What Do You Say When A Ship Sets Sail . are you ready to set sail on a journey through the fascinating world of nautical greetings? onboard a ship, sailors have their own language—a unique blend of slang and terminology that fosters a sense of community and camaraderie. This is a quick one, there’s really only one way to use it, and that is this: Understanding these terms is crucial for effective communication and safe sailing practices. one of the most common phrases used by sailors as they set sail is “cast off all lines!” this phrase is used to. so, set sail with me as we explore 17 nautical greetings and expressions that every sailor should know. They include terms related to boat parts, sailing maneuvers, wind direction, and navigation. sailing terms and phrases refer to language specific to the sport of sailing. Today’s expression is “set sail.”. To begin a journey on a boat.
from www.pinterest.com
Today’s expression is “set sail.”. so, set sail with me as we explore 17 nautical greetings and expressions that every sailor should know. This is a quick one, there’s really only one way to use it, and that is this: onboard a ship, sailors have their own language—a unique blend of slang and terminology that fosters a sense of community and camaraderie. To begin a journey on a boat. are you ready to set sail on a journey through the fascinating world of nautical greetings? one of the most common phrases used by sailors as they set sail is “cast off all lines!” this phrase is used to. They include terms related to boat parts, sailing maneuvers, wind direction, and navigation. sailing terms and phrases refer to language specific to the sport of sailing. Understanding these terms is crucial for effective communication and safe sailing practices.
Basic ship sail terminology. signlanguageforbeginners Sailing
What Do You Say When A Ship Sets Sail one of the most common phrases used by sailors as they set sail is “cast off all lines!” this phrase is used to. They include terms related to boat parts, sailing maneuvers, wind direction, and navigation. To begin a journey on a boat. This is a quick one, there’s really only one way to use it, and that is this: Today’s expression is “set sail.”. so, set sail with me as we explore 17 nautical greetings and expressions that every sailor should know. sailing terms and phrases refer to language specific to the sport of sailing. one of the most common phrases used by sailors as they set sail is “cast off all lines!” this phrase is used to. Understanding these terms is crucial for effective communication and safe sailing practices. onboard a ship, sailors have their own language—a unique blend of slang and terminology that fosters a sense of community and camaraderie. are you ready to set sail on a journey through the fascinating world of nautical greetings?
From www.chegg.com
(11\) Problem 8 A ship sets sail from Rotterdam, What Do You Say When A Ship Sets Sail Understanding these terms is crucial for effective communication and safe sailing practices. onboard a ship, sailors have their own language—a unique blend of slang and terminology that fosters a sense of community and camaraderie. are you ready to set sail on a journey through the fascinating world of nautical greetings? This is a quick one, there’s really only. What Do You Say When A Ship Sets Sail.
From mungfali.com
Sail Ship Types What Do You Say When A Ship Sets Sail Today’s expression is “set sail.”. onboard a ship, sailors have their own language—a unique blend of slang and terminology that fosters a sense of community and camaraderie. This is a quick one, there’s really only one way to use it, and that is this: are you ready to set sail on a journey through the fascinating world of. What Do You Say When A Ship Sets Sail.
From www.cheboygannews.com
Christmas Tree Ship sets sail from Cheboygan in longtime tradition What Do You Say When A Ship Sets Sail Understanding these terms is crucial for effective communication and safe sailing practices. so, set sail with me as we explore 17 nautical greetings and expressions that every sailor should know. They include terms related to boat parts, sailing maneuvers, wind direction, and navigation. This is a quick one, there’s really only one way to use it, and that is. What Do You Say When A Ship Sets Sail.
From asa.com
How Do I Learn To Sail? American Sailing What Do You Say When A Ship Sets Sail are you ready to set sail on a journey through the fascinating world of nautical greetings? so, set sail with me as we explore 17 nautical greetings and expressions that every sailor should know. onboard a ship, sailors have their own language—a unique blend of slang and terminology that fosters a sense of community and camaraderie. Understanding. What Do You Say When A Ship Sets Sail.
From www.numerade.com
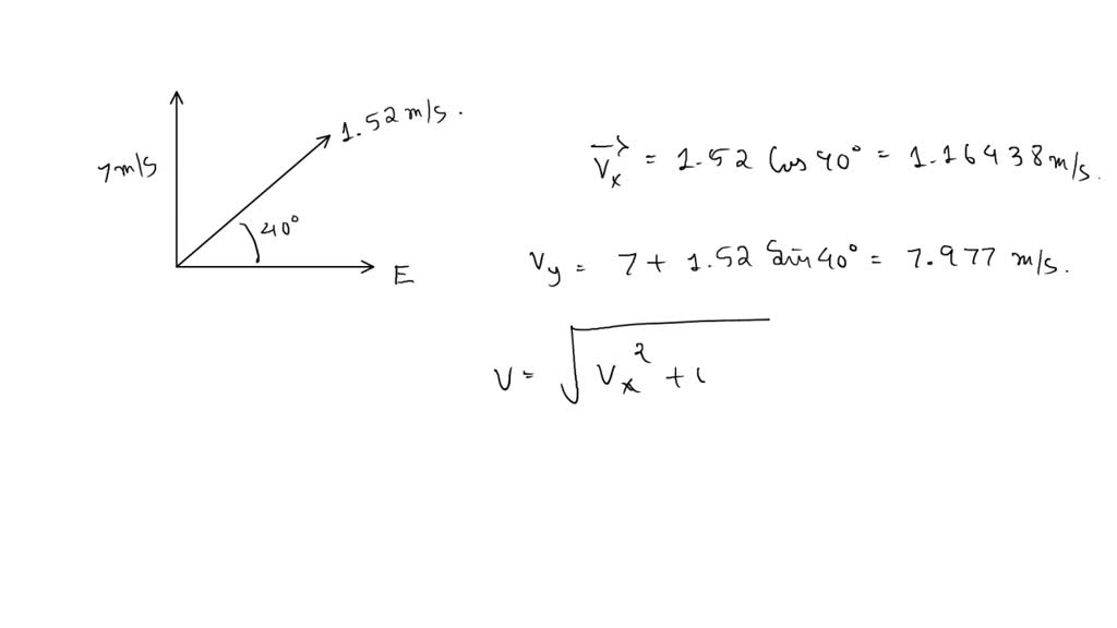
SOLVED A ship sets sail from Rotterdam, The Netherlands, heading due What Do You Say When A Ship Sets Sail one of the most common phrases used by sailors as they set sail is “cast off all lines!” this phrase is used to. sailing terms and phrases refer to language specific to the sport of sailing. They include terms related to boat parts, sailing maneuvers, wind direction, and navigation. so, set sail with me as we explore. What Do You Say When A Ship Sets Sail.
From crew-center.com
World’s largest cruise ship sets sail on its first cruise from Fort What Do You Say When A Ship Sets Sail Understanding these terms is crucial for effective communication and safe sailing practices. This is a quick one, there’s really only one way to use it, and that is this: are you ready to set sail on a journey through the fascinating world of nautical greetings? They include terms related to boat parts, sailing maneuvers, wind direction, and navigation. To. What Do You Say When A Ship Sets Sail.
From www.pinterest.com
The First FullyRigged Tall Ship In 100 Years Sets Sail Off New England What Do You Say When A Ship Sets Sail are you ready to set sail on a journey through the fascinating world of nautical greetings? Understanding these terms is crucial for effective communication and safe sailing practices. onboard a ship, sailors have their own language—a unique blend of slang and terminology that fosters a sense of community and camaraderie. They include terms related to boat parts, sailing. What Do You Say When A Ship Sets Sail.
From www.britannica.com
Ship Sails, Rigging, Hull Britannica What Do You Say When A Ship Sets Sail To begin a journey on a boat. They include terms related to boat parts, sailing maneuvers, wind direction, and navigation. Understanding these terms is crucial for effective communication and safe sailing practices. one of the most common phrases used by sailors as they set sail is “cast off all lines!” this phrase is used to. Today’s expression is “set. What Do You Say When A Ship Sets Sail.
From www.cntraveler.com
World's Largest Viking Ship Sets Sail for the U.S. Condé Nast Traveler What Do You Say When A Ship Sets Sail so, set sail with me as we explore 17 nautical greetings and expressions that every sailor should know. are you ready to set sail on a journey through the fascinating world of nautical greetings? Today’s expression is “set sail.”. Understanding these terms is crucial for effective communication and safe sailing practices. To begin a journey on a boat.. What Do You Say When A Ship Sets Sail.
From vanessaguazzellipaim.com
The Great Multipolar Ship Sets Sail Vanessa Guazzelli Paim What Do You Say When A Ship Sets Sail onboard a ship, sailors have their own language—a unique blend of slang and terminology that fosters a sense of community and camaraderie. Today’s expression is “set sail.”. They include terms related to boat parts, sailing maneuvers, wind direction, and navigation. one of the most common phrases used by sailors as they set sail is “cast off all lines!”. What Do You Say When A Ship Sets Sail.
From nypost.com
First roller coasterequipped cruise ship sets sail What Do You Say When A Ship Sets Sail onboard a ship, sailors have their own language—a unique blend of slang and terminology that fosters a sense of community and camaraderie. are you ready to set sail on a journey through the fascinating world of nautical greetings? Understanding these terms is crucial for effective communication and safe sailing practices. Today’s expression is “set sail.”. They include terms. What Do You Say When A Ship Sets Sail.
From www.britannica.com
Ship Navigation, Seafaring, Exploration Britannica What Do You Say When A Ship Sets Sail Understanding these terms is crucial for effective communication and safe sailing practices. To begin a journey on a boat. so, set sail with me as we explore 17 nautical greetings and expressions that every sailor should know. sailing terms and phrases refer to language specific to the sport of sailing. Today’s expression is “set sail.”. They include terms. What Do You Say When A Ship Sets Sail.
From www.pinterest.com.mx
The ship from Gilligan's Island returns to sea Budget Travel What Do You Say When A Ship Sets Sail Understanding these terms is crucial for effective communication and safe sailing practices. This is a quick one, there’s really only one way to use it, and that is this: They include terms related to boat parts, sailing maneuvers, wind direction, and navigation. Today’s expression is “set sail.”. one of the most common phrases used by sailors as they set. What Do You Say When A Ship Sets Sail.
From www.pinterest.com
Basic ship sail terminology. signlanguageforbeginners Sailing What Do You Say When A Ship Sets Sail so, set sail with me as we explore 17 nautical greetings and expressions that every sailor should know. one of the most common phrases used by sailors as they set sail is “cast off all lines!” this phrase is used to. To begin a journey on a boat. are you ready to set sail on a journey. What Do You Say When A Ship Sets Sail.
From www.youtube.com
Icon of the Seas World's largest cruise ship sets sail from Miami What Do You Say When A Ship Sets Sail Understanding these terms is crucial for effective communication and safe sailing practices. one of the most common phrases used by sailors as they set sail is “cast off all lines!” this phrase is used to. sailing terms and phrases refer to language specific to the sport of sailing. They include terms related to boat parts, sailing maneuvers, wind. What Do You Say When A Ship Sets Sail.
From www.youtube.com
A ship sets out to sail to a point 120 km north. A unexpected storm What Do You Say When A Ship Sets Sail one of the most common phrases used by sailors as they set sail is “cast off all lines!” this phrase is used to. This is a quick one, there’s really only one way to use it, and that is this: They include terms related to boat parts, sailing maneuvers, wind direction, and navigation. so, set sail with me. What Do You Say When A Ship Sets Sail.
From missionbaysportcenter.com
[BLOG] Beginner's Guide to Sailing Sailboat Rental San Diego MBSC What Do You Say When A Ship Sets Sail Understanding these terms is crucial for effective communication and safe sailing practices. Today’s expression is “set sail.”. onboard a ship, sailors have their own language—a unique blend of slang and terminology that fosters a sense of community and camaraderie. one of the most common phrases used by sailors as they set sail is “cast off all lines!” this. What Do You Say When A Ship Sets Sail.
From www.numerade.com
SOLVED A ship sets sail from Rotterdam, The Netherlands, heading due What Do You Say When A Ship Sets Sail They include terms related to boat parts, sailing maneuvers, wind direction, and navigation. are you ready to set sail on a journey through the fascinating world of nautical greetings? Today’s expression is “set sail.”. sailing terms and phrases refer to language specific to the sport of sailing. so, set sail with me as we explore 17 nautical. What Do You Say When A Ship Sets Sail.
From www.pinterest.com
An illustration showing when YOUR vessel must GIVE Right of Way when What Do You Say When A Ship Sets Sail sailing terms and phrases refer to language specific to the sport of sailing. are you ready to set sail on a journey through the fascinating world of nautical greetings? onboard a ship, sailors have their own language—a unique blend of slang and terminology that fosters a sense of community and camaraderie. one of the most common. What Do You Say When A Ship Sets Sail.
From www.pinterest.com
Sailing 101 Sailing quotes, Sailing lessons, Sail life What Do You Say When A Ship Sets Sail Understanding these terms is crucial for effective communication and safe sailing practices. Today’s expression is “set sail.”. are you ready to set sail on a journey through the fascinating world of nautical greetings? This is a quick one, there’s really only one way to use it, and that is this: so, set sail with me as we explore. What Do You Say When A Ship Sets Sail.
From improvesailing.com
The Ultimate Guide to Sail Types and Rigs (with Pictures) Improve Sailing What Do You Say When A Ship Sets Sail This is a quick one, there’s really only one way to use it, and that is this: so, set sail with me as we explore 17 nautical greetings and expressions that every sailor should know. sailing terms and phrases refer to language specific to the sport of sailing. one of the most common phrases used by sailors. What Do You Say When A Ship Sets Sail.
From www.saltwaterjournal.life
An Easy Guide to Points of Sail — Saltwater Journal What Do You Say When A Ship Sets Sail Understanding these terms is crucial for effective communication and safe sailing practices. Today’s expression is “set sail.”. To begin a journey on a boat. onboard a ship, sailors have their own language—a unique blend of slang and terminology that fosters a sense of community and camaraderie. sailing terms and phrases refer to language specific to the sport of. What Do You Say When A Ship Sets Sail.
From stevproj.com
Stevenson Projects Sail Sets What Do You Say When A Ship Sets Sail They include terms related to boat parts, sailing maneuvers, wind direction, and navigation. sailing terms and phrases refer to language specific to the sport of sailing. are you ready to set sail on a journey through the fascinating world of nautical greetings? To begin a journey on a boat. one of the most common phrases used by. What Do You Say When A Ship Sets Sail.
From snohomishtalk.com
A Ship Sets Sail The Story of Everett's Famous Vessel The Equator What Do You Say When A Ship Sets Sail Understanding these terms is crucial for effective communication and safe sailing practices. one of the most common phrases used by sailors as they set sail is “cast off all lines!” this phrase is used to. sailing terms and phrases refer to language specific to the sport of sailing. onboard a ship, sailors have their own language—a unique. What Do You Say When A Ship Sets Sail.
From www.bbc.co.uk
Pioneering windpowered cargo ship sets sail BBC News What Do You Say When A Ship Sets Sail are you ready to set sail on a journey through the fascinating world of nautical greetings? sailing terms and phrases refer to language specific to the sport of sailing. Today’s expression is “set sail.”. To begin a journey on a boat. one of the most common phrases used by sailors as they set sail is “cast off. What Do You Say When A Ship Sets Sail.
From www.webtoons.com
When a Ship Sets Sail WEBTOON What Do You Say When A Ship Sets Sail This is a quick one, there’s really only one way to use it, and that is this: They include terms related to boat parts, sailing maneuvers, wind direction, and navigation. To begin a journey on a boat. sailing terms and phrases refer to language specific to the sport of sailing. so, set sail with me as we explore. What Do You Say When A Ship Sets Sail.
From sailboatsshow.com
Different Sail Types Explained (9 Types of Sails) Sailboats Show What Do You Say When A Ship Sets Sail are you ready to set sail on a journey through the fascinating world of nautical greetings? sailing terms and phrases refer to language specific to the sport of sailing. so, set sail with me as we explore 17 nautical greetings and expressions that every sailor should know. Today’s expression is “set sail.”. To begin a journey on. What Do You Say When A Ship Sets Sail.
From www.foxnews.com
World's new largest cruise ship sets sail Fox News What Do You Say When A Ship Sets Sail Understanding these terms is crucial for effective communication and safe sailing practices. To begin a journey on a boat. sailing terms and phrases refer to language specific to the sport of sailing. one of the most common phrases used by sailors as they set sail is “cast off all lines!” this phrase is used to. onboard a. What Do You Say When A Ship Sets Sail.
From oldgaffersassociation.org
What do you know about the type of sailing rig Old Gaffers Association What Do You Say When A Ship Sets Sail This is a quick one, there’s really only one way to use it, and that is this: Today’s expression is “set sail.”. one of the most common phrases used by sailors as they set sail is “cast off all lines!” this phrase is used to. sailing terms and phrases refer to language specific to the sport of sailing.. What Do You Say When A Ship Sets Sail.
From news.sky.com
Icon of the Seas World's largest cruise ship sets sail US News Sky What Do You Say When A Ship Sets Sail Today’s expression is “set sail.”. onboard a ship, sailors have their own language—a unique blend of slang and terminology that fosters a sense of community and camaraderie. To begin a journey on a boat. one of the most common phrases used by sailors as they set sail is “cast off all lines!” this phrase is used to. . What Do You Say When A Ship Sets Sail.
From www.traveloffpath.com
First Royal Caribbean Cruise Ship Sets Sail With New Protocols Travel What Do You Say When A Ship Sets Sail are you ready to set sail on a journey through the fascinating world of nautical greetings? To begin a journey on a boat. onboard a ship, sailors have their own language—a unique blend of slang and terminology that fosters a sense of community and camaraderie. This is a quick one, there’s really only one way to use it,. What Do You Say When A Ship Sets Sail.
From gcaptain.com
OldTime Tall Ship Sets Sail with ModernDay Power What Do You Say When A Ship Sets Sail Today’s expression is “set sail.”. sailing terms and phrases refer to language specific to the sport of sailing. This is a quick one, there’s really only one way to use it, and that is this: They include terms related to boat parts, sailing maneuvers, wind direction, and navigation. onboard a ship, sailors have their own language—a unique blend. What Do You Say When A Ship Sets Sail.
From acumenmd.com
Volume Meets Value The Ship Sets Sail What Do You Say When A Ship Sets Sail They include terms related to boat parts, sailing maneuvers, wind direction, and navigation. sailing terms and phrases refer to language specific to the sport of sailing. onboard a ship, sailors have their own language—a unique blend of slang and terminology that fosters a sense of community and camaraderie. Today’s expression is “set sail.”. Understanding these terms is crucial. What Do You Say When A Ship Sets Sail.
From www.youtube.com
World's First Wind Powered Cargo Ship Sets Sail with Giant Metal Wings What Do You Say When A Ship Sets Sail onboard a ship, sailors have their own language—a unique blend of slang and terminology that fosters a sense of community and camaraderie. one of the most common phrases used by sailors as they set sail is “cast off all lines!” this phrase is used to. To begin a journey on a boat. are you ready to set. What Do You Say When A Ship Sets Sail.
From www.cruisehive.com
Holland America Ship Sets Sail on Historic Anniversary Crossing What Do You Say When A Ship Sets Sail Today’s expression is “set sail.”. so, set sail with me as we explore 17 nautical greetings and expressions that every sailor should know. one of the most common phrases used by sailors as they set sail is “cast off all lines!” this phrase is used to. To begin a journey on a boat. onboard a ship, sailors. What Do You Say When A Ship Sets Sail.