What Are The Use Of Dimensional Analysis . To check the consistency of a dimensional equation; The use of units in a calculation to ensure that we obtain the final proper units is called dimensional analysis. Determine whether an equation involving physical quantities is. Use dimensional analysis to carry. Find the dimensions of a mathematical expression involving physical quantities. Dimensional analysis is a method for converting one unit to another using the relationships between various physical quantities. Explain the dimensional analysis (factor label) approach to mathematical calculations involving quantities. Dimensional analysis offers a method for reducing complex physical problems to the simplest (that is, most economical) form prior to obtaining a. Explain the dimensional analysis (factor label) approach to mathematical calculations involving quantities; For example, if we observe. We make use of dimensional analysis for three prominent reasons:
from studylib.net
Dimensional analysis offers a method for reducing complex physical problems to the simplest (that is, most economical) form prior to obtaining a. Explain the dimensional analysis (factor label) approach to mathematical calculations involving quantities. For example, if we observe. Explain the dimensional analysis (factor label) approach to mathematical calculations involving quantities; Use dimensional analysis to carry. The use of units in a calculation to ensure that we obtain the final proper units is called dimensional analysis. Determine whether an equation involving physical quantities is. Dimensional analysis is a method for converting one unit to another using the relationships between various physical quantities. Find the dimensions of a mathematical expression involving physical quantities. To check the consistency of a dimensional equation;
Dimensional Analysis
What Are The Use Of Dimensional Analysis To check the consistency of a dimensional equation; Dimensional analysis is a method for converting one unit to another using the relationships between various physical quantities. Determine whether an equation involving physical quantities is. Use dimensional analysis to carry. Explain the dimensional analysis (factor label) approach to mathematical calculations involving quantities; We make use of dimensional analysis for three prominent reasons: Find the dimensions of a mathematical expression involving physical quantities. For example, if we observe. To check the consistency of a dimensional equation; The use of units in a calculation to ensure that we obtain the final proper units is called dimensional analysis. Dimensional analysis offers a method for reducing complex physical problems to the simplest (that is, most economical) form prior to obtaining a. Explain the dimensional analysis (factor label) approach to mathematical calculations involving quantities.
From www.slideserve.com
PPT Dimensional Analysis PowerPoint Presentation, free download ID1844616 What Are The Use Of Dimensional Analysis Determine whether an equation involving physical quantities is. The use of units in a calculation to ensure that we obtain the final proper units is called dimensional analysis. Use dimensional analysis to carry. We make use of dimensional analysis for three prominent reasons: For example, if we observe. Find the dimensions of a mathematical expression involving physical quantities. To check. What Are The Use Of Dimensional Analysis.
From www.studypool.com
SOLUTION Dimensional analysis worksheet 1 Studypool What Are The Use Of Dimensional Analysis Explain the dimensional analysis (factor label) approach to mathematical calculations involving quantities. We make use of dimensional analysis for three prominent reasons: Dimensional analysis offers a method for reducing complex physical problems to the simplest (that is, most economical) form prior to obtaining a. Explain the dimensional analysis (factor label) approach to mathematical calculations involving quantities; Find the dimensions of. What Are The Use Of Dimensional Analysis.
From www.youtube.com
Dimensional Analysis with Scientific notation YouTube What Are The Use Of Dimensional Analysis Explain the dimensional analysis (factor label) approach to mathematical calculations involving quantities; The use of units in a calculation to ensure that we obtain the final proper units is called dimensional analysis. Find the dimensions of a mathematical expression involving physical quantities. Determine whether an equation involving physical quantities is. To check the consistency of a dimensional equation; Dimensional analysis. What Are The Use Of Dimensional Analysis.
From studylib.net
Dimensional Analysis What Are The Use Of Dimensional Analysis Find the dimensions of a mathematical expression involving physical quantities. For example, if we observe. Dimensional analysis is a method for converting one unit to another using the relationships between various physical quantities. We make use of dimensional analysis for three prominent reasons: The use of units in a calculation to ensure that we obtain the final proper units is. What Are The Use Of Dimensional Analysis.
From app.sophia.org
Using Dimensional Analysis Tutorial Sophia Learning What Are The Use Of Dimensional Analysis For example, if we observe. Explain the dimensional analysis (factor label) approach to mathematical calculations involving quantities. Dimensional analysis offers a method for reducing complex physical problems to the simplest (that is, most economical) form prior to obtaining a. Use dimensional analysis to carry. Find the dimensions of a mathematical expression involving physical quantities. The use of units in a. What Are The Use Of Dimensional Analysis.
From www.youtube.com
Using of Dimensional Analysis to find Relation among Physical Quantities Physics for JEE and What Are The Use Of Dimensional Analysis The use of units in a calculation to ensure that we obtain the final proper units is called dimensional analysis. Determine whether an equation involving physical quantities is. For example, if we observe. Explain the dimensional analysis (factor label) approach to mathematical calculations involving quantities. Use dimensional analysis to carry. Dimensional analysis offers a method for reducing complex physical problems. What Are The Use Of Dimensional Analysis.
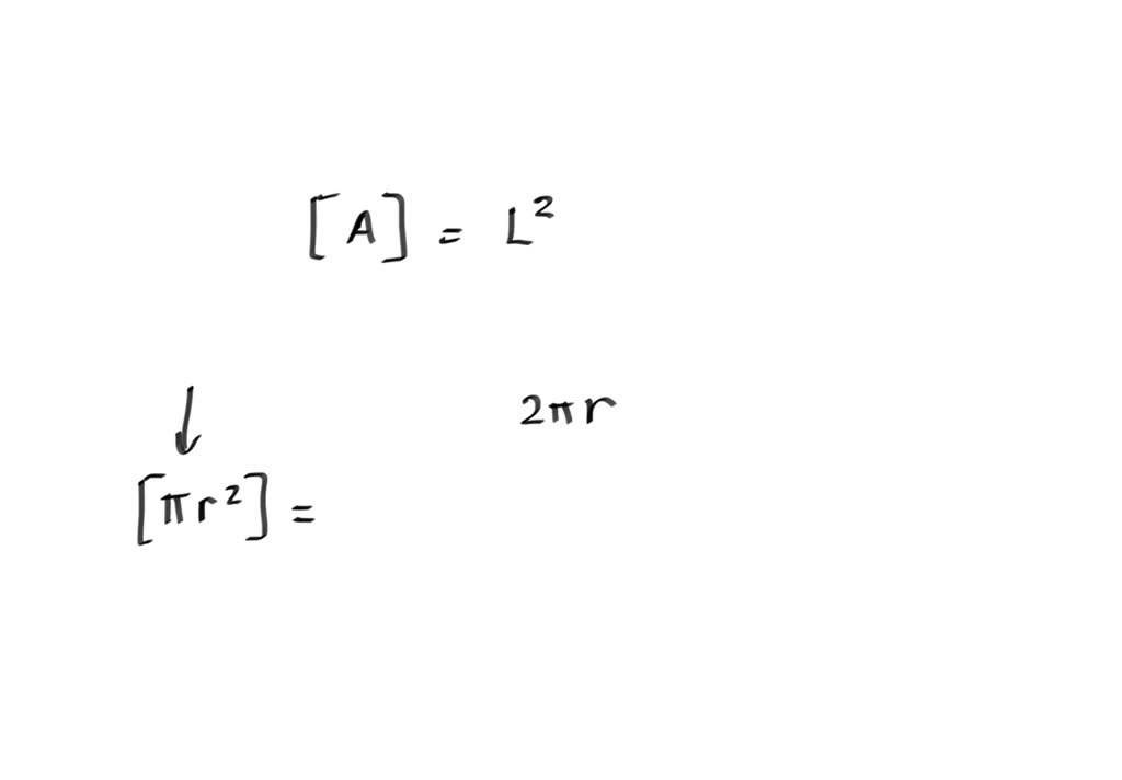
From www.numerade.com
SOLVEDUse dimensional analysis to determine which of the following expressions gives the area What Are The Use Of Dimensional Analysis The use of units in a calculation to ensure that we obtain the final proper units is called dimensional analysis. Use dimensional analysis to carry. Dimensional analysis offers a method for reducing complex physical problems to the simplest (that is, most economical) form prior to obtaining a. Explain the dimensional analysis (factor label) approach to mathematical calculations involving quantities; To. What Are The Use Of Dimensional Analysis.
From www.csun.edu
Chapter 17 Dimensional Analysis What Are The Use Of Dimensional Analysis Explain the dimensional analysis (factor label) approach to mathematical calculations involving quantities; The use of units in a calculation to ensure that we obtain the final proper units is called dimensional analysis. Explain the dimensional analysis (factor label) approach to mathematical calculations involving quantities. To check the consistency of a dimensional equation; Determine whether an equation involving physical quantities is.. What Are The Use Of Dimensional Analysis.
From www.slideserve.com
PPT Dimensional Analysis PowerPoint Presentation, free download ID4272132 What Are The Use Of Dimensional Analysis Dimensional analysis offers a method for reducing complex physical problems to the simplest (that is, most economical) form prior to obtaining a. Find the dimensions of a mathematical expression involving physical quantities. Determine whether an equation involving physical quantities is. Use dimensional analysis to carry. Explain the dimensional analysis (factor label) approach to mathematical calculations involving quantities. Dimensional analysis is. What Are The Use Of Dimensional Analysis.
From www.youtube.com
Finding dimensions of constant and finding formulas using dimensional analysis. YouTube What Are The Use Of Dimensional Analysis Explain the dimensional analysis (factor label) approach to mathematical calculations involving quantities; To check the consistency of a dimensional equation; Determine whether an equation involving physical quantities is. Use dimensional analysis to carry. Find the dimensions of a mathematical expression involving physical quantities. For example, if we observe. The use of units in a calculation to ensure that we obtain. What Are The Use Of Dimensional Analysis.
From www.youtube.com
Dimensional Analysis Basics YouTube What Are The Use Of Dimensional Analysis Determine whether an equation involving physical quantities is. Use dimensional analysis to carry. We make use of dimensional analysis for three prominent reasons: The use of units in a calculation to ensure that we obtain the final proper units is called dimensional analysis. Explain the dimensional analysis (factor label) approach to mathematical calculations involving quantities; Explain the dimensional analysis (factor. What Are The Use Of Dimensional Analysis.
From www.youtube.com
Dimensional Analysis Tutorial Sheet YouTube What Are The Use Of Dimensional Analysis We make use of dimensional analysis for three prominent reasons: Dimensional analysis is a method for converting one unit to another using the relationships between various physical quantities. To check the consistency of a dimensional equation; The use of units in a calculation to ensure that we obtain the final proper units is called dimensional analysis. Dimensional analysis offers a. What Are The Use Of Dimensional Analysis.
From www.sophia.org
Using Dimensional Analysis Tutorial Sophia Learning What Are The Use Of Dimensional Analysis Dimensional analysis offers a method for reducing complex physical problems to the simplest (that is, most economical) form prior to obtaining a. Explain the dimensional analysis (factor label) approach to mathematical calculations involving quantities; Find the dimensions of a mathematical expression involving physical quantities. To check the consistency of a dimensional equation; Dimensional analysis is a method for converting one. What Are The Use Of Dimensional Analysis.
From www.csun.edu
Chapter 17 Dimensional Analysis What Are The Use Of Dimensional Analysis Find the dimensions of a mathematical expression involving physical quantities. The use of units in a calculation to ensure that we obtain the final proper units is called dimensional analysis. We make use of dimensional analysis for three prominent reasons: Dimensional analysis offers a method for reducing complex physical problems to the simplest (that is, most economical) form prior to. What Are The Use Of Dimensional Analysis.
From extrudesign.com
What are the Methods Of Dimensional Analysis? ExtruDesign What Are The Use Of Dimensional Analysis Find the dimensions of a mathematical expression involving physical quantities. Explain the dimensional analysis (factor label) approach to mathematical calculations involving quantities; Determine whether an equation involving physical quantities is. For example, if we observe. Dimensional analysis is a method for converting one unit to another using the relationships between various physical quantities. We make use of dimensional analysis for. What Are The Use Of Dimensional Analysis.
From www.slideserve.com
PPT Dimensional Analysis PowerPoint Presentation, free download ID5908418 What Are The Use Of Dimensional Analysis Use dimensional analysis to carry. Dimensional analysis is a method for converting one unit to another using the relationships between various physical quantities. Find the dimensions of a mathematical expression involving physical quantities. Explain the dimensional analysis (factor label) approach to mathematical calculations involving quantities; We make use of dimensional analysis for three prominent reasons: Dimensional analysis offers a method. What Are The Use Of Dimensional Analysis.
From www.youtube.com
Using Dimensional Analysis to Solve Math Problems YouTube What Are The Use Of Dimensional Analysis Use dimensional analysis to carry. Dimensional analysis is a method for converting one unit to another using the relationships between various physical quantities. The use of units in a calculation to ensure that we obtain the final proper units is called dimensional analysis. Find the dimensions of a mathematical expression involving physical quantities. Dimensional analysis offers a method for reducing. What Are The Use Of Dimensional Analysis.
From www.youtube.com
Using Dimensional Analysis YouTube What Are The Use Of Dimensional Analysis Dimensional analysis offers a method for reducing complex physical problems to the simplest (that is, most economical) form prior to obtaining a. Explain the dimensional analysis (factor label) approach to mathematical calculations involving quantities; For example, if we observe. Dimensional analysis is a method for converting one unit to another using the relationships between various physical quantities. Use dimensional analysis. What Are The Use Of Dimensional Analysis.
From study.com
Dimensional Analysis Definition, Method & Examples Lesson What Are The Use Of Dimensional Analysis For example, if we observe. Use dimensional analysis to carry. The use of units in a calculation to ensure that we obtain the final proper units is called dimensional analysis. To check the consistency of a dimensional equation; Explain the dimensional analysis (factor label) approach to mathematical calculations involving quantities. Determine whether an equation involving physical quantities is. Dimensional analysis. What Are The Use Of Dimensional Analysis.
From studylib.net
Dimensional Analysis WS 2 What Are The Use Of Dimensional Analysis Explain the dimensional analysis (factor label) approach to mathematical calculations involving quantities. To check the consistency of a dimensional equation; The use of units in a calculation to ensure that we obtain the final proper units is called dimensional analysis. Dimensional analysis is a method for converting one unit to another using the relationships between various physical quantities. We make. What Are The Use Of Dimensional Analysis.
From study.com
Dimensional Analysis Definition, Formula & Examples Lesson What Are The Use Of Dimensional Analysis The use of units in a calculation to ensure that we obtain the final proper units is called dimensional analysis. Dimensional analysis offers a method for reducing complex physical problems to the simplest (that is, most economical) form prior to obtaining a. We make use of dimensional analysis for three prominent reasons: Determine whether an equation involving physical quantities is.. What Are The Use Of Dimensional Analysis.
From www.youtube.com
Derive expression using dimensional analysis YouTube What Are The Use Of Dimensional Analysis Explain the dimensional analysis (factor label) approach to mathematical calculations involving quantities. Dimensional analysis offers a method for reducing complex physical problems to the simplest (that is, most economical) form prior to obtaining a. Dimensional analysis is a method for converting one unit to another using the relationships between various physical quantities. Use dimensional analysis to carry. We make use. What Are The Use Of Dimensional Analysis.
From studylib.net
Use Dimensional Analysis What Are The Use Of Dimensional Analysis Dimensional analysis offers a method for reducing complex physical problems to the simplest (that is, most economical) form prior to obtaining a. The use of units in a calculation to ensure that we obtain the final proper units is called dimensional analysis. Explain the dimensional analysis (factor label) approach to mathematical calculations involving quantities; We make use of dimensional analysis. What Are The Use Of Dimensional Analysis.
From www.docsity.com
How to Solve Problems Using Dimensional Analysis Exercises Dimensional Analysis Docsity What Are The Use Of Dimensional Analysis Explain the dimensional analysis (factor label) approach to mathematical calculations involving quantities. The use of units in a calculation to ensure that we obtain the final proper units is called dimensional analysis. Dimensional analysis offers a method for reducing complex physical problems to the simplest (that is, most economical) form prior to obtaining a. Dimensional analysis is a method for. What Are The Use Of Dimensional Analysis.
From extrudesign.com
What are the Methods Of Dimensional Analysis? ExtruDesign What Are The Use Of Dimensional Analysis For example, if we observe. Determine whether an equation involving physical quantities is. To check the consistency of a dimensional equation; Explain the dimensional analysis (factor label) approach to mathematical calculations involving quantities; The use of units in a calculation to ensure that we obtain the final proper units is called dimensional analysis. Explain the dimensional analysis (factor label) approach. What Are The Use Of Dimensional Analysis.
From www.slideserve.com
PPT Dimensional Analysis PowerPoint Presentation, free download ID5908418 What Are The Use Of Dimensional Analysis To check the consistency of a dimensional equation; Use dimensional analysis to carry. Explain the dimensional analysis (factor label) approach to mathematical calculations involving quantities. Dimensional analysis is a method for converting one unit to another using the relationships between various physical quantities. We make use of dimensional analysis for three prominent reasons: Find the dimensions of a mathematical expression. What Are The Use Of Dimensional Analysis.
From www.slideserve.com
PPT Dimensional Analysis PowerPoint Presentation, free download ID3737779 What Are The Use Of Dimensional Analysis Dimensional analysis is a method for converting one unit to another using the relationships between various physical quantities. Use dimensional analysis to carry. The use of units in a calculation to ensure that we obtain the final proper units is called dimensional analysis. Explain the dimensional analysis (factor label) approach to mathematical calculations involving quantities. Determine whether an equation involving. What Are The Use Of Dimensional Analysis.
From www.slideserve.com
PPT Dimensional Analysis PowerPoint Presentation, free download ID3737779 What Are The Use Of Dimensional Analysis We make use of dimensional analysis for three prominent reasons: Determine whether an equation involving physical quantities is. Dimensional analysis offers a method for reducing complex physical problems to the simplest (that is, most economical) form prior to obtaining a. Find the dimensions of a mathematical expression involving physical quantities. Explain the dimensional analysis (factor label) approach to mathematical calculations. What Are The Use Of Dimensional Analysis.
From www.youtube.com
Dimensional Analysis Part 2 Years to Seconds YouTube What Are The Use Of Dimensional Analysis Determine whether an equation involving physical quantities is. Explain the dimensional analysis (factor label) approach to mathematical calculations involving quantities. Dimensional analysis offers a method for reducing complex physical problems to the simplest (that is, most economical) form prior to obtaining a. Find the dimensions of a mathematical expression involving physical quantities. Use dimensional analysis to carry. Explain the dimensional. What Are The Use Of Dimensional Analysis.
From www.youtube.com
Use of Dimensional Analysis to Check Correctness of Given Equation Physics for JEE and NEET What Are The Use Of Dimensional Analysis Determine whether an equation involving physical quantities is. The use of units in a calculation to ensure that we obtain the final proper units is called dimensional analysis. We make use of dimensional analysis for three prominent reasons: Dimensional analysis offers a method for reducing complex physical problems to the simplest (that is, most economical) form prior to obtaining a.. What Are The Use Of Dimensional Analysis.
From www.slideserve.com
PPT Dimensional Analysis PowerPoint Presentation, free download ID5908399 What Are The Use Of Dimensional Analysis Explain the dimensional analysis (factor label) approach to mathematical calculations involving quantities. For example, if we observe. To check the consistency of a dimensional equation; The use of units in a calculation to ensure that we obtain the final proper units is called dimensional analysis. We make use of dimensional analysis for three prominent reasons: Find the dimensions of a. What Are The Use Of Dimensional Analysis.
From www.youtube.com
Using Dimensional Analysis (Factorlabel method) to Convert Units YouTube What Are The Use Of Dimensional Analysis Explain the dimensional analysis (factor label) approach to mathematical calculations involving quantities. Determine whether an equation involving physical quantities is. For example, if we observe. The use of units in a calculation to ensure that we obtain the final proper units is called dimensional analysis. Dimensional analysis offers a method for reducing complex physical problems to the simplest (that is,. What Are The Use Of Dimensional Analysis.
From www.youtube.com
Deriving Engineering Equations Using Dimensional Analysis YouTube What Are The Use Of Dimensional Analysis Dimensional analysis is a method for converting one unit to another using the relationships between various physical quantities. Determine whether an equation involving physical quantities is. We make use of dimensional analysis for three prominent reasons: To check the consistency of a dimensional equation; Explain the dimensional analysis (factor label) approach to mathematical calculations involving quantities. Dimensional analysis offers a. What Are The Use Of Dimensional Analysis.
From www.wikihow.com
How to Use Dimensional Analysis to Solve a Conversion Equation (High School Level) What Are The Use Of Dimensional Analysis We make use of dimensional analysis for three prominent reasons: Dimensional analysis is a method for converting one unit to another using the relationships between various physical quantities. Explain the dimensional analysis (factor label) approach to mathematical calculations involving quantities. Determine whether an equation involving physical quantities is. Use dimensional analysis to carry. Dimensional analysis offers a method for reducing. What Are The Use Of Dimensional Analysis.
From www.transformationtutoring.com
Unit Conversions (Dimensional Analysis) Complete Guide With Examples What Are The Use Of Dimensional Analysis Explain the dimensional analysis (factor label) approach to mathematical calculations involving quantities; The use of units in a calculation to ensure that we obtain the final proper units is called dimensional analysis. Dimensional analysis is a method for converting one unit to another using the relationships between various physical quantities. For example, if we observe. We make use of dimensional. What Are The Use Of Dimensional Analysis.