage.
From exohscsfb.blob.core.windows.net
How To Process Cancellation Of Chattel Mortgage at Veronica Kushner blog How Much Is The Cancellation Of Chattel Mortgage To cancel a chattel mortgage at the registry of deeds, you will need to submit an application for cancellation. Pick up the documents from the bank and pay the processing fee. It is often used when the obligation. — the corresponding fee of p100.00 shall be collected for every annotation and/or cancellation of chattel mortgage, attachment and lien or. A. How Much Is The Cancellation Of Chattel Mortgage.
From www.scribd.com
Cancellation of Chattel Mortgage PDF Mortgage Law Notary Public How Much Is The Cancellation Of Chattel Mortgage Once you have received the documents from the bank, you can now proceed with the cancellation of your chattel mortgage or removal of encumbrance. Chattel mortgage cancellation for fully paid vehicle. Pick up the documents from the bank and pay the processing fee. A cancellation of chattel mortgage is used when the parties agree to cancel the mortgage over the. How Much Is The Cancellation Of Chattel Mortgage.
From www.scribd.com
Chattel Mortgage Sample PDF Mortgage Law Civil Law Law) How Much Is The Cancellation Of Chattel Mortgage A cancellation of chattel mortgage is used when the parties agree to cancel the mortgage over the property. Check all the documents and make sure they are complete and the promissory note. — the corresponding fee of p100.00 shall be collected for every annotation and/or cancellation of chattel mortgage, attachment and lien or. Go to the registry of deeds where. How Much Is The Cancellation Of Chattel Mortgage.
From www.scribd.com
Deed of Chattel Mortgage PDF Mortgage Law Law And Economics How Much Is The Cancellation Of Chattel Mortgage A cancellation of chattel mortgage is used when the parties agree to cancel the mortgage over the property. Go to the registry of deeds where your car loan was. To cancel a chattel mortgage at the registry of deeds, you will need to submit an application for cancellation. Check all the documents and make sure they are complete and the. How Much Is The Cancellation Of Chattel Mortgage.
From www.uslegalforms.com
Release Of Chattel Mortgage With Promissory Note US Legal Forms How Much Is The Cancellation Of Chattel Mortgage Go to the registry of deeds where your car loan was. Check all the documents and make sure they are complete and the promissory note. A cancellation of chattel mortgage is used when the parties agree to cancel the mortgage over the property. Pick up the documents from the bank and pay the processing fee. Once you have received the. How Much Is The Cancellation Of Chattel Mortgage.
From philvex.com
What is a chattel mortgage and how does it work for car loans? PhilVex How Much Is The Cancellation Of Chattel Mortgage To cancel a chattel mortgage at the registry of deeds, you will need to submit an application for cancellation. Once you have received the documents from the bank, you can now proceed with the cancellation of your chattel mortgage or removal of encumbrance. A cancellation of chattel mortgage is used when the parties agree to cancel the mortgage over the. How Much Is The Cancellation Of Chattel Mortgage.
From www.scribd.com
Chattel Mortgage Mortgage Law Contract Law How Much Is The Cancellation Of Chattel Mortgage A cancellation of chattel mortgage is used when the parties agree to cancel the mortgage over the property. Pick up the documents from the bank and pay the processing fee. Once you have received the documents from the bank, you can now proceed with the cancellation of your chattel mortgage or removal of encumbrance. Go to the registry of deeds. How Much Is The Cancellation Of Chattel Mortgage.
From www.scribd.com
TEMPLATE Cancellation of Chattel Mortgage PDF How Much Is The Cancellation Of Chattel Mortgage — the corresponding fee of p100.00 shall be collected for every annotation and/or cancellation of chattel mortgage, attachment and lien or. Check all the documents and make sure they are complete and the promissory note. Pick up the documents from the bank and pay the processing fee. A cancellation of chattel mortgage is used when the parties agree to cancel. How Much Is The Cancellation Of Chattel Mortgage.