Urea Polymerization . Theoretical calculations, complemented by previously reported crystalline structures, indicate that the 2d assembly is. To expand the range of catalytic systems for evp polymerization, we computationally tested the catalytic. Polyureas (purs) are a group of polymers which contain the urea group as the main feature of their monomers,. Here we report that the deprotonation of ureas generates a class of versatile catalysts that are simultaneously fast and selective for. By using aromatic and aliphatic diisocyanates, diamines, and diols, the extent of urea groups, and hence hydrolyzed.
from sci-toys.com
Here we report that the deprotonation of ureas generates a class of versatile catalysts that are simultaneously fast and selective for. Polyureas (purs) are a group of polymers which contain the urea group as the main feature of their monomers,. Theoretical calculations, complemented by previously reported crystalline structures, indicate that the 2d assembly is. To expand the range of catalytic systems for evp polymerization, we computationally tested the catalytic. By using aromatic and aliphatic diisocyanates, diamines, and diols, the extent of urea groups, and hence hydrolyzed.
Dimethylol urea formaldehyde monomethylol urea polymer
Urea Polymerization Theoretical calculations, complemented by previously reported crystalline structures, indicate that the 2d assembly is. Theoretical calculations, complemented by previously reported crystalline structures, indicate that the 2d assembly is. Here we report that the deprotonation of ureas generates a class of versatile catalysts that are simultaneously fast and selective for. By using aromatic and aliphatic diisocyanates, diamines, and diols, the extent of urea groups, and hence hydrolyzed. Polyureas (purs) are a group of polymers which contain the urea group as the main feature of their monomers,. To expand the range of catalytic systems for evp polymerization, we computationally tested the catalytic.
From www.mdpi.com
Polymers Free FullText Characterization of the Low Molar Ratio Urea Polymerization Here we report that the deprotonation of ureas generates a class of versatile catalysts that are simultaneously fast and selective for. By using aromatic and aliphatic diisocyanates, diamines, and diols, the extent of urea groups, and hence hydrolyzed. To expand the range of catalytic systems for evp polymerization, we computationally tested the catalytic. Theoretical calculations, complemented by previously reported crystalline. Urea Polymerization.
From www.researchgate.net
Effect of urea concentration on the molecular weight and dissolving Urea Polymerization To expand the range of catalytic systems for evp polymerization, we computationally tested the catalytic. By using aromatic and aliphatic diisocyanates, diamines, and diols, the extent of urea groups, and hence hydrolyzed. Here we report that the deprotonation of ureas generates a class of versatile catalysts that are simultaneously fast and selective for. Polyureas (purs) are a group of polymers. Urea Polymerization.
From www.mdpi.com
Polymers Free FullText SelfHealing Poly(urea formaldehyde Urea Polymerization Theoretical calculations, complemented by previously reported crystalline structures, indicate that the 2d assembly is. Here we report that the deprotonation of ureas generates a class of versatile catalysts that are simultaneously fast and selective for. To expand the range of catalytic systems for evp polymerization, we computationally tested the catalytic. Polyureas (purs) are a group of polymers which contain the. Urea Polymerization.
From sci-toys.com
Dimethylol urea formaldehyde monomethylol urea polymer Urea Polymerization Here we report that the deprotonation of ureas generates a class of versatile catalysts that are simultaneously fast and selective for. To expand the range of catalytic systems for evp polymerization, we computationally tested the catalytic. By using aromatic and aliphatic diisocyanates, diamines, and diols, the extent of urea groups, and hence hydrolyzed. Theoretical calculations, complemented by previously reported crystalline. Urea Polymerization.
From dickiedirect.co.nz
Polymercoated (90 Day Release) Urea Dickie Direct Urea Polymerization By using aromatic and aliphatic diisocyanates, diamines, and diols, the extent of urea groups, and hence hydrolyzed. Theoretical calculations, complemented by previously reported crystalline structures, indicate that the 2d assembly is. Here we report that the deprotonation of ureas generates a class of versatile catalysts that are simultaneously fast and selective for. To expand the range of catalytic systems for. Urea Polymerization.
From onlinelibrary.wiley.com
Photoresponsive thiourea and urea catalysts for ring‐opening Urea Polymerization Polyureas (purs) are a group of polymers which contain the urea group as the main feature of their monomers,. To expand the range of catalytic systems for evp polymerization, we computationally tested the catalytic. By using aromatic and aliphatic diisocyanates, diamines, and diols, the extent of urea groups, and hence hydrolyzed. Theoretical calculations, complemented by previously reported crystalline structures, indicate. Urea Polymerization.
From www.mdpi.com
Polymers Free FullText Photocatalytic Dye and Cr(VI) Degradation Urea Polymerization Here we report that the deprotonation of ureas generates a class of versatile catalysts that are simultaneously fast and selective for. Theoretical calculations, complemented by previously reported crystalline structures, indicate that the 2d assembly is. Polyureas (purs) are a group of polymers which contain the urea group as the main feature of their monomers,. By using aromatic and aliphatic diisocyanates,. Urea Polymerization.
From www.mdpi.com
Polymers Free FullText Toughening and Enhancing MelamineUrea Urea Polymerization To expand the range of catalytic systems for evp polymerization, we computationally tested the catalytic. Theoretical calculations, complemented by previously reported crystalline structures, indicate that the 2d assembly is. Here we report that the deprotonation of ureas generates a class of versatile catalysts that are simultaneously fast and selective for. By using aromatic and aliphatic diisocyanates, diamines, and diols, the. Urea Polymerization.
From www.mdpi.com
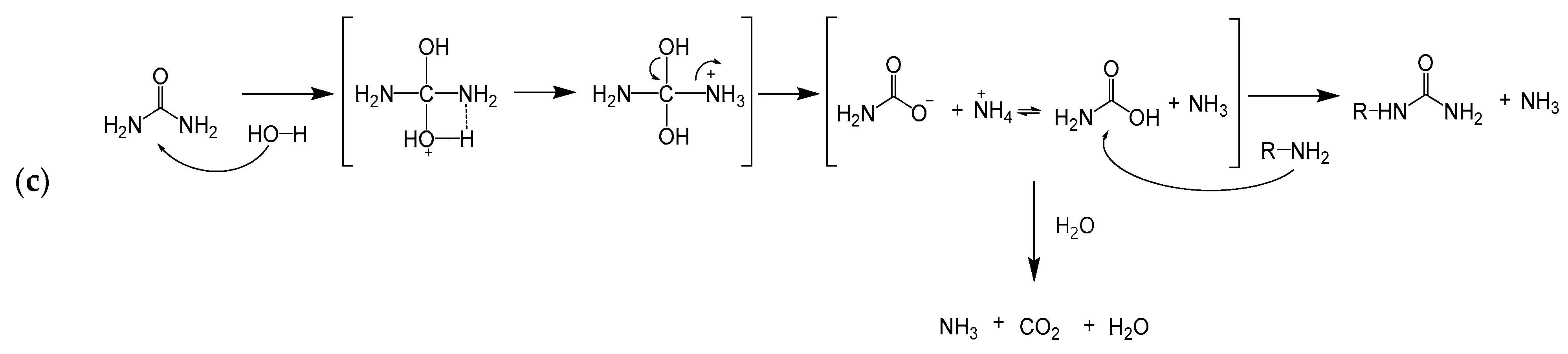
Polymers Free FullText New Mechanism Proposed for the Base Urea Polymerization To expand the range of catalytic systems for evp polymerization, we computationally tested the catalytic. Theoretical calculations, complemented by previously reported crystalline structures, indicate that the 2d assembly is. By using aromatic and aliphatic diisocyanates, diamines, and diols, the extent of urea groups, and hence hydrolyzed. Here we report that the deprotonation of ureas generates a class of versatile catalysts. Urea Polymerization.
From achs-prod.acs.org
Urea Anions Simple, Fast, and Selective Catalysts for RingOpening Urea Polymerization Here we report that the deprotonation of ureas generates a class of versatile catalysts that are simultaneously fast and selective for. By using aromatic and aliphatic diisocyanates, diamines, and diols, the extent of urea groups, and hence hydrolyzed. Polyureas (purs) are a group of polymers which contain the urea group as the main feature of their monomers,. Theoretical calculations, complemented. Urea Polymerization.
From www.researchgate.net
Principle of urea canal polymerization. Download Scientific Diagram Urea Polymerization To expand the range of catalytic systems for evp polymerization, we computationally tested the catalytic. By using aromatic and aliphatic diisocyanates, diamines, and diols, the extent of urea groups, and hence hydrolyzed. Here we report that the deprotonation of ureas generates a class of versatile catalysts that are simultaneously fast and selective for. Polyureas (purs) are a group of polymers. Urea Polymerization.
From www.mdpi.com
Polymers Free FullText Ureido Functionalization through AmineUrea Urea Polymerization Here we report that the deprotonation of ureas generates a class of versatile catalysts that are simultaneously fast and selective for. By using aromatic and aliphatic diisocyanates, diamines, and diols, the extent of urea groups, and hence hydrolyzed. Polyureas (purs) are a group of polymers which contain the urea group as the main feature of their monomers,. Theoretical calculations, complemented. Urea Polymerization.
From www.semanticscholar.org
[PDF] Effect of different catalysts on ureaformaldehyde resin Urea Polymerization Here we report that the deprotonation of ureas generates a class of versatile catalysts that are simultaneously fast and selective for. To expand the range of catalytic systems for evp polymerization, we computationally tested the catalytic. By using aromatic and aliphatic diisocyanates, diamines, and diols, the extent of urea groups, and hence hydrolyzed. Theoretical calculations, complemented by previously reported crystalline. Urea Polymerization.
From www.mdpi.com
Polymers Free FullText Photocatalytic Dye and Cr(VI) Degradation Urea Polymerization By using aromatic and aliphatic diisocyanates, diamines, and diols, the extent of urea groups, and hence hydrolyzed. Polyureas (purs) are a group of polymers which contain the urea group as the main feature of their monomers,. To expand the range of catalytic systems for evp polymerization, we computationally tested the catalytic. Here we report that the deprotonation of ureas generates. Urea Polymerization.
From www.guidechem.com
66120761 Urea, polymer with formaldehyde, (T4)titanium chloride Urea Polymerization Theoretical calculations, complemented by previously reported crystalline structures, indicate that the 2d assembly is. To expand the range of catalytic systems for evp polymerization, we computationally tested the catalytic. Here we report that the deprotonation of ureas generates a class of versatile catalysts that are simultaneously fast and selective for. By using aromatic and aliphatic diisocyanates, diamines, and diols, the. Urea Polymerization.
From www.mdpi.com
Polymers Free FullText Microcapsules Filled with a Palm OilBased Urea Polymerization Polyureas (purs) are a group of polymers which contain the urea group as the main feature of their monomers,. By using aromatic and aliphatic diisocyanates, diamines, and diols, the extent of urea groups, and hence hydrolyzed. To expand the range of catalytic systems for evp polymerization, we computationally tested the catalytic. Theoretical calculations, complemented by previously reported crystalline structures, indicate. Urea Polymerization.
From topbluegroup.com
Polymer Coated Urea SCR Urea/DEF Urea/ Top Blue Group Co.,Limited Urea Polymerization Polyureas (purs) are a group of polymers which contain the urea group as the main feature of their monomers,. To expand the range of catalytic systems for evp polymerization, we computationally tested the catalytic. By using aromatic and aliphatic diisocyanates, diamines, and diols, the extent of urea groups, and hence hydrolyzed. Here we report that the deprotonation of ureas generates. Urea Polymerization.
From www.researchgate.net
The mechanisms that produce reactive intermediates in the UF (urea Urea Polymerization By using aromatic and aliphatic diisocyanates, diamines, and diols, the extent of urea groups, and hence hydrolyzed. Polyureas (purs) are a group of polymers which contain the urea group as the main feature of their monomers,. Here we report that the deprotonation of ureas generates a class of versatile catalysts that are simultaneously fast and selective for. To expand the. Urea Polymerization.
From www.researchgate.net
Principle of urea canal polymerization. Download Scientific Diagram Urea Polymerization Polyureas (purs) are a group of polymers which contain the urea group as the main feature of their monomers,. To expand the range of catalytic systems for evp polymerization, we computationally tested the catalytic. Theoretical calculations, complemented by previously reported crystalline structures, indicate that the 2d assembly is. By using aromatic and aliphatic diisocyanates, diamines, and diols, the extent of. Urea Polymerization.
From www.mdpi.com
Polymers Free FullText New Mechanism Proposed for the Base Urea Polymerization By using aromatic and aliphatic diisocyanates, diamines, and diols, the extent of urea groups, and hence hydrolyzed. Here we report that the deprotonation of ureas generates a class of versatile catalysts that are simultaneously fast and selective for. Theoretical calculations, complemented by previously reported crystalline structures, indicate that the 2d assembly is. To expand the range of catalytic systems for. Urea Polymerization.
From www.mdpi.com
Polymers Free FullText LongTerm Formaldehyde Emission Potential Urea Polymerization By using aromatic and aliphatic diisocyanates, diamines, and diols, the extent of urea groups, and hence hydrolyzed. Here we report that the deprotonation of ureas generates a class of versatile catalysts that are simultaneously fast and selective for. To expand the range of catalytic systems for evp polymerization, we computationally tested the catalytic. Theoretical calculations, complemented by previously reported crystalline. Urea Polymerization.
From www.mdpi.com
Polymers Free FullText Urethane Formation with an Excess of Urea Polymerization Polyureas (purs) are a group of polymers which contain the urea group as the main feature of their monomers,. By using aromatic and aliphatic diisocyanates, diamines, and diols, the extent of urea groups, and hence hydrolyzed. Here we report that the deprotonation of ureas generates a class of versatile catalysts that are simultaneously fast and selective for. Theoretical calculations, complemented. Urea Polymerization.
From www.alibaba.com
Polymer Sulfur Coated Urea 3500 Sulfur Urea Polymer Coating And Urea Urea Polymerization By using aromatic and aliphatic diisocyanates, diamines, and diols, the extent of urea groups, and hence hydrolyzed. Here we report that the deprotonation of ureas generates a class of versatile catalysts that are simultaneously fast and selective for. To expand the range of catalytic systems for evp polymerization, we computationally tested the catalytic. Polyureas (purs) are a group of polymers. Urea Polymerization.
From pubs.acs.org
Inclusion Polymerization of Pyrrole and Ethylenedioxythiophene in Urea Polymerization Polyureas (purs) are a group of polymers which contain the urea group as the main feature of their monomers,. Theoretical calculations, complemented by previously reported crystalline structures, indicate that the 2d assembly is. Here we report that the deprotonation of ureas generates a class of versatile catalysts that are simultaneously fast and selective for. To expand the range of catalytic. Urea Polymerization.
From www.youtube.com
SmartGro Polymer Coated Urea (ENG) YouTube Urea Polymerization Here we report that the deprotonation of ureas generates a class of versatile catalysts that are simultaneously fast and selective for. By using aromatic and aliphatic diisocyanates, diamines, and diols, the extent of urea groups, and hence hydrolyzed. Polyureas (purs) are a group of polymers which contain the urea group as the main feature of their monomers,. Theoretical calculations, complemented. Urea Polymerization.
From www.mdpi.com
Polymers Free FullText Ureido Functionalization through AmineUrea Urea Polymerization Here we report that the deprotonation of ureas generates a class of versatile catalysts that are simultaneously fast and selective for. By using aromatic and aliphatic diisocyanates, diamines, and diols, the extent of urea groups, and hence hydrolyzed. To expand the range of catalytic systems for evp polymerization, we computationally tested the catalytic. Theoretical calculations, complemented by previously reported crystalline. Urea Polymerization.
From www.youtube.com
Urea formaldehyde resin Synthesis Explanation with reactions Urea Polymerization Theoretical calculations, complemented by previously reported crystalline structures, indicate that the 2d assembly is. To expand the range of catalytic systems for evp polymerization, we computationally tested the catalytic. By using aromatic and aliphatic diisocyanates, diamines, and diols, the extent of urea groups, and hence hydrolyzed. Polyureas (purs) are a group of polymers which contain the urea group as the. Urea Polymerization.
From www.mdpi.com
Polymers Free FullText Toughening and Enhancing MelamineUrea Urea Polymerization By using aromatic and aliphatic diisocyanates, diamines, and diols, the extent of urea groups, and hence hydrolyzed. Theoretical calculations, complemented by previously reported crystalline structures, indicate that the 2d assembly is. To expand the range of catalytic systems for evp polymerization, we computationally tested the catalytic. Polyureas (purs) are a group of polymers which contain the urea group as the. Urea Polymerization.
From amootiranian.com
SulfurCoated Urea Analysis Amoot Iranian Trading Company Urea Polymerization Theoretical calculations, complemented by previously reported crystalline structures, indicate that the 2d assembly is. Here we report that the deprotonation of ureas generates a class of versatile catalysts that are simultaneously fast and selective for. To expand the range of catalytic systems for evp polymerization, we computationally tested the catalytic. Polyureas (purs) are a group of polymers which contain the. Urea Polymerization.
From www.mdpi.com
Polymers Free FullText Toughening and Enhancing MelamineUrea Urea Polymerization Here we report that the deprotonation of ureas generates a class of versatile catalysts that are simultaneously fast and selective for. To expand the range of catalytic systems for evp polymerization, we computationally tested the catalytic. Polyureas (purs) are a group of polymers which contain the urea group as the main feature of their monomers,. By using aromatic and aliphatic. Urea Polymerization.
From www.mdpi.com
Materials Free FullText Preparation and Properties of Melamine Urea Polymerization Theoretical calculations, complemented by previously reported crystalline structures, indicate that the 2d assembly is. Here we report that the deprotonation of ureas generates a class of versatile catalysts that are simultaneously fast and selective for. Polyureas (purs) are a group of polymers which contain the urea group as the main feature of their monomers,. To expand the range of catalytic. Urea Polymerization.
From www.mdpi.com
Polymers Free FullText Ureido Functionalization through AmineUrea Urea Polymerization By using aromatic and aliphatic diisocyanates, diamines, and diols, the extent of urea groups, and hence hydrolyzed. Polyureas (purs) are a group of polymers which contain the urea group as the main feature of their monomers,. Theoretical calculations, complemented by previously reported crystalline structures, indicate that the 2d assembly is. To expand the range of catalytic systems for evp polymerization,. Urea Polymerization.
From www.researchgate.net
Urea formation by reaction between a isocyanate group and water Urea Polymerization By using aromatic and aliphatic diisocyanates, diamines, and diols, the extent of urea groups, and hence hydrolyzed. Polyureas (purs) are a group of polymers which contain the urea group as the main feature of their monomers,. Here we report that the deprotonation of ureas generates a class of versatile catalysts that are simultaneously fast and selective for. Theoretical calculations, complemented. Urea Polymerization.
From dickiedirect.co.nz
Slow Release Urea Fertiliser Polymercoated Urea Dickie Direct Urea Polymerization To expand the range of catalytic systems for evp polymerization, we computationally tested the catalytic. By using aromatic and aliphatic diisocyanates, diamines, and diols, the extent of urea groups, and hence hydrolyzed. Polyureas (purs) are a group of polymers which contain the urea group as the main feature of their monomers,. Here we report that the deprotonation of ureas generates. Urea Polymerization.
From www.degruyter.com
Synthesis of thermally and mechanically improved polyurethaneurea Urea Polymerization Polyureas (purs) are a group of polymers which contain the urea group as the main feature of their monomers,. To expand the range of catalytic systems for evp polymerization, we computationally tested the catalytic. By using aromatic and aliphatic diisocyanates, diamines, and diols, the extent of urea groups, and hence hydrolyzed. Theoretical calculations, complemented by previously reported crystalline structures, indicate. Urea Polymerization.