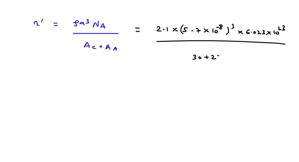
A Hypothetical Ax Type Of Ceramic Material Is Known . A hypothetical ax type of ceramic material is known to have a density of 2.10 g/cm3 and a unit cell of cubic symmetry with a cell edge length. A hypothetical ax2 type of ceramic material is known to have a density of 12.59g/cm3 and a unit cell of cubic symmetry. A hypothetical ax type of ceramic material is known to have a density of 3.35 g/cm3 and a unit cell of cubic symmetry with a. A hypothetical ax type or ceramic material is known to have a density of 3.55 g/cm3, and a unit cell of cubic symmetry with a cell edge length. To determine which crystal structure suits the hypothetical ax ceramic material, we can use the provided density and cell edge. A hypothetical ax type of ceramic material is known to have a density of 2.65 g/cm3 and a unit cell of cubic symmetry with a cell edge length of 0.43 nm. We are asked to specify possible crystal structures for an ax type of ceramic material given its density (2.65 g/cm3), that. The atomic weights of the. A hypothetical ax type of ceramic material is known to have a density of \(2.65 \mathrm{~g} / \mathrm{cm}^{3}\) and a unit cell of cubic.
from www.chegg.com
A hypothetical ax type of ceramic material is known to have a density of 3.35 g/cm3 and a unit cell of cubic symmetry with a. A hypothetical ax type of ceramic material is known to have a density of 2.10 g/cm3 and a unit cell of cubic symmetry with a cell edge length. A hypothetical ax2 type of ceramic material is known to have a density of 12.59g/cm3 and a unit cell of cubic symmetry. We are asked to specify possible crystal structures for an ax type of ceramic material given its density (2.65 g/cm3), that. A hypothetical ax type or ceramic material is known to have a density of 3.55 g/cm3, and a unit cell of cubic symmetry with a cell edge length. To determine which crystal structure suits the hypothetical ax ceramic material, we can use the provided density and cell edge. A hypothetical ax type of ceramic material is known to have a density of \(2.65 \mathrm{~g} / \mathrm{cm}^{3}\) and a unit cell of cubic. A hypothetical ax type of ceramic material is known to have a density of 2.65 g/cm3 and a unit cell of cubic symmetry with a cell edge length of 0.43 nm. The atomic weights of the.
A hypothetical AX type of ceramic material is known
A Hypothetical Ax Type Of Ceramic Material Is Known A hypothetical ax type of ceramic material is known to have a density of \(2.65 \mathrm{~g} / \mathrm{cm}^{3}\) and a unit cell of cubic. A hypothetical ax type of ceramic material is known to have a density of \(2.65 \mathrm{~g} / \mathrm{cm}^{3}\) and a unit cell of cubic. A hypothetical ax type or ceramic material is known to have a density of 3.55 g/cm3, and a unit cell of cubic symmetry with a cell edge length. The atomic weights of the. A hypothetical ax2 type of ceramic material is known to have a density of 12.59g/cm3 and a unit cell of cubic symmetry. A hypothetical ax type of ceramic material is known to have a density of 2.65 g/cm3 and a unit cell of cubic symmetry with a cell edge length of 0.43 nm. A hypothetical ax type of ceramic material is known to have a density of 3.35 g/cm3 and a unit cell of cubic symmetry with a. We are asked to specify possible crystal structures for an ax type of ceramic material given its density (2.65 g/cm3), that. To determine which crystal structure suits the hypothetical ax ceramic material, we can use the provided density and cell edge. A hypothetical ax type of ceramic material is known to have a density of 2.10 g/cm3 and a unit cell of cubic symmetry with a cell edge length.
From www.slideserve.com
PPT Ceramics PowerPoint Presentation, free download ID53186 A Hypothetical Ax Type Of Ceramic Material Is Known A hypothetical ax type of ceramic material is known to have a density of 2.10 g/cm3 and a unit cell of cubic symmetry with a cell edge length. We are asked to specify possible crystal structures for an ax type of ceramic material given its density (2.65 g/cm3), that. A hypothetical ax type of ceramic material is known to have. A Hypothetical Ax Type Of Ceramic Material Is Known.
From www.slideserve.com
PPT Ceramics PowerPoint Presentation, free download ID53186 A Hypothetical Ax Type Of Ceramic Material Is Known The atomic weights of the. A hypothetical ax type of ceramic material is known to have a density of \(2.65 \mathrm{~g} / \mathrm{cm}^{3}\) and a unit cell of cubic. To determine which crystal structure suits the hypothetical ax ceramic material, we can use the provided density and cell edge. A hypothetical ax type of ceramic material is known to have. A Hypothetical Ax Type Of Ceramic Material Is Known.
From www.slideserve.com
PPT Ceramics PowerPoint Presentation, free download ID53186 A Hypothetical Ax Type Of Ceramic Material Is Known A hypothetical ax type of ceramic material is known to have a density of \(2.65 \mathrm{~g} / \mathrm{cm}^{3}\) and a unit cell of cubic. We are asked to specify possible crystal structures for an ax type of ceramic material given its density (2.65 g/cm3), that. A hypothetical ax2 type of ceramic material is known to have a density of 12.59g/cm3. A Hypothetical Ax Type Of Ceramic Material Is Known.
From www.slideserve.com
PPT Chapter 12 Ceramics Materials Structures and Properties A Hypothetical Ax Type Of Ceramic Material Is Known The atomic weights of the. We are asked to specify possible crystal structures for an ax type of ceramic material given its density (2.65 g/cm3), that. A hypothetical ax type of ceramic material is known to have a density of 2.65 g/cm3 and a unit cell of cubic symmetry with a cell edge length of 0.43 nm. A hypothetical ax. A Hypothetical Ax Type Of Ceramic Material Is Known.
From mail.hoy.com.do
Materials Chemistry of Ceramics A Hypothetical Ax Type Of Ceramic Material Is Known A hypothetical ax type of ceramic material is known to have a density of \(2.65 \mathrm{~g} / \mathrm{cm}^{3}\) and a unit cell of cubic. The atomic weights of the. To determine which crystal structure suits the hypothetical ax ceramic material, we can use the provided density and cell edge. A hypothetical ax type of ceramic material is known to have. A Hypothetical Ax Type Of Ceramic Material Is Known.
From www.numerade.com
SOLVED A hypothetical AX type of ceramic material is known to have a A Hypothetical Ax Type Of Ceramic Material Is Known A hypothetical ax2 type of ceramic material is known to have a density of 12.59g/cm3 and a unit cell of cubic symmetry. A hypothetical ax type of ceramic material is known to have a density of 2.10 g/cm3 and a unit cell of cubic symmetry with a cell edge length. A hypothetical ax type or ceramic material is known to. A Hypothetical Ax Type Of Ceramic Material Is Known.
From www.chegg.com
Solved A hypothetical AXtype ceramic with the zinc blende A Hypothetical Ax Type Of Ceramic Material Is Known A hypothetical ax type of ceramic material is known to have a density of \(2.65 \mathrm{~g} / \mathrm{cm}^{3}\) and a unit cell of cubic. To determine which crystal structure suits the hypothetical ax ceramic material, we can use the provided density and cell edge. A hypothetical ax type of ceramic material is known to have a density of 2.10 g/cm3. A Hypothetical Ax Type Of Ceramic Material Is Known.
From www.thesprucecrafts.com
The Basics of Pottery Clay A Hypothetical Ax Type Of Ceramic Material Is Known We are asked to specify possible crystal structures for an ax type of ceramic material given its density (2.65 g/cm3), that. A hypothetical ax type of ceramic material is known to have a density of 2.10 g/cm3 and a unit cell of cubic symmetry with a cell edge length. A hypothetical ax type of ceramic material is known to have. A Hypothetical Ax Type Of Ceramic Material Is Known.
From www.thecrucible.org
Guide to Ceramics Types, Materials, & HowTo Learn A Hypothetical Ax Type Of Ceramic Material Is Known A hypothetical ax type of ceramic material is known to have a density of 3.35 g/cm3 and a unit cell of cubic symmetry with a. We are asked to specify possible crystal structures for an ax type of ceramic material given its density (2.65 g/cm3), that. To determine which crystal structure suits the hypothetical ax ceramic material, we can use. A Hypothetical Ax Type Of Ceramic Material Is Known.
From www.chegg.com
A hypothetical ceramic, Maryladium Oxide (MO) has a A Hypothetical Ax Type Of Ceramic Material Is Known A hypothetical ax type of ceramic material is known to have a density of \(2.65 \mathrm{~g} / \mathrm{cm}^{3}\) and a unit cell of cubic. To determine which crystal structure suits the hypothetical ax ceramic material, we can use the provided density and cell edge. A hypothetical ax type of ceramic material is known to have a density of 3.35 g/cm3. A Hypothetical Ax Type Of Ceramic Material Is Known.
From www.slideserve.com
PPT Ceramics PowerPoint Presentation, free download ID53186 A Hypothetical Ax Type Of Ceramic Material Is Known The atomic weights of the. A hypothetical ax2 type of ceramic material is known to have a density of 12.59g/cm3 and a unit cell of cubic symmetry. A hypothetical ax type of ceramic material is known to have a density of \(2.65 \mathrm{~g} / \mathrm{cm}^{3}\) and a unit cell of cubic. We are asked to specify possible crystal structures for. A Hypothetical Ax Type Of Ceramic Material Is Known.
From brainly.com
A hypothrtical AX type of ceramic material is known to have a density A Hypothetical Ax Type Of Ceramic Material Is Known A hypothetical ax type of ceramic material is known to have a density of 2.10 g/cm3 and a unit cell of cubic symmetry with a cell edge length. A hypothetical ax type of ceramic material is known to have a density of \(2.65 \mathrm{~g} / \mathrm{cm}^{3}\) and a unit cell of cubic. We are asked to specify possible crystal structures. A Hypothetical Ax Type Of Ceramic Material Is Known.
From www.slideserve.com
PPT CERAMICS PowerPoint Presentation, free download ID2077444 A Hypothetical Ax Type Of Ceramic Material Is Known A hypothetical ax type of ceramic material is known to have a density of 3.35 g/cm3 and a unit cell of cubic symmetry with a. The atomic weights of the. We are asked to specify possible crystal structures for an ax type of ceramic material given its density (2.65 g/cm3), that. A hypothetical ax type of ceramic material is known. A Hypothetical Ax Type Of Ceramic Material Is Known.
From www.slideserve.com
PPT CERAMICS PowerPoint Presentation, free download ID53194 A Hypothetical Ax Type Of Ceramic Material Is Known A hypothetical ax type of ceramic material is known to have a density of \(2.65 \mathrm{~g} / \mathrm{cm}^{3}\) and a unit cell of cubic. The atomic weights of the. A hypothetical ax type of ceramic material is known to have a density of 2.10 g/cm3 and a unit cell of cubic symmetry with a cell edge length. A hypothetical ax2. A Hypothetical Ax Type Of Ceramic Material Is Known.
From www.slideserve.com
PPT Ceramics PowerPoint Presentation, free download ID53186 A Hypothetical Ax Type Of Ceramic Material Is Known A hypothetical ax type of ceramic material is known to have a density of 2.65 g/cm3 and a unit cell of cubic symmetry with a cell edge length of 0.43 nm. The atomic weights of the. A hypothetical ax type or ceramic material is known to have a density of 3.55 g/cm3, and a unit cell of cubic symmetry with. A Hypothetical Ax Type Of Ceramic Material Is Known.
From www.slideserve.com
PPT Chapter 3 Structures of Metals & Ceramics PowerPoint A Hypothetical Ax Type Of Ceramic Material Is Known To determine which crystal structure suits the hypothetical ax ceramic material, we can use the provided density and cell edge. A hypothetical ax type of ceramic material is known to have a density of \(2.65 \mathrm{~g} / \mathrm{cm}^{3}\) and a unit cell of cubic. A hypothetical ax type of ceramic material is known to have a density of 3.35 g/cm3. A Hypothetical Ax Type Of Ceramic Material Is Known.
From www.chegg.com
A hypothetical AX type of ceramic material is known A Hypothetical Ax Type Of Ceramic Material Is Known We are asked to specify possible crystal structures for an ax type of ceramic material given its density (2.65 g/cm3), that. A hypothetical ax type of ceramic material is known to have a density of 2.65 g/cm3 and a unit cell of cubic symmetry with a cell edge length of 0.43 nm. A hypothetical ax type of ceramic material is. A Hypothetical Ax Type Of Ceramic Material Is Known.
From www.zircarceramics.com
AluminaSilica Type AX Moldable ZIRCAR Ceramics, Inc. A Hypothetical Ax Type Of Ceramic Material Is Known To determine which crystal structure suits the hypothetical ax ceramic material, we can use the provided density and cell edge. A hypothetical ax type of ceramic material is known to have a density of 3.35 g/cm3 and a unit cell of cubic symmetry with a. We are asked to specify possible crystal structures for an ax type of ceramic material. A Hypothetical Ax Type Of Ceramic Material Is Known.
From www.chegg.com
Solved these are both wrong but im not sure why please help A Hypothetical Ax Type Of Ceramic Material Is Known A hypothetical ax type of ceramic material is known to have a density of 2.65 g/cm3 and a unit cell of cubic symmetry with a cell edge length of 0.43 nm. A hypothetical ax type of ceramic material is known to have a density of 2.10 g/cm3 and a unit cell of cubic symmetry with a cell edge length. To. A Hypothetical Ax Type Of Ceramic Material Is Known.
From www.numerade.com
SOLVED 12.21 A hypothetical AX type of ceramic material is known to A Hypothetical Ax Type Of Ceramic Material Is Known A hypothetical ax type of ceramic material is known to have a density of 2.10 g/cm3 and a unit cell of cubic symmetry with a cell edge length. A hypothetical ax type of ceramic material is known to have a density of \(2.65 \mathrm{~g} / \mathrm{cm}^{3}\) and a unit cell of cubic. We are asked to specify possible crystal structures. A Hypothetical Ax Type Of Ceramic Material Is Known.
From www.slideserve.com
PPT Chapter 12 Ceramics Materials Structures and Properties A Hypothetical Ax Type Of Ceramic Material Is Known A hypothetical ax type of ceramic material is known to have a density of \(2.65 \mathrm{~g} / \mathrm{cm}^{3}\) and a unit cell of cubic. We are asked to specify possible crystal structures for an ax type of ceramic material given its density (2.65 g/cm3), that. A hypothetical ax type or ceramic material is known to have a density of 3.55. A Hypothetical Ax Type Of Ceramic Material Is Known.
From www.researchgate.net
Overview of dental ceramic materials. Download Scientific Diagram A Hypothetical Ax Type Of Ceramic Material Is Known A hypothetical ax type of ceramic material is known to have a density of \(2.65 \mathrm{~g} / \mathrm{cm}^{3}\) and a unit cell of cubic. A hypothetical ax2 type of ceramic material is known to have a density of 12.59g/cm3 and a unit cell of cubic symmetry. A hypothetical ax type or ceramic material is known to have a density of. A Hypothetical Ax Type Of Ceramic Material Is Known.
From www.slideserve.com
PPT Lecture 8 Structure and properties of ceramics Application and A Hypothetical Ax Type Of Ceramic Material Is Known A hypothetical ax type or ceramic material is known to have a density of 3.55 g/cm3, and a unit cell of cubic symmetry with a cell edge length. The atomic weights of the. A hypothetical ax type of ceramic material is known to have a density of 2.65 g/cm3 and a unit cell of cubic symmetry with a cell edge. A Hypothetical Ax Type Of Ceramic Material Is Known.
From www.studocu.com
Material teknik 12 A hypothetical AX type of ceramic material is A Hypothetical Ax Type Of Ceramic Material Is Known To determine which crystal structure suits the hypothetical ax ceramic material, we can use the provided density and cell edge. The atomic weights of the. A hypothetical ax2 type of ceramic material is known to have a density of 12.59g/cm3 and a unit cell of cubic symmetry. A hypothetical ax type of ceramic material is known to have a density. A Hypothetical Ax Type Of Ceramic Material Is Known.
From www.thecrucible.org
Guide to Ceramics Types, Materials, & HowTo Learn A Hypothetical Ax Type Of Ceramic Material Is Known To determine which crystal structure suits the hypothetical ax ceramic material, we can use the provided density and cell edge. We are asked to specify possible crystal structures for an ax type of ceramic material given its density (2.65 g/cm3), that. A hypothetical ax2 type of ceramic material is known to have a density of 12.59g/cm3 and a unit cell. A Hypothetical Ax Type Of Ceramic Material Is Known.
From www.slideserve.com
PPT Chapter 12 Ceramics Materials Structures and Properties A Hypothetical Ax Type Of Ceramic Material Is Known A hypothetical ax type of ceramic material is known to have a density of 2.65 g/cm3 and a unit cell of cubic symmetry with a cell edge length of 0.43 nm. To determine which crystal structure suits the hypothetical ax ceramic material, we can use the provided density and cell edge. The atomic weights of the. A hypothetical ax type. A Hypothetical Ax Type Of Ceramic Material Is Known.
From www.scribd.com
Chapter 12 Structures of Ceramics Ceramic Structure AxType Crystal A Hypothetical Ax Type Of Ceramic Material Is Known A hypothetical ax type of ceramic material is known to have a density of \(2.65 \mathrm{~g} / \mathrm{cm}^{3}\) and a unit cell of cubic. A hypothetical ax type of ceramic material is known to have a density of 3.35 g/cm3 and a unit cell of cubic symmetry with a. A hypothetical ax2 type of ceramic material is known to have. A Hypothetical Ax Type Of Ceramic Material Is Known.
From www.chegg.com
A hypothetical ceramic AX has a cation/anion ratio of A Hypothetical Ax Type Of Ceramic Material Is Known The atomic weights of the. We are asked to specify possible crystal structures for an ax type of ceramic material given its density (2.65 g/cm3), that. A hypothetical ax type or ceramic material is known to have a density of 3.55 g/cm3, and a unit cell of cubic symmetry with a cell edge length. A hypothetical ax type of ceramic. A Hypothetical Ax Type Of Ceramic Material Is Known.
From www.slideserve.com
PPT Chapter 12 Ceramics Materials Structures and Properties A Hypothetical Ax Type Of Ceramic Material Is Known A hypothetical ax type or ceramic material is known to have a density of 3.55 g/cm3, and a unit cell of cubic symmetry with a cell edge length. We are asked to specify possible crystal structures for an ax type of ceramic material given its density (2.65 g/cm3), that. A hypothetical ax type of ceramic material is known to have. A Hypothetical Ax Type Of Ceramic Material Is Known.
From www.numerade.com
SOLVEDA hypothetical AX type of ceramic material is known to have a A Hypothetical Ax Type Of Ceramic Material Is Known A hypothetical ax type or ceramic material is known to have a density of 3.55 g/cm3, and a unit cell of cubic symmetry with a cell edge length. A hypothetical ax type of ceramic material is known to have a density of 2.10 g/cm3 and a unit cell of cubic symmetry with a cell edge length. A hypothetical ax type. A Hypothetical Ax Type Of Ceramic Material Is Known.
From www.chegg.com
Solved A hypothetical AX type of ceramic material is known A Hypothetical Ax Type Of Ceramic Material Is Known A hypothetical ax type or ceramic material is known to have a density of 3.55 g/cm3, and a unit cell of cubic symmetry with a cell edge length. To determine which crystal structure suits the hypothetical ax ceramic material, we can use the provided density and cell edge. A hypothetical ax type of ceramic material is known to have a. A Hypothetical Ax Type Of Ceramic Material Is Known.
From www.transtutors.com
(Get Answer) A Hypothetical AXType Ceramic With The Cesium Chloride A Hypothetical Ax Type Of Ceramic Material Is Known A hypothetical ax type of ceramic material is known to have a density of 3.35 g/cm3 and a unit cell of cubic symmetry with a. To determine which crystal structure suits the hypothetical ax ceramic material, we can use the provided density and cell edge. A hypothetical ax2 type of ceramic material is known to have a density of 12.59g/cm3. A Hypothetical Ax Type Of Ceramic Material Is Known.
From www.chegg.com
Solved 9 A bypothetical AX type of ceramic material is known A Hypothetical Ax Type Of Ceramic Material Is Known The atomic weights of the. We are asked to specify possible crystal structures for an ax type of ceramic material given its density (2.65 g/cm3), that. A hypothetical ax type of ceramic material is known to have a density of 3.35 g/cm3 and a unit cell of cubic symmetry with a. To determine which crystal structure suits the hypothetical ax. A Hypothetical Ax Type Of Ceramic Material Is Known.
From www.thecrucible.org
Guide to Ceramics Types, Materials, & HowTo Learn A Hypothetical Ax Type Of Ceramic Material Is Known A hypothetical ax type of ceramic material is known to have a density of \(2.65 \mathrm{~g} / \mathrm{cm}^{3}\) and a unit cell of cubic. A hypothetical ax2 type of ceramic material is known to have a density of 12.59g/cm3 and a unit cell of cubic symmetry. A hypothetical ax type of ceramic material is known to have a density of. A Hypothetical Ax Type Of Ceramic Material Is Known.
From www.numerade.com
SOLVED A hypothetical AX type of ceramic material is known to have a A Hypothetical Ax Type Of Ceramic Material Is Known A hypothetical ax type of ceramic material is known to have a density of \(2.65 \mathrm{~g} / \mathrm{cm}^{3}\) and a unit cell of cubic. We are asked to specify possible crystal structures for an ax type of ceramic material given its density (2.65 g/cm3), that. A hypothetical ax type or ceramic material is known to have a density of 3.55. A Hypothetical Ax Type Of Ceramic Material Is Known.