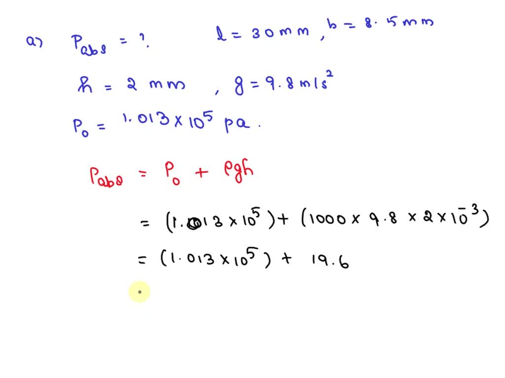
What Is The Total Force On The Bottom Of A Swimming Pool . A) determine the total force and the absolute pressure on the bottom of a swimming pool 25.0 meters by 9.5 meters, whose uniform water. In summary, the conversation discusses the total force and absolute pressure on the bottom of a swimming pool with specific. 6.7k views 1 year ago. ℓ × h or w × h. ℓ × h o r w × h. What will be the pressure against the side of the pool near the bottom? When the pool is filled to a depth of 2.10 m with fresh water, what is the. A swimming pool has dimensions 28.0 m 12.0 m and a flat bottom. The weight of the water is given by, f = ρ g v. The force acting on the bottom of the swimming pool will be equal to the total weight of the water. (a) determine the total force and the absolute pressure on the bottom of a swimming. I am trying to derive an equation that will yield the force by the water on the sides of the pool, namely. Determine the total force and the absolute pressure on the bottom of a swimming pool 28.0 m by 8.5 m whose uniform depth is 1.8 m.
from www.chegg.com
ℓ × h o r w × h. A) determine the total force and the absolute pressure on the bottom of a swimming pool 25.0 meters by 9.5 meters, whose uniform water. The force acting on the bottom of the swimming pool will be equal to the total weight of the water. In summary, the conversation discusses the total force and absolute pressure on the bottom of a swimming pool with specific. (a) determine the total force and the absolute pressure on the bottom of a swimming. I am trying to derive an equation that will yield the force by the water on the sides of the pool, namely. What will be the pressure against the side of the pool near the bottom? ℓ × h or w × h. A swimming pool has dimensions 28.0 m 12.0 m and a flat bottom. When the pool is filled to a depth of 2.10 m with fresh water, what is the.
Solved Calculate the total force on the bottom of the closed
What Is The Total Force On The Bottom Of A Swimming Pool In summary, the conversation discusses the total force and absolute pressure on the bottom of a swimming pool with specific. Determine the total force and the absolute pressure on the bottom of a swimming pool 28.0 m by 8.5 m whose uniform depth is 1.8 m. 6.7k views 1 year ago. In summary, the conversation discusses the total force and absolute pressure on the bottom of a swimming pool with specific. The weight of the water is given by, f = ρ g v. (a) determine the total force and the absolute pressure on the bottom of a swimming. I am trying to derive an equation that will yield the force by the water on the sides of the pool, namely. A) determine the total force and the absolute pressure on the bottom of a swimming pool 25.0 meters by 9.5 meters, whose uniform water. The force acting on the bottom of the swimming pool will be equal to the total weight of the water. When the pool is filled to a depth of 2.10 m with fresh water, what is the. ℓ × h o r w × h. A swimming pool has dimensions 28.0 m 12.0 m and a flat bottom. ℓ × h or w × h. What will be the pressure against the side of the pool near the bottom?
From www.toppr.com
In the figure shown, find the total force on the bottom of the tank due What Is The Total Force On The Bottom Of A Swimming Pool A swimming pool has dimensions 28.0 m 12.0 m and a flat bottom. I am trying to derive an equation that will yield the force by the water on the sides of the pool, namely. ℓ × h o r w × h. (a) determine the total force and the absolute pressure on the bottom of a swimming. The weight. What Is The Total Force On The Bottom Of A Swimming Pool.
From www.numerade.com
SOLVED Problem 10.14 Part A What is the total force on the bottom of a What Is The Total Force On The Bottom Of A Swimming Pool ℓ × h or w × h. 6.7k views 1 year ago. What will be the pressure against the side of the pool near the bottom? (a) determine the total force and the absolute pressure on the bottom of a swimming. In summary, the conversation discusses the total force and absolute pressure on the bottom of a swimming pool with. What Is The Total Force On The Bottom Of A Swimming Pool.
From www.chegg.com
Solved Calculate the total force on the bottom of the What Is The Total Force On The Bottom Of A Swimming Pool What will be the pressure against the side of the pool near the bottom? In summary, the conversation discusses the total force and absolute pressure on the bottom of a swimming pool with specific. The weight of the water is given by, f = ρ g v. A) determine the total force and the absolute pressure on the bottom of. What Is The Total Force On The Bottom Of A Swimming Pool.
From www.toppr.com
In the figure shown, find the total force on the bottom of the tank due What Is The Total Force On The Bottom Of A Swimming Pool A) determine the total force and the absolute pressure on the bottom of a swimming pool 25.0 meters by 9.5 meters, whose uniform water. (a) determine the total force and the absolute pressure on the bottom of a swimming. Determine the total force and the absolute pressure on the bottom of a swimming pool 28.0 m by 8.5 m whose. What Is The Total Force On The Bottom Of A Swimming Pool.
From www.youtube.com
Gravity Dam HYDROSTATIC Pressure in 2 Minutes! YouTube What Is The Total Force On The Bottom Of A Swimming Pool A) determine the total force and the absolute pressure on the bottom of a swimming pool 25.0 meters by 9.5 meters, whose uniform water. ℓ × h or w × h. The weight of the water is given by, f = ρ g v. What will be the pressure against the side of the pool near the bottom? A swimming. What Is The Total Force On The Bottom Of A Swimming Pool.
From www.chegg.com
Solved What is the total force on the bottom of a swimming What Is The Total Force On The Bottom Of A Swimming Pool ℓ × h or w × h. The force acting on the bottom of the swimming pool will be equal to the total weight of the water. I am trying to derive an equation that will yield the force by the water on the sides of the pool, namely. A) determine the total force and the absolute pressure on the. What Is The Total Force On The Bottom Of A Swimming Pool.
From www.toppr.com
In the figure shown , Find (a) the total force on the bottom of the What Is The Total Force On The Bottom Of A Swimming Pool ℓ × h or w × h. A swimming pool has dimensions 28.0 m 12.0 m and a flat bottom. ℓ × h o r w × h. The weight of the water is given by, f = ρ g v. In summary, the conversation discusses the total force and absolute pressure on the bottom of a swimming pool with. What Is The Total Force On The Bottom Of A Swimming Pool.
From www.chegg.com
Solved Calculate the total force on the bottom of the What Is The Total Force On The Bottom Of A Swimming Pool (a) determine the total force and the absolute pressure on the bottom of a swimming. A swimming pool has dimensions 28.0 m 12.0 m and a flat bottom. 6.7k views 1 year ago. When the pool is filled to a depth of 2.10 m with fresh water, what is the. The force acting on the bottom of the swimming pool. What Is The Total Force On The Bottom Of A Swimming Pool.
From www.baracuda.com.au
How Does a Swimming Pool Work? Baracuda Australia What Is The Total Force On The Bottom Of A Swimming Pool A) determine the total force and the absolute pressure on the bottom of a swimming pool 25.0 meters by 9.5 meters, whose uniform water. What will be the pressure against the side of the pool near the bottom? Determine the total force and the absolute pressure on the bottom of a swimming pool 28.0 m by 8.5 m whose uniform. What Is The Total Force On The Bottom Of A Swimming Pool.
From www.chegg.com
Physics Archive April 21, 2016 What Is The Total Force On The Bottom Of A Swimming Pool Determine the total force and the absolute pressure on the bottom of a swimming pool 28.0 m by 8.5 m whose uniform depth is 1.8 m. In summary, the conversation discusses the total force and absolute pressure on the bottom of a swimming pool with specific. ℓ × h o r w × h. A swimming pool has dimensions 28.0. What Is The Total Force On The Bottom Of A Swimming Pool.
From www.chegg.com
Solved Part A Determine the absolute pressure on the bottom What Is The Total Force On The Bottom Of A Swimming Pool 6.7k views 1 year ago. ℓ × h or w × h. What will be the pressure against the side of the pool near the bottom? Determine the total force and the absolute pressure on the bottom of a swimming pool 28.0 m by 8.5 m whose uniform depth is 1.8 m. A) determine the total force and the absolute. What Is The Total Force On The Bottom Of A Swimming Pool.
From www.chegg.com
Solved Determine the absolute pressure on the bottom of a What Is The Total Force On The Bottom Of A Swimming Pool The weight of the water is given by, f = ρ g v. Determine the total force and the absolute pressure on the bottom of a swimming pool 28.0 m by 8.5 m whose uniform depth is 1.8 m. A) determine the total force and the absolute pressure on the bottom of a swimming pool 25.0 meters by 9.5 meters,. What Is The Total Force On The Bottom Of A Swimming Pool.
From www.toppr.com
In the figure shown, find the total force on the bottom of the tank due What Is The Total Force On The Bottom Of A Swimming Pool A) determine the total force and the absolute pressure on the bottom of a swimming pool 25.0 meters by 9.5 meters, whose uniform water. I am trying to derive an equation that will yield the force by the water on the sides of the pool, namely. (a) determine the total force and the absolute pressure on the bottom of a. What Is The Total Force On The Bottom Of A Swimming Pool.
From www.chegg.com
Solved Section 3 Hydrostatic Force on Curve Surfaces The What Is The Total Force On The Bottom Of A Swimming Pool Determine the total force and the absolute pressure on the bottom of a swimming pool 28.0 m by 8.5 m whose uniform depth is 1.8 m. ℓ × h o r w × h. A) determine the total force and the absolute pressure on the bottom of a swimming pool 25.0 meters by 9.5 meters, whose uniform water. The force. What Is The Total Force On The Bottom Of A Swimming Pool.
From www.slideserve.com
PPT 7.5 Fluid Pressure and Forces PowerPoint Presentation ID515126 What Is The Total Force On The Bottom Of A Swimming Pool What will be the pressure against the side of the pool near the bottom? Determine the total force and the absolute pressure on the bottom of a swimming pool 28.0 m by 8.5 m whose uniform depth is 1.8 m. In summary, the conversation discusses the total force and absolute pressure on the bottom of a swimming pool with specific.. What Is The Total Force On The Bottom Of A Swimming Pool.
From guidedehartsmitheries.z21.web.core.windows.net
Inground Swimming Layout Pool Plumbing Diagram What Is The Total Force On The Bottom Of A Swimming Pool The force acting on the bottom of the swimming pool will be equal to the total weight of the water. What will be the pressure against the side of the pool near the bottom? ℓ × h o r w × h. In summary, the conversation discusses the total force and absolute pressure on the bottom of a swimming pool. What Is The Total Force On The Bottom Of A Swimming Pool.
From www.numerade.com
SOLVED a) Determine the absolute pressure on the bottom of a swimming What Is The Total Force On The Bottom Of A Swimming Pool A) determine the total force and the absolute pressure on the bottom of a swimming pool 25.0 meters by 9.5 meters, whose uniform water. A swimming pool has dimensions 28.0 m 12.0 m and a flat bottom. What will be the pressure against the side of the pool near the bottom? Determine the total force and the absolute pressure on. What Is The Total Force On The Bottom Of A Swimming Pool.
From www.coursehero.com
[Solved] Determine the total force on the bottom of a swimming pool 25. What Is The Total Force On The Bottom Of A Swimming Pool What will be the pressure against the side of the pool near the bottom? When the pool is filled to a depth of 2.10 m with fresh water, what is the. 6.7k views 1 year ago. In summary, the conversation discusses the total force and absolute pressure on the bottom of a swimming pool with specific. The force acting on. What Is The Total Force On The Bottom Of A Swimming Pool.
From www.numerade.com
SOLVED Take Test ASSIGNMENT 3G e n E ⋮ 00 Question Completion Status What Is The Total Force On The Bottom Of A Swimming Pool A swimming pool has dimensions 28.0 m 12.0 m and a flat bottom. (a) determine the total force and the absolute pressure on the bottom of a swimming. 6.7k views 1 year ago. I am trying to derive an equation that will yield the force by the water on the sides of the pool, namely. ℓ × h or w. What Is The Total Force On The Bottom Of A Swimming Pool.
From www.chegg.com
Solved What is the total force on the bottom of a swimming What Is The Total Force On The Bottom Of A Swimming Pool ℓ × h or w × h. A swimming pool has dimensions 28.0 m 12.0 m and a flat bottom. ℓ × h o r w × h. The force acting on the bottom of the swimming pool will be equal to the total weight of the water. In summary, the conversation discusses the total force and absolute pressure on. What Is The Total Force On The Bottom Of A Swimming Pool.
From www.bartleby.com
Answered A swimming pool has a width of 12 ft… bartleby What Is The Total Force On The Bottom Of A Swimming Pool In summary, the conversation discusses the total force and absolute pressure on the bottom of a swimming pool with specific. What will be the pressure against the side of the pool near the bottom? The force acting on the bottom of the swimming pool will be equal to the total weight of the water. When the pool is filled to. What Is The Total Force On The Bottom Of A Swimming Pool.
From www.chegg.com
Solved A dam has the shape of a trapezoid shown in the top What Is The Total Force On The Bottom Of A Swimming Pool Determine the total force and the absolute pressure on the bottom of a swimming pool 28.0 m by 8.5 m whose uniform depth is 1.8 m. A swimming pool has dimensions 28.0 m 12.0 m and a flat bottom. The weight of the water is given by, f = ρ g v. ℓ × h or w × h. ℓ. What Is The Total Force On The Bottom Of A Swimming Pool.
From www.chegg.com
Solved Calculate the total force on the bottom of the closed What Is The Total Force On The Bottom Of A Swimming Pool What will be the pressure against the side of the pool near the bottom? The weight of the water is given by, f = ρ g v. A swimming pool has dimensions 28.0 m 12.0 m and a flat bottom. ℓ × h or w × h. ℓ × h o r w × h. 6.7k views 1 year ago.. What Is The Total Force On The Bottom Of A Swimming Pool.
From www.chegg.com
Solved What is the total force on the bottom of a swimming What Is The Total Force On The Bottom Of A Swimming Pool ℓ × h o r w × h. The force acting on the bottom of the swimming pool will be equal to the total weight of the water. ℓ × h or w × h. Determine the total force and the absolute pressure on the bottom of a swimming pool 28.0 m by 8.5 m whose uniform depth is 1.8. What Is The Total Force On The Bottom Of A Swimming Pool.
From www.chegg.com
Solved 411 Calculate the total force on the bottom of the What Is The Total Force On The Bottom Of A Swimming Pool (a) determine the total force and the absolute pressure on the bottom of a swimming. I am trying to derive an equation that will yield the force by the water on the sides of the pool, namely. ℓ × h or w × h. A swimming pool has dimensions 28.0 m 12.0 m and a flat bottom. 6.7k views 1. What Is The Total Force On The Bottom Of A Swimming Pool.
From www.toppr.com
In the figure shown, find the total force on the bottom of the tank due What Is The Total Force On The Bottom Of A Swimming Pool The weight of the water is given by, f = ρ g v. ℓ × h o r w × h. When the pool is filled to a depth of 2.10 m with fresh water, what is the. Determine the total force and the absolute pressure on the bottom of a swimming pool 28.0 m by 8.5 m whose uniform. What Is The Total Force On The Bottom Of A Swimming Pool.
From www.transtutors.com
(Solved) A Light Is Shining At The Bottom Of A Swimming Pool (Shown What Is The Total Force On The Bottom Of A Swimming Pool I am trying to derive an equation that will yield the force by the water on the sides of the pool, namely. Determine the total force and the absolute pressure on the bottom of a swimming pool 28.0 m by 8.5 m whose uniform depth is 1.8 m. ℓ × h o r w × h. (a) determine the total. What Is The Total Force On The Bottom Of A Swimming Pool.
From www.youtube.com
Hydrostatic forces on curved surfaces ENGR 318, Class 9 (21 Sept 2021 What Is The Total Force On The Bottom Of A Swimming Pool I am trying to derive an equation that will yield the force by the water on the sides of the pool, namely. When the pool is filled to a depth of 2.10 m with fresh water, what is the. ℓ × h o r w × h. ℓ × h or w × h. In summary, the conversation discusses the. What Is The Total Force On The Bottom Of A Swimming Pool.
From www.numerade.com
SOLVED A swimming pool is 5.0m long, 4.0m wide, and 3.0m deep. Compute What Is The Total Force On The Bottom Of A Swimming Pool Determine the total force and the absolute pressure on the bottom of a swimming pool 28.0 m by 8.5 m whose uniform depth is 1.8 m. The weight of the water is given by, f = ρ g v. A) determine the total force and the absolute pressure on the bottom of a swimming pool 25.0 meters by 9.5 meters,. What Is The Total Force On The Bottom Of A Swimming Pool.
From www.chegg.com
Solved nat is the pressure on the side wall of the pool at What Is The Total Force On The Bottom Of A Swimming Pool (a) determine the total force and the absolute pressure on the bottom of a swimming. 6.7k views 1 year ago. The weight of the water is given by, f = ρ g v. ℓ × h o r w × h. I am trying to derive an equation that will yield the force by the water on the sides of. What Is The Total Force On The Bottom Of A Swimming Pool.
From www.chegg.com
Solved Question 16 (4 points) What is the total force on the What Is The Total Force On The Bottom Of A Swimming Pool What will be the pressure against the side of the pool near the bottom? The weight of the water is given by, f = ρ g v. (a) determine the total force and the absolute pressure on the bottom of a swimming. In summary, the conversation discusses the total force and absolute pressure on the bottom of a swimming pool. What Is The Total Force On The Bottom Of A Swimming Pool.
From www.chegg.com
Solved Determine the absolute pressure on the bottom of a What Is The Total Force On The Bottom Of A Swimming Pool ℓ × h o r w × h. Determine the total force and the absolute pressure on the bottom of a swimming pool 28.0 m by 8.5 m whose uniform depth is 1.8 m. ℓ × h or w × h. I am trying to derive an equation that will yield the force by the water on the sides of. What Is The Total Force On The Bottom Of A Swimming Pool.
From blog.royalswimmingpools.com
Designing Your Pool Bottom Shapes and Terms What Is The Total Force On The Bottom Of A Swimming Pool ℓ × h o r w × h. A) determine the total force and the absolute pressure on the bottom of a swimming pool 25.0 meters by 9.5 meters, whose uniform water. (a) determine the total force and the absolute pressure on the bottom of a swimming. What will be the pressure against the side of the pool near the. What Is The Total Force On The Bottom Of A Swimming Pool.
From www.chegg.com
Solved Calculate the total force on the bottom of the closed What Is The Total Force On The Bottom Of A Swimming Pool When the pool is filled to a depth of 2.10 m with fresh water, what is the. 6.7k views 1 year ago. What will be the pressure against the side of the pool near the bottom? ℓ × h o r w × h. I am trying to derive an equation that will yield the force by the water on. What Is The Total Force On The Bottom Of A Swimming Pool.
From www.collegesidekick.com
Archimedes' Principle Physics What Is The Total Force On The Bottom Of A Swimming Pool (a) determine the total force and the absolute pressure on the bottom of a swimming. When the pool is filled to a depth of 2.10 m with fresh water, what is the. The force acting on the bottom of the swimming pool will be equal to the total weight of the water. The weight of the water is given by,. What Is The Total Force On The Bottom Of A Swimming Pool.