Analyte Concentration Calculator . N (mol) = c (mol /l) * v (l) and the amount of titrant can be used in the usual stoichiometric. The amount of added titrant is determined from its concentration and volume: In this formula, the volume of the titrant. Also, it allows to find the volume of. Concentration of analyte (in mol/l) = (volume of titrant × molarity of titrant) / volume of analyte. The titration calculator helps you determine the concentration of an unknown analyte in a solution through titration. This titration calculator is used to calculate the unknown molarity (concentration) of an acid or base solution using the data from a titration experiment. This online calculator calculates the molarity of a solution from. Titration is a method to determine the unknown concentration of a specific substance (analyte) dissolved in a sample of. Concentration of analyte with uncertainty analysis for replicate titrations.
from www.youtube.com
N (mol) = c (mol /l) * v (l) and the amount of titrant can be used in the usual stoichiometric. Titration is a method to determine the unknown concentration of a specific substance (analyte) dissolved in a sample of. Concentration of analyte (in mol/l) = (volume of titrant × molarity of titrant) / volume of analyte. The amount of added titrant is determined from its concentration and volume: In this formula, the volume of the titrant. This online calculator calculates the molarity of a solution from. Concentration of analyte with uncertainty analysis for replicate titrations. The titration calculator helps you determine the concentration of an unknown analyte in a solution through titration. Also, it allows to find the volume of. This titration calculator is used to calculate the unknown molarity (concentration) of an acid or base solution using the data from a titration experiment.
Calculate Concentration (Example) YouTube
Analyte Concentration Calculator Titration is a method to determine the unknown concentration of a specific substance (analyte) dissolved in a sample of. Also, it allows to find the volume of. This titration calculator is used to calculate the unknown molarity (concentration) of an acid or base solution using the data from a titration experiment. This online calculator calculates the molarity of a solution from. In this formula, the volume of the titrant. The amount of added titrant is determined from its concentration and volume: The titration calculator helps you determine the concentration of an unknown analyte in a solution through titration. N (mol) = c (mol /l) * v (l) and the amount of titrant can be used in the usual stoichiometric. Titration is a method to determine the unknown concentration of a specific substance (analyte) dissolved in a sample of. Concentration of analyte with uncertainty analysis for replicate titrations. Concentration of analyte (in mol/l) = (volume of titrant × molarity of titrant) / volume of analyte.
From www.numerade.com
SOLVED Using the equation given in the introduction section for the Analyte Concentration Calculator In this formula, the volume of the titrant. The titration calculator helps you determine the concentration of an unknown analyte in a solution through titration. This titration calculator is used to calculate the unknown molarity (concentration) of an acid or base solution using the data from a titration experiment. Also, it allows to find the volume of. The amount of. Analyte Concentration Calculator.
From oneclass.com
OneClass How would I calculate the concentration of the three Analyte Concentration Calculator Concentration of analyte (in mol/l) = (volume of titrant × molarity of titrant) / volume of analyte. This online calculator calculates the molarity of a solution from. Concentration of analyte with uncertainty analysis for replicate titrations. The titration calculator helps you determine the concentration of an unknown analyte in a solution through titration. In this formula, the volume of the. Analyte Concentration Calculator.
From www.youtube.com
CHEMISTRY 101 Calculating Ion Concentration by Molarity and Solution Analyte Concentration Calculator Concentration of analyte with uncertainty analysis for replicate titrations. In this formula, the volume of the titrant. Concentration of analyte (in mol/l) = (volume of titrant × molarity of titrant) / volume of analyte. This online calculator calculates the molarity of a solution from. This titration calculator is used to calculate the unknown molarity (concentration) of an acid or base. Analyte Concentration Calculator.
From www.chegg.com
Solved (b) Fill in the Table below analyte Concentration Analyte Concentration Calculator The amount of added titrant is determined from its concentration and volume: Also, it allows to find the volume of. This titration calculator is used to calculate the unknown molarity (concentration) of an acid or base solution using the data from a titration experiment. Concentration of analyte with uncertainty analysis for replicate titrations. In this formula, the volume of the. Analyte Concentration Calculator.
From www.chegg.com
Solved Internal standards are commonly used in Analyte Concentration Calculator Concentration of analyte with uncertainty analysis for replicate titrations. The titration calculator helps you determine the concentration of an unknown analyte in a solution through titration. Titration is a method to determine the unknown concentration of a specific substance (analyte) dissolved in a sample of. This online calculator calculates the molarity of a solution from. Concentration of analyte (in mol/l). Analyte Concentration Calculator.
From www.chegg.com
CONCENTRATION OF STANDARDIZED HCI (M) ANALYTE \\( Analyte Concentration Calculator Concentration of analyte with uncertainty analysis for replicate titrations. Also, it allows to find the volume of. In this formula, the volume of the titrant. The amount of added titrant is determined from its concentration and volume: Concentration of analyte (in mol/l) = (volume of titrant × molarity of titrant) / volume of analyte. This titration calculator is used to. Analyte Concentration Calculator.
From www.researchgate.net
Measured analyte concentration in each tank as a function of time and Analyte Concentration Calculator Also, it allows to find the volume of. This titration calculator is used to calculate the unknown molarity (concentration) of an acid or base solution using the data from a titration experiment. This online calculator calculates the molarity of a solution from. The titration calculator helps you determine the concentration of an unknown analyte in a solution through titration. In. Analyte Concentration Calculator.
From www.youtube.com
Chemistry Calculations SC14 Calculating Concentration with Moles Analyte Concentration Calculator Titration is a method to determine the unknown concentration of a specific substance (analyte) dissolved in a sample of. Concentration of analyte (in mol/l) = (volume of titrant × molarity of titrant) / volume of analyte. Also, it allows to find the volume of. In this formula, the volume of the titrant. Concentration of analyte with uncertainty analysis for replicate. Analyte Concentration Calculator.
From www.numerade.com
SOLVEDInternal standards are commonly used in chromatography to Analyte Concentration Calculator Concentration of analyte with uncertainty analysis for replicate titrations. This titration calculator is used to calculate the unknown molarity (concentration) of an acid or base solution using the data from a titration experiment. In this formula, the volume of the titrant. N (mol) = c (mol /l) * v (l) and the amount of titrant can be used in the. Analyte Concentration Calculator.
From www.slideserve.com
PPT Concentration of Solutions and the Concentration/Volume Analyte Concentration Calculator Concentration of analyte with uncertainty analysis for replicate titrations. N (mol) = c (mol /l) * v (l) and the amount of titrant can be used in the usual stoichiometric. Also, it allows to find the volume of. In this formula, the volume of the titrant. This titration calculator is used to calculate the unknown molarity (concentration) of an acid. Analyte Concentration Calculator.
From www.slideserve.com
PPT TITRATION PowerPoint Presentation, free download ID1459481 Analyte Concentration Calculator The amount of added titrant is determined from its concentration and volume: This online calculator calculates the molarity of a solution from. N (mol) = c (mol /l) * v (l) and the amount of titrant can be used in the usual stoichiometric. Concentration of analyte (in mol/l) = (volume of titrant × molarity of titrant) / volume of analyte.. Analyte Concentration Calculator.
From www.numerade.com
SOLVED internal standard analyte standard standard 2 standard 3 Analyte Concentration Calculator Also, it allows to find the volume of. N (mol) = c (mol /l) * v (l) and the amount of titrant can be used in the usual stoichiometric. The titration calculator helps you determine the concentration of an unknown analyte in a solution through titration. This online calculator calculates the molarity of a solution from. This titration calculator is. Analyte Concentration Calculator.
From www.researchgate.net
Equations for quantification of analyte concentration using ratiometric Analyte Concentration Calculator Also, it allows to find the volume of. This titration calculator is used to calculate the unknown molarity (concentration) of an acid or base solution using the data from a titration experiment. The titration calculator helps you determine the concentration of an unknown analyte in a solution through titration. This online calculator calculates the molarity of a solution from. Concentration. Analyte Concentration Calculator.
From www.researchgate.net
What is the formula to calculate the actual results of a diluted and Analyte Concentration Calculator This online calculator calculates the molarity of a solution from. Concentration of analyte with uncertainty analysis for replicate titrations. The titration calculator helps you determine the concentration of an unknown analyte in a solution through titration. Concentration of analyte (in mol/l) = (volume of titrant × molarity of titrant) / volume of analyte. In this formula, the volume of the. Analyte Concentration Calculator.
From www.researchgate.net
Metalworking fluid analyte concentration percentiles Download Table Analyte Concentration Calculator This online calculator calculates the molarity of a solution from. Concentration of analyte (in mol/l) = (volume of titrant × molarity of titrant) / volume of analyte. Titration is a method to determine the unknown concentration of a specific substance (analyte) dissolved in a sample of. Concentration of analyte with uncertainty analysis for replicate titrations. The titration calculator helps you. Analyte Concentration Calculator.
From chavonnealec.blogspot.com
23+ Molarity Calculator Sigma ChavonneAlec Analyte Concentration Calculator Concentration of analyte with uncertainty analysis for replicate titrations. Titration is a method to determine the unknown concentration of a specific substance (analyte) dissolved in a sample of. This online calculator calculates the molarity of a solution from. N (mol) = c (mol /l) * v (l) and the amount of titrant can be used in the usual stoichiometric. In. Analyte Concentration Calculator.
From www.youtube.com
The Nernst Equation and Concentration Cells Plus Examples YouTube Analyte Concentration Calculator Concentration of analyte (in mol/l) = (volume of titrant × molarity of titrant) / volume of analyte. This titration calculator is used to calculate the unknown molarity (concentration) of an acid or base solution using the data from a titration experiment. Titration is a method to determine the unknown concentration of a specific substance (analyte) dissolved in a sample of.. Analyte Concentration Calculator.
From 134.209.152.22
Online Concentration Calculator How to Convert Molarity to Percentage Analyte Concentration Calculator The titration calculator helps you determine the concentration of an unknown analyte in a solution through titration. Also, it allows to find the volume of. Concentration of analyte (in mol/l) = (volume of titrant × molarity of titrant) / volume of analyte. This titration calculator is used to calculate the unknown molarity (concentration) of an acid or base solution using. Analyte Concentration Calculator.
From www.numerade.com
SOLVED 2. Given the following experimental data, calculate the Analyte Concentration Calculator In this formula, the volume of the titrant. N (mol) = c (mol /l) * v (l) and the amount of titrant can be used in the usual stoichiometric. Concentration of analyte with uncertainty analysis for replicate titrations. This online calculator calculates the molarity of a solution from. The titration calculator helps you determine the concentration of an unknown analyte. Analyte Concentration Calculator.
From www.numerade.com
SOLVED 1. Given the following experimental data, calculate the Analyte Concentration Calculator Concentration of analyte (in mol/l) = (volume of titrant × molarity of titrant) / volume of analyte. Concentration of analyte with uncertainty analysis for replicate titrations. The titration calculator helps you determine the concentration of an unknown analyte in a solution through titration. N (mol) = c (mol /l) * v (l) and the amount of titrant can be used. Analyte Concentration Calculator.
From data.epo.org
METHODS FOR MEASURING ANALYTE CONCENTRATION Patent 3088880 Analyte Concentration Calculator N (mol) = c (mol /l) * v (l) and the amount of titrant can be used in the usual stoichiometric. The amount of added titrant is determined from its concentration and volume: Concentration of analyte with uncertainty analysis for replicate titrations. The titration calculator helps you determine the concentration of an unknown analyte in a solution through titration. Concentration. Analyte Concentration Calculator.
From nicoyalife.com
Top 10 tips for high quality SPR data SPR Guide Analyte Concentration Calculator N (mol) = c (mol /l) * v (l) and the amount of titrant can be used in the usual stoichiometric. Also, it allows to find the volume of. Titration is a method to determine the unknown concentration of a specific substance (analyte) dissolved in a sample of. The amount of added titrant is determined from its concentration and volume:. Analyte Concentration Calculator.
From mungfali.com
Acid Base Titration Calculation Analyte Concentration Calculator This titration calculator is used to calculate the unknown molarity (concentration) of an acid or base solution using the data from a titration experiment. Titration is a method to determine the unknown concentration of a specific substance (analyte) dissolved in a sample of. N (mol) = c (mol /l) * v (l) and the amount of titrant can be used. Analyte Concentration Calculator.
From www.researchgate.net
The distribution of the analyte concentration at the outlet of the Analyte Concentration Calculator Also, it allows to find the volume of. The amount of added titrant is determined from its concentration and volume: This titration calculator is used to calculate the unknown molarity (concentration) of an acid or base solution using the data from a titration experiment. Concentration of analyte with uncertainty analysis for replicate titrations. Titration is a method to determine the. Analyte Concentration Calculator.
From www.numerade.com
SOLVED Internal standards are commonly used in chromatography to Analyte Concentration Calculator This titration calculator is used to calculate the unknown molarity (concentration) of an acid or base solution using the data from a titration experiment. Titration is a method to determine the unknown concentration of a specific substance (analyte) dissolved in a sample of. Concentration of analyte with uncertainty analysis for replicate titrations. The titration calculator helps you determine the concentration. Analyte Concentration Calculator.
From www.youtube.com
Calculating mass given concentration and volume YouTube Analyte Concentration Calculator This titration calculator is used to calculate the unknown molarity (concentration) of an acid or base solution using the data from a titration experiment. Concentration of analyte (in mol/l) = (volume of titrant × molarity of titrant) / volume of analyte. N (mol) = c (mol /l) * v (l) and the amount of titrant can be used in the. Analyte Concentration Calculator.
From www.youtube.com
How to calculate impurity concentration with respect to sample Analyte Concentration Calculator In this formula, the volume of the titrant. The titration calculator helps you determine the concentration of an unknown analyte in a solution through titration. Titration is a method to determine the unknown concentration of a specific substance (analyte) dissolved in a sample of. The amount of added titrant is determined from its concentration and volume: Concentration of analyte (in. Analyte Concentration Calculator.
From vuvanalytics.com
VUV Analytics Analyte Concentration Calculator N (mol) = c (mol /l) * v (l) and the amount of titrant can be used in the usual stoichiometric. In this formula, the volume of the titrant. This titration calculator is used to calculate the unknown molarity (concentration) of an acid or base solution using the data from a titration experiment. Concentration of analyte (in mol/l) = (volume. Analyte Concentration Calculator.
From www.slideserve.com
PPT Calculating concentrations PowerPoint Presentation, free download Analyte Concentration Calculator Concentration of analyte with uncertainty analysis for replicate titrations. N (mol) = c (mol /l) * v (l) and the amount of titrant can be used in the usual stoichiometric. The titration calculator helps you determine the concentration of an unknown analyte in a solution through titration. This titration calculator is used to calculate the unknown molarity (concentration) of an. Analyte Concentration Calculator.
From www.chegg.com
Solved Absorbance can be used to determine the concentration Analyte Concentration Calculator This online calculator calculates the molarity of a solution from. Concentration of analyte (in mol/l) = (volume of titrant × molarity of titrant) / volume of analyte. N (mol) = c (mol /l) * v (l) and the amount of titrant can be used in the usual stoichiometric. Concentration of analyte with uncertainty analysis for replicate titrations. The amount of. Analyte Concentration Calculator.
From www.researchgate.net
Refractive index versus analyte concentration obtained from the Analyte Concentration Calculator The titration calculator helps you determine the concentration of an unknown analyte in a solution through titration. Titration is a method to determine the unknown concentration of a specific substance (analyte) dissolved in a sample of. The amount of added titrant is determined from its concentration and volume: Concentration of analyte with uncertainty analysis for replicate titrations. This online calculator. Analyte Concentration Calculator.
From www.youtube.com
Calculate Concentration (Example) YouTube Analyte Concentration Calculator Concentration of analyte with uncertainty analysis for replicate titrations. The amount of added titrant is determined from its concentration and volume: Titration is a method to determine the unknown concentration of a specific substance (analyte) dissolved in a sample of. The titration calculator helps you determine the concentration of an unknown analyte in a solution through titration. Also, it allows. Analyte Concentration Calculator.
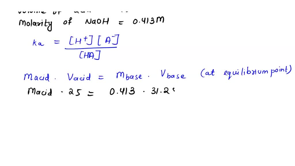
From www.youtube.com
How To Calculate Ka & pKa using CONCENTRATION, pH and ICE TABLES! YouTube Analyte Concentration Calculator Concentration of analyte (in mol/l) = (volume of titrant × molarity of titrant) / volume of analyte. N (mol) = c (mol /l) * v (l) and the amount of titrant can be used in the usual stoichiometric. This titration calculator is used to calculate the unknown molarity (concentration) of an acid or base solution using the data from a. Analyte Concentration Calculator.
From www.chegg.com
Solved Method of Standard Addition Determining Analyte Analyte Concentration Calculator This online calculator calculates the molarity of a solution from. The amount of added titrant is determined from its concentration and volume: Also, it allows to find the volume of. Concentration of analyte (in mol/l) = (volume of titrant × molarity of titrant) / volume of analyte. N (mol) = c (mol /l) * v (l) and the amount of. Analyte Concentration Calculator.
From www.chegg.com
Solved how to calculate the concentration of added analyte Analyte Concentration Calculator This titration calculator is used to calculate the unknown molarity (concentration) of an acid or base solution using the data from a titration experiment. N (mol) = c (mol /l) * v (l) and the amount of titrant can be used in the usual stoichiometric. The titration calculator helps you determine the concentration of an unknown analyte in a solution. Analyte Concentration Calculator.