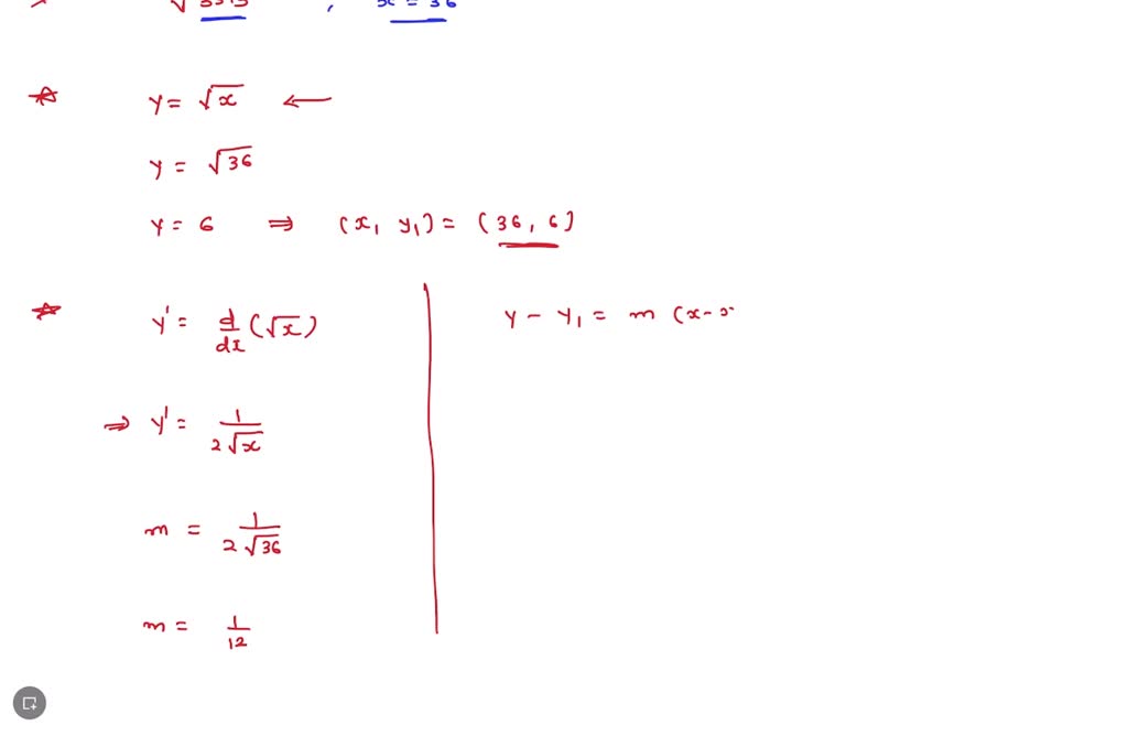
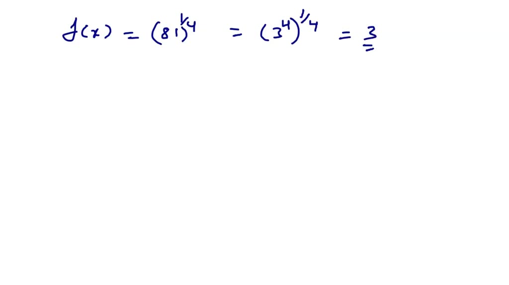
Using Differentials To Approximate Calculator . Calculate the relative error and. F (1) = 3 (1) 2 = 3 (1, 3) step 2: Use $f(x)=\ln\,x$ again, so $f'(x)={1\over x}$. This linearization calculator will allow to compute the linear approximation, also known as tangent line for any given valid function, at a given valid point. Find the derivative f' (x). We probably have to imagine that we can ‘easily. Find the point by substituting into the function to find f (a). You need to provide a valid. Draw a graph that illustrates the use of differentials to approximate the change in a quantity. Draw a graph that illustrates the use of differentials to approximate the change in a. Compute answers using wolfram's breakthrough technology & knowledgebase, relied on by millions of students & professionals. Approximate $\ln\,(e+2)$ in terms of differentials: Describe the linear approximation to a function at a point. F ′ (x) = 6 x. We now take a look at how to use differentials to approximate the change in the value of the function that results from a small change in the.
from exogpsdfh.blob.core.windows.net
Approximate $\ln\,(e+2)$ in terms of differentials: Use $f(x)=\ln\,x$ again, so $f'(x)={1\over x}$. Describe the linear approximation to a function at a point. We now take a look at how to use differentials to approximate the change in the value of the function that results from a small change in the. You need to provide a valid. Find the derivative f' (x). Compute answers using wolfram's breakthrough technology & knowledgebase, relied on by millions of students & professionals. Draw a graph that illustrates the use of differentials to approximate the change in a. Write the linearization of a given function. F (1) = 3 (1) 2 = 3 (1, 3) step 2:
Linear Differential Equations Approximation at Sylvia Langdon blog
Using Differentials To Approximate Calculator You need to provide a valid. We now take a look at how to use differentials to approximate the change in the value of the function that results from a small change in the. Draw a graph that illustrates the use of differentials to approximate the change in a. Describe the linear approximation to a function at a point. Draw a graph that illustrates the use of differentials to approximate the change in a quantity. You need to provide a valid. We probably have to imagine that we can ‘easily. Find the point by substituting into the function to find f (a). Calculate the relative error and. Compute answers using wolfram's breakthrough technology & knowledgebase, relied on by millions of students & professionals. Use $f(x)=\ln\,x$ again, so $f'(x)={1\over x}$. F (1) = 3 (1) 2 = 3 (1, 3) step 2: F ′ (x) = 6 x. Approximate $\ln\,(e+2)$ in terms of differentials: This linearization calculator will allow to compute the linear approximation, also known as tangent line for any given valid function, at a given valid point. Find the derivative f' (x).
From www.chegg.com
Solved Use differentials to approximate the given number. Using Differentials To Approximate Calculator F (1) = 3 (1) 2 = 3 (1, 3) step 2: Describe the linear approximation to a function at a point. Draw a graph that illustrates the use of differentials to approximate the change in a. Find the derivative f' (x). This linearization calculator will allow to compute the linear approximation, also known as tangent line for any given. Using Differentials To Approximate Calculator.
From www.youtube.com
Using differentials, find the approximate value of (26)^1/3 up to 3 Using Differentials To Approximate Calculator Find the point by substituting into the function to find f (a). F (1) = 3 (1) 2 = 3 (1, 3) step 2: Draw a graph that illustrates the use of differentials to approximate the change in a quantity. Use $f(x)=\ln\,x$ again, so $f'(x)={1\over x}$. Calculate the relative error and. We now take a look at how to use. Using Differentials To Approximate Calculator.
From exogpsdfh.blob.core.windows.net
Linear Differential Equations Approximation at Sylvia Langdon blog Using Differentials To Approximate Calculator Draw a graph that illustrates the use of differentials to approximate the change in a quantity. Find the point by substituting into the function to find f (a). We probably have to imagine that we can ‘easily. Approximate $\ln\,(e+2)$ in terms of differentials: F (1) = 3 (1) 2 = 3 (1, 3) step 2: This linearization calculator will allow. Using Differentials To Approximate Calculator.
From www.numerade.com
SOLVED use differentials to approximate the 5.93^2 by hand Using Differentials To Approximate Calculator We now take a look at how to use differentials to approximate the change in the value of the function that results from a small change in the. Compute answers using wolfram's breakthrough technology & knowledgebase, relied on by millions of students & professionals. We probably have to imagine that we can ‘easily. You need to provide a valid. Approximate. Using Differentials To Approximate Calculator.
From www.chegg.com
Solved Use differentials to approximate the value of the Using Differentials To Approximate Calculator Write the linearization of a given function. F (1) = 3 (1) 2 = 3 (1, 3) step 2: We now take a look at how to use differentials to approximate the change in the value of the function that results from a small change in the. Use $f(x)=\ln\,x$ again, so $f'(x)={1\over x}$. Calculate the relative error and. Describe the. Using Differentials To Approximate Calculator.
From www.chegg.com
Use differentials to approximate the value of the Using Differentials To Approximate Calculator Describe the linear approximation to a function at a point. Calculate the relative error and. We probably have to imagine that we can ‘easily. Approximate $\ln\,(e+2)$ in terms of differentials: Draw a graph that illustrates the use of differentials to approximate the change in a quantity. Draw a graph that illustrates the use of differentials to approximate the change in. Using Differentials To Approximate Calculator.
From owlcation.com
Linear Approximation and Differentials in Calculus Owlcation Using Differentials To Approximate Calculator F ′ (x) = 6 x. Describe the linear approximation to a function at a point. F (1) = 3 (1) 2 = 3 (1, 3) step 2: You need to provide a valid. Draw a graph that illustrates the use of differentials to approximate the change in a quantity. Find the point by substituting into the function to find. Using Differentials To Approximate Calculator.
From www.youtube.com
Approximation Using Differentials YouTube Using Differentials To Approximate Calculator Find the point by substituting into the function to find f (a). Calculate the relative error and. You need to provide a valid. Use $f(x)=\ln\,x$ again, so $f'(x)={1\over x}$. Approximate $\ln\,(e+2)$ in terms of differentials: Compute answers using wolfram's breakthrough technology & knowledgebase, relied on by millions of students & professionals. F ′ (x) = 6 x. Write the linearization. Using Differentials To Approximate Calculator.
From www.numerade.com
SOLVED Use differentials to approximate the value of the expression Using Differentials To Approximate Calculator F ′ (x) = 6 x. Draw a graph that illustrates the use of differentials to approximate the change in a. Draw a graph that illustrates the use of differentials to approximate the change in a quantity. Write the linearization of a given function. Approximate $\ln\,(e+2)$ in terms of differentials: Find the derivative f' (x). Compute answers using wolfram's breakthrough. Using Differentials To Approximate Calculator.
From www.teachoo.com
Example 21 Use differential to approximate root 36.6 Examples Using Differentials To Approximate Calculator Describe the linear approximation to a function at a point. Find the point by substituting into the function to find f (a). Write the linearization of a given function. Approximate $\ln\,(e+2)$ in terms of differentials: Use $f(x)=\ln\,x$ again, so $f'(x)={1\over x}$. We now take a look at how to use differentials to approximate the change in the value of the. Using Differentials To Approximate Calculator.
From www.numerade.com
SOLVEDUse differentials to approximate the given number (see Example 2 Using Differentials To Approximate Calculator Find the point by substituting into the function to find f (a). You need to provide a valid. We now take a look at how to use differentials to approximate the change in the value of the function that results from a small change in the. Find the derivative f' (x). Approximate $\ln\,(e+2)$ in terms of differentials: Calculate the relative. Using Differentials To Approximate Calculator.
From www.numerade.com
SOLVED Use differentials to pproximate the value of the expression Using Differentials To Approximate Calculator Write the linearization of a given function. We probably have to imagine that we can ‘easily. Use $f(x)=\ln\,x$ again, so $f'(x)={1\over x}$. Compute answers using wolfram's breakthrough technology & knowledgebase, relied on by millions of students & professionals. Describe the linear approximation to a function at a point. Draw a graph that illustrates the use of differentials to approximate the. Using Differentials To Approximate Calculator.
From www.youtube.com
THS 3 9 5 Using Differentials to Approximate Square Roots YouTube Using Differentials To Approximate Calculator Compute answers using wolfram's breakthrough technology & knowledgebase, relied on by millions of students & professionals. This linearization calculator will allow to compute the linear approximation, also known as tangent line for any given valid function, at a given valid point. You need to provide a valid. Calculate the relative error and. Find the derivative f' (x). Draw a graph. Using Differentials To Approximate Calculator.
From www.numerade.com
SOLVED Use differentials to approximate the value of the expression Using Differentials To Approximate Calculator Draw a graph that illustrates the use of differentials to approximate the change in a quantity. Draw a graph that illustrates the use of differentials to approximate the change in a. Compute answers using wolfram's breakthrough technology & knowledgebase, relied on by millions of students & professionals. This linearization calculator will allow to compute the linear approximation, also known as. Using Differentials To Approximate Calculator.
From quizlet.com
Use differentials to approximate the value of the expression Quizlet Using Differentials To Approximate Calculator Compute answers using wolfram's breakthrough technology & knowledgebase, relied on by millions of students & professionals. Approximate $\ln\,(e+2)$ in terms of differentials: Draw a graph that illustrates the use of differentials to approximate the change in a quantity. Find the derivative f' (x). Calculate the relative error and. Find the point by substituting into the function to find f (a).. Using Differentials To Approximate Calculator.
From www.youtube.com
Use linear approximation to estimate Differential Calculus YouTube Using Differentials To Approximate Calculator Compute answers using wolfram's breakthrough technology & knowledgebase, relied on by millions of students & professionals. Find the point by substituting into the function to find f (a). Describe the linear approximation to a function at a point. We now take a look at how to use differentials to approximate the change in the value of the function that results. Using Differentials To Approximate Calculator.
From www.doubtnut.com
Approximate (80)^(1//4) using differentials Using Differentials To Approximate Calculator Compute answers using wolfram's breakthrough technology & knowledgebase, relied on by millions of students & professionals. Describe the linear approximation to a function at a point. This linearization calculator will allow to compute the linear approximation, also known as tangent line for any given valid function, at a given valid point. We now take a look at how to use. Using Differentials To Approximate Calculator.
From www.numerade.com
SOLVED Use differentials to approximate the given values by hand Using Differentials To Approximate Calculator Draw a graph that illustrates the use of differentials to approximate the change in a quantity. We probably have to imagine that we can ‘easily. Use $f(x)=\ln\,x$ again, so $f'(x)={1\over x}$. Compute answers using wolfram's breakthrough technology & knowledgebase, relied on by millions of students & professionals. We now take a look at how to use differentials to approximate the. Using Differentials To Approximate Calculator.
From www.numerade.com
SOLVED Use differentials to approximate the value of the expression Using Differentials To Approximate Calculator Describe the linear approximation to a function at a point. Approximate $\ln\,(e+2)$ in terms of differentials: F (1) = 3 (1) 2 = 3 (1, 3) step 2: Use $f(x)=\ln\,x$ again, so $f'(x)={1\over x}$. Find the derivative f' (x). Write the linearization of a given function. This linearization calculator will allow to compute the linear approximation, also known as tangent. Using Differentials To Approximate Calculator.
From www.coursehero.com
[Solved] Use differentials to approximate the value of the expression Using Differentials To Approximate Calculator You need to provide a valid. Write the linearization of a given function. Compute answers using wolfram's breakthrough technology & knowledgebase, relied on by millions of students & professionals. F (1) = 3 (1) 2 = 3 (1, 3) step 2: Find the point by substituting into the function to find f (a). Find the derivative f' (x). Describe the. Using Differentials To Approximate Calculator.
From www.youtube.com
How to Find Approximate Value Using Differential Calculus YouTube Using Differentials To Approximate Calculator We probably have to imagine that we can ‘easily. Approximate $\ln\,(e+2)$ in terms of differentials: Write the linearization of a given function. You need to provide a valid. Draw a graph that illustrates the use of differentials to approximate the change in a quantity. Compute answers using wolfram's breakthrough technology & knowledgebase, relied on by millions of students & professionals.. Using Differentials To Approximate Calculator.
From www.toppr.com
Using differentials, find the approximate value of √(27) Using Differentials To Approximate Calculator You need to provide a valid. Find the point by substituting into the function to find f (a). This linearization calculator will allow to compute the linear approximation, also known as tangent line for any given valid function, at a given valid point. Calculate the relative error and. Describe the linear approximation to a function at a point. F ′. Using Differentials To Approximate Calculator.
From teachoo.com
Example 22 Use differential to approximate (25)1/3 Examples Using Differentials To Approximate Calculator Use $f(x)=\ln\,x$ again, so $f'(x)={1\over x}$. Find the point by substituting into the function to find f (a). F (1) = 3 (1) 2 = 3 (1, 3) step 2: Draw a graph that illustrates the use of differentials to approximate the change in a. Calculate the relative error and. F ′ (x) = 6 x. Draw a graph that. Using Differentials To Approximate Calculator.
From www.youtube.com
How to Approximate Using Differentials Calculus YouTube Using Differentials To Approximate Calculator Calculate the relative error and. Find the point by substituting into the function to find f (a). Draw a graph that illustrates the use of differentials to approximate the change in a. We probably have to imagine that we can ‘easily. We now take a look at how to use differentials to approximate the change in the value of the. Using Differentials To Approximate Calculator.
From www.coursehero.com
[Solved] Use differentials to approximate the value of the expression Using Differentials To Approximate Calculator F (1) = 3 (1) 2 = 3 (1, 3) step 2: F ′ (x) = 6 x. We now take a look at how to use differentials to approximate the change in the value of the function that results from a small change in the. Draw a graph that illustrates the use of differentials to approximate the change in. Using Differentials To Approximate Calculator.
From www.toppr.com
Using differentials, find the approximate value of √(49.5) Using Differentials To Approximate Calculator Write the linearization of a given function. F ′ (x) = 6 x. Use $f(x)=\ln\,x$ again, so $f'(x)={1\over x}$. Find the point by substituting into the function to find f (a). We now take a look at how to use differentials to approximate the change in the value of the function that results from a small change in the. Compute. Using Differentials To Approximate Calculator.
From www.numerade.com
SOLVED Use differentials to approximate the quantity. √(17) Using Differentials To Approximate Calculator Find the derivative f' (x). F (1) = 3 (1) 2 = 3 (1, 3) step 2: Calculate the relative error and. We probably have to imagine that we can ‘easily. Describe the linear approximation to a function at a point. You need to provide a valid. F ′ (x) = 6 x. Find the point by substituting into the. Using Differentials To Approximate Calculator.
From www.youtube.com
Using differentials to approximate sqrt(145) YouTube Using Differentials To Approximate Calculator Draw a graph that illustrates the use of differentials to approximate the change in a quantity. You need to provide a valid. Find the point by substituting into the function to find f (a). F (1) = 3 (1) 2 = 3 (1, 3) step 2: We probably have to imagine that we can ‘easily. This linearization calculator will allow. Using Differentials To Approximate Calculator.
From www.youtube.com
Using differentials to approximate a square root YouTube Using Differentials To Approximate Calculator We now take a look at how to use differentials to approximate the change in the value of the function that results from a small change in the. Approximate $\ln\,(e+2)$ in terms of differentials: Draw a graph that illustrates the use of differentials to approximate the change in a. You need to provide a valid. This linearization calculator will allow. Using Differentials To Approximate Calculator.
From www.chegg.com
Solved Use differentials to approximate the value of the Using Differentials To Approximate Calculator Find the derivative f' (x). Approximate $\ln\,(e+2)$ in terms of differentials: Compute answers using wolfram's breakthrough technology & knowledgebase, relied on by millions of students & professionals. Calculate the relative error and. F (1) = 3 (1) 2 = 3 (1, 3) step 2: Find the point by substituting into the function to find f (a). You need to provide. Using Differentials To Approximate Calculator.
From www.youtube.com
Using differentials, find the approximate value of (15)^1/4 up to 3 Using Differentials To Approximate Calculator Find the point by substituting into the function to find f (a). Use $f(x)=\ln\,x$ again, so $f'(x)={1\over x}$. F (1) = 3 (1) 2 = 3 (1, 3) step 2: Compute answers using wolfram's breakthrough technology & knowledgebase, relied on by millions of students & professionals. You need to provide a valid. We probably have to imagine that we can. Using Differentials To Approximate Calculator.
From www.chegg.com
Solved Use differentials to approximate the value of the Using Differentials To Approximate Calculator Use $f(x)=\ln\,x$ again, so $f'(x)={1\over x}$. Write the linearization of a given function. Find the derivative f' (x). We now take a look at how to use differentials to approximate the change in the value of the function that results from a small change in the. Draw a graph that illustrates the use of differentials to approximate the change in. Using Differentials To Approximate Calculator.
From www.coursehero.com
[Solved] Use a linear approximation (or differentials) to estimate the Using Differentials To Approximate Calculator Describe the linear approximation to a function at a point. F ′ (x) = 6 x. Draw a graph that illustrates the use of differentials to approximate the change in a. Use $f(x)=\ln\,x$ again, so $f'(x)={1\over x}$. Write the linearization of a given function. Find the derivative f' (x). This linearization calculator will allow to compute the linear approximation, also. Using Differentials To Approximate Calculator.
From owlcation.com
Linear Approximation and Differentials in Calculus Owlcation Using Differentials To Approximate Calculator Calculate the relative error and. We now take a look at how to use differentials to approximate the change in the value of the function that results from a small change in the. Draw a graph that illustrates the use of differentials to approximate the change in a. We probably have to imagine that we can ‘easily. Compute answers using. Using Differentials To Approximate Calculator.
From www.chegg.com
Solved Use differentials to approximate the value of the Using Differentials To Approximate Calculator We now take a look at how to use differentials to approximate the change in the value of the function that results from a small change in the. We probably have to imagine that we can ‘easily. F (1) = 3 (1) 2 = 3 (1, 3) step 2: Find the derivative f' (x). Draw a graph that illustrates the. Using Differentials To Approximate Calculator.