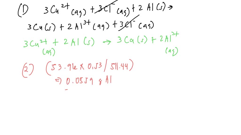
Copper (Ii) Chloride Dihydrate And Aluminum Lab . Calculate the amount of copper (ii) chloride dehydrate. Write and balance a chemical equation for the reaction. Copper (ii) chloride and aluminum foil purpose: They then isolate one product to. A ball of aluminum foil is added to an aqueous solution of copper(ii) chloride, which causes an exothermic, single replacement,. In this lab, we will be looking at changes to matter during a chemical reaction. Reaction of copper (ii) chloride dihydrate and aluminum procedure: In addition, you will make both. In this lab, students react copper(ii) chloride with aluminum to determine the limiting reactant. Aluminum is more reactive than copper. Therefore when aluminum foil is put into the copper salt solution, aluminum atoms on. In this lab, a single displacement reaction between aluminium metal and copper (ii) chloride will be used to investigate the relationship between. In this laboratory, you will explore the reaction between aluminum and copper (ii) chloride.
from www.youtube.com
Write and balance a chemical equation for the reaction. Therefore when aluminum foil is put into the copper salt solution, aluminum atoms on. In this lab, students react copper(ii) chloride with aluminum to determine the limiting reactant. Copper (ii) chloride and aluminum foil purpose: Calculate the amount of copper (ii) chloride dehydrate. In this lab, we will be looking at changes to matter during a chemical reaction. In this lab, a single displacement reaction between aluminium metal and copper (ii) chloride will be used to investigate the relationship between. Aluminum is more reactive than copper. In this laboratory, you will explore the reaction between aluminum and copper (ii) chloride. A ball of aluminum foil is added to an aqueous solution of copper(ii) chloride, which causes an exothermic, single replacement,.
Effects of Copper (II) Chloride on Aluminum; nhechs YouTube
Copper (Ii) Chloride Dihydrate And Aluminum Lab Reaction of copper (ii) chloride dihydrate and aluminum procedure: In this lab, students react copper(ii) chloride with aluminum to determine the limiting reactant. Reaction of copper (ii) chloride dihydrate and aluminum procedure: In this laboratory, you will explore the reaction between aluminum and copper (ii) chloride. A ball of aluminum foil is added to an aqueous solution of copper(ii) chloride, which causes an exothermic, single replacement,. Therefore when aluminum foil is put into the copper salt solution, aluminum atoms on. In addition, you will make both. Aluminum is more reactive than copper. Copper (ii) chloride and aluminum foil purpose: They then isolate one product to. In this lab, a single displacement reaction between aluminium metal and copper (ii) chloride will be used to investigate the relationship between. Calculate the amount of copper (ii) chloride dehydrate. In this lab, we will be looking at changes to matter during a chemical reaction. Write and balance a chemical equation for the reaction.
From qrd-qiruide.com
Copper(II) Chloride Dihydrate Qiruide® Chemical Compounds Copper (Ii) Chloride Dihydrate And Aluminum Lab In this lab, a single displacement reaction between aluminium metal and copper (ii) chloride will be used to investigate the relationship between. In this laboratory, you will explore the reaction between aluminum and copper (ii) chloride. In addition, you will make both. Write and balance a chemical equation for the reaction. Copper (ii) chloride and aluminum foil purpose: In this. Copper (Ii) Chloride Dihydrate And Aluminum Lab.
From mackenzie-chapter.blogspot.com
Aluminum Copper Ii Chloride Reaction Lab Answers 50+ Pages Summary Doc Copper (Ii) Chloride Dihydrate And Aluminum Lab Therefore when aluminum foil is put into the copper salt solution, aluminum atoms on. A ball of aluminum foil is added to an aqueous solution of copper(ii) chloride, which causes an exothermic, single replacement,. In this lab, we will be looking at changes to matter during a chemical reaction. In this laboratory, you will explore the reaction between aluminum and. Copper (Ii) Chloride Dihydrate And Aluminum Lab.
From www.scientificlabs.co.uk
COPPER(II) CHLORIDE DIHYDRATE, 221783500GSIG SIGMAALDRICH SLS Copper (Ii) Chloride Dihydrate And Aluminum Lab A ball of aluminum foil is added to an aqueous solution of copper(ii) chloride, which causes an exothermic, single replacement,. Calculate the amount of copper (ii) chloride dehydrate. They then isolate one product to. Therefore when aluminum foil is put into the copper salt solution, aluminum atoms on. Aluminum is more reactive than copper. Reaction of copper (ii) chloride dihydrate. Copper (Ii) Chloride Dihydrate And Aluminum Lab.
From lab.honeywell.com
Copper(II) chloride dihydrate 307483 Honeywell Research Chemicals Copper (Ii) Chloride Dihydrate And Aluminum Lab Copper (ii) chloride and aluminum foil purpose: They then isolate one product to. In addition, you will make both. Write and balance a chemical equation for the reaction. Calculate the amount of copper (ii) chloride dehydrate. In this lab, a single displacement reaction between aluminium metal and copper (ii) chloride will be used to investigate the relationship between. In this. Copper (Ii) Chloride Dihydrate And Aluminum Lab.
From www.youtube.com
Aluminum and copper II chloride YouTube Copper (Ii) Chloride Dihydrate And Aluminum Lab In this lab, students react copper(ii) chloride with aluminum to determine the limiting reactant. Aluminum is more reactive than copper. They then isolate one product to. Therefore when aluminum foil is put into the copper salt solution, aluminum atoms on. In this laboratory, you will explore the reaction between aluminum and copper (ii) chloride. Copper (ii) chloride and aluminum foil. Copper (Ii) Chloride Dihydrate And Aluminum Lab.
From www.sbcscientific.com
Copper (II) Chloride dihydrate (CuCl2.2H2O AR, Xilong) Copper (Ii) Chloride Dihydrate And Aluminum Lab Therefore when aluminum foil is put into the copper salt solution, aluminum atoms on. In this lab, a single displacement reaction between aluminium metal and copper (ii) chloride will be used to investigate the relationship between. In addition, you will make both. Calculate the amount of copper (ii) chloride dehydrate. In this laboratory, you will explore the reaction between aluminum. Copper (Ii) Chloride Dihydrate And Aluminum Lab.
From www.chemkits.eu
Copper(II) chloride dihydrate, 99.5+, 10125130 Copper (Ii) Chloride Dihydrate And Aluminum Lab Therefore when aluminum foil is put into the copper salt solution, aluminum atoms on. In this lab, we will be looking at changes to matter during a chemical reaction. Reaction of copper (ii) chloride dihydrate and aluminum procedure: In this laboratory, you will explore the reaction between aluminum and copper (ii) chloride. In addition, you will make both. Write and. Copper (Ii) Chloride Dihydrate And Aluminum Lab.
From www.youtube.com
Copper Chloride and Aluminum Reaction YouTube Copper (Ii) Chloride Dihydrate And Aluminum Lab Calculate the amount of copper (ii) chloride dehydrate. Reaction of copper (ii) chloride dihydrate and aluminum procedure: Aluminum is more reactive than copper. They then isolate one product to. Copper (ii) chloride and aluminum foil purpose: In this lab, a single displacement reaction between aluminium metal and copper (ii) chloride will be used to investigate the relationship between. A ball. Copper (Ii) Chloride Dihydrate And Aluminum Lab.
From www.ebay.com
Copper (II) Chloride dihydrate Reagent 99+ with cert. 10Lbs eBay Copper (Ii) Chloride Dihydrate And Aluminum Lab Copper (ii) chloride and aluminum foil purpose: In addition, you will make both. In this lab, a single displacement reaction between aluminium metal and copper (ii) chloride will be used to investigate the relationship between. Aluminum is more reactive than copper. In this lab, students react copper(ii) chloride with aluminum to determine the limiting reactant. Write and balance a chemical. Copper (Ii) Chloride Dihydrate And Aluminum Lab.
From www.numerade.com
SOLVED Making Copper Stoichiometry Experiment ANALYSIS How many Copper (Ii) Chloride Dihydrate And Aluminum Lab In addition, you will make both. Write and balance a chemical equation for the reaction. They then isolate one product to. Reaction of copper (ii) chloride dihydrate and aluminum procedure: In this lab, we will be looking at changes to matter during a chemical reaction. Therefore when aluminum foil is put into the copper salt solution, aluminum atoms on. In. Copper (Ii) Chloride Dihydrate And Aluminum Lab.
From albochem.com
Copper (II) Chloride Dihydrate, 500g Albochemicals Lab and Science Copper (Ii) Chloride Dihydrate And Aluminum Lab Calculate the amount of copper (ii) chloride dehydrate. Therefore when aluminum foil is put into the copper salt solution, aluminum atoms on. Write and balance a chemical equation for the reaction. They then isolate one product to. A ball of aluminum foil is added to an aqueous solution of copper(ii) chloride, which causes an exothermic, single replacement,. In addition, you. Copper (Ii) Chloride Dihydrate And Aluminum Lab.
From www.libertysci.com
Copper(II) Chloride, dihydrate, 100 g Liberty Scientific Copper (Ii) Chloride Dihydrate And Aluminum Lab Write and balance a chemical equation for the reaction. Reaction of copper (ii) chloride dihydrate and aluminum procedure: Copper (ii) chloride and aluminum foil purpose: In addition, you will make both. Therefore when aluminum foil is put into the copper salt solution, aluminum atoms on. A ball of aluminum foil is added to an aqueous solution of copper(ii) chloride, which. Copper (Ii) Chloride Dihydrate And Aluminum Lab.
From www.flinnsci.com
Flinn Chemicals, Copper(II) Chloride Copper (Ii) Chloride Dihydrate And Aluminum Lab In addition, you will make both. Write and balance a chemical equation for the reaction. In this lab, we will be looking at changes to matter during a chemical reaction. Therefore when aluminum foil is put into the copper salt solution, aluminum atoms on. They then isolate one product to. Copper (ii) chloride and aluminum foil purpose: Calculate the amount. Copper (Ii) Chloride Dihydrate And Aluminum Lab.
From www.animalia-life.club
Copper Chloride Copper (Ii) Chloride Dihydrate And Aluminum Lab Calculate the amount of copper (ii) chloride dehydrate. Therefore when aluminum foil is put into the copper salt solution, aluminum atoms on. They then isolate one product to. In addition, you will make both. A ball of aluminum foil is added to an aqueous solution of copper(ii) chloride, which causes an exothermic, single replacement,. Reaction of copper (ii) chloride dihydrate. Copper (Ii) Chloride Dihydrate And Aluminum Lab.
From ar.inspiredpencil.com
Copper Ii Chloride And Aluminum Copper (Ii) Chloride Dihydrate And Aluminum Lab In this lab, a single displacement reaction between aluminium metal and copper (ii) chloride will be used to investigate the relationship between. A ball of aluminum foil is added to an aqueous solution of copper(ii) chloride, which causes an exothermic, single replacement,. Copper (ii) chloride and aluminum foil purpose: Calculate the amount of copper (ii) chloride dehydrate. In this lab,. Copper (Ii) Chloride Dihydrate And Aluminum Lab.
From www.chegg.com
Solved The reaction between copper(II) chloride dihydrate Copper (Ii) Chloride Dihydrate And Aluminum Lab Copper (ii) chloride and aluminum foil purpose: A ball of aluminum foil is added to an aqueous solution of copper(ii) chloride, which causes an exothermic, single replacement,. In this lab, students react copper(ii) chloride with aluminum to determine the limiting reactant. Aluminum is more reactive than copper. Reaction of copper (ii) chloride dihydrate and aluminum procedure: In this laboratory, you. Copper (Ii) Chloride Dihydrate And Aluminum Lab.
From www.flinnsci.com
Flinn Chemicals, Copper(II) Chloride Copper (Ii) Chloride Dihydrate And Aluminum Lab Aluminum is more reactive than copper. A ball of aluminum foil is added to an aqueous solution of copper(ii) chloride, which causes an exothermic, single replacement,. Calculate the amount of copper (ii) chloride dehydrate. In this laboratory, you will explore the reaction between aluminum and copper (ii) chloride. In this lab, a single displacement reaction between aluminium metal and copper. Copper (Ii) Chloride Dihydrate And Aluminum Lab.
From www.numerade.com
SOLVED Making Copper Stoichiometry Experiment ANALYSIS How many grams Copper (Ii) Chloride Dihydrate And Aluminum Lab In this lab, students react copper(ii) chloride with aluminum to determine the limiting reactant. In this lab, we will be looking at changes to matter during a chemical reaction. They then isolate one product to. Therefore when aluminum foil is put into the copper salt solution, aluminum atoms on. Reaction of copper (ii) chloride dihydrate and aluminum procedure: Aluminum is. Copper (Ii) Chloride Dihydrate And Aluminum Lab.
From www.flinnsci.com
Copper(II) Chloride, Reagent, 500 g Flinn Scientific Copper (Ii) Chloride Dihydrate And Aluminum Lab In this laboratory, you will explore the reaction between aluminum and copper (ii) chloride. Copper (ii) chloride and aluminum foil purpose: Therefore when aluminum foil is put into the copper salt solution, aluminum atoms on. Write and balance a chemical equation for the reaction. A ball of aluminum foil is added to an aqueous solution of copper(ii) chloride, which causes. Copper (Ii) Chloride Dihydrate And Aluminum Lab.
From studylib.net
aluminumcopperchloridelab (1) Copper (Ii) Chloride Dihydrate And Aluminum Lab In addition, you will make both. In this lab, students react copper(ii) chloride with aluminum to determine the limiting reactant. They then isolate one product to. Therefore when aluminum foil is put into the copper salt solution, aluminum atoms on. In this lab, we will be looking at changes to matter during a chemical reaction. Aluminum is more reactive than. Copper (Ii) Chloride Dihydrate And Aluminum Lab.
From studylib.net
copper chloride and aluminum lab Copper (Ii) Chloride Dihydrate And Aluminum Lab Reaction of copper (ii) chloride dihydrate and aluminum procedure: In this lab, students react copper(ii) chloride with aluminum to determine the limiting reactant. Therefore when aluminum foil is put into the copper salt solution, aluminum atoms on. Copper (ii) chloride and aluminum foil purpose: In addition, you will make both. Calculate the amount of copper (ii) chloride dehydrate. They then. Copper (Ii) Chloride Dihydrate And Aluminum Lab.
From www.tokopedia.com
Jual copper II chloride dihydrate,coper 2 chloride dihydrate pa 50gr Copper (Ii) Chloride Dihydrate And Aluminum Lab Calculate the amount of copper (ii) chloride dehydrate. Therefore when aluminum foil is put into the copper salt solution, aluminum atoms on. They then isolate one product to. Copper (ii) chloride and aluminum foil purpose: In addition, you will make both. In this laboratory, you will explore the reaction between aluminum and copper (ii) chloride. Write and balance a chemical. Copper (Ii) Chloride Dihydrate And Aluminum Lab.
From www.youtube.com
Classic Reaction Aluminum and Copper Chloride HausLab Chemistry Copper (Ii) Chloride Dihydrate And Aluminum Lab In this laboratory, you will explore the reaction between aluminum and copper (ii) chloride. Write and balance a chemical equation for the reaction. In this lab, a single displacement reaction between aluminium metal and copper (ii) chloride will be used to investigate the relationship between. In this lab, we will be looking at changes to matter during a chemical reaction.. Copper (Ii) Chloride Dihydrate And Aluminum Lab.
From www.youtube.com
Aluminum and Copper (II) Chloride Reaction YouTube Copper (Ii) Chloride Dihydrate And Aluminum Lab Write and balance a chemical equation for the reaction. In addition, you will make both. In this laboratory, you will explore the reaction between aluminum and copper (ii) chloride. Aluminum is more reactive than copper. They then isolate one product to. Therefore when aluminum foil is put into the copper salt solution, aluminum atoms on. Calculate the amount of copper. Copper (Ii) Chloride Dihydrate And Aluminum Lab.
From studylib.net
Aluminum Reaction with Copper (II) Chloride LAB Copper (Ii) Chloride Dihydrate And Aluminum Lab In this laboratory, you will explore the reaction between aluminum and copper (ii) chloride. Aluminum is more reactive than copper. In this lab, we will be looking at changes to matter during a chemical reaction. Reaction of copper (ii) chloride dihydrate and aluminum procedure: Copper (ii) chloride and aluminum foil purpose: Therefore when aluminum foil is put into the copper. Copper (Ii) Chloride Dihydrate And Aluminum Lab.
From www.tokopedia.com
Jual Copper II Chloride dihydrate Merck / CuCl2. 2H2O Kota Depok Copper (Ii) Chloride Dihydrate And Aluminum Lab In this lab, we will be looking at changes to matter during a chemical reaction. Copper (ii) chloride and aluminum foil purpose: Calculate the amount of copper (ii) chloride dehydrate. Reaction of copper (ii) chloride dihydrate and aluminum procedure: Therefore when aluminum foil is put into the copper salt solution, aluminum atoms on. In this lab, students react copper(ii) chloride. Copper (Ii) Chloride Dihydrate And Aluminum Lab.
From www.youtube.com
Aluminum + copper II chloride YouTube Copper (Ii) Chloride Dihydrate And Aluminum Lab Therefore when aluminum foil is put into the copper salt solution, aluminum atoms on. Copper (ii) chloride and aluminum foil purpose: Calculate the amount of copper (ii) chloride dehydrate. A ball of aluminum foil is added to an aqueous solution of copper(ii) chloride, which causes an exothermic, single replacement,. Write and balance a chemical equation for the reaction. They then. Copper (Ii) Chloride Dihydrate And Aluminum Lab.
From www.amazon.com
Copper (II) Chloride Dihydrate, 500g The Curated Chemical Collection Copper (Ii) Chloride Dihydrate And Aluminum Lab A ball of aluminum foil is added to an aqueous solution of copper(ii) chloride, which causes an exothermic, single replacement,. Calculate the amount of copper (ii) chloride dehydrate. Copper (ii) chloride and aluminum foil purpose: They then isolate one product to. Reaction of copper (ii) chloride dihydrate and aluminum procedure: Therefore when aluminum foil is put into the copper salt. Copper (Ii) Chloride Dihydrate And Aluminum Lab.
From www.numerade.com
SOLVED Two tests are run during this lab, in two separate beakers. The Copper (Ii) Chloride Dihydrate And Aluminum Lab They then isolate one product to. Aluminum is more reactive than copper. In addition, you will make both. A ball of aluminum foil is added to an aqueous solution of copper(ii) chloride, which causes an exothermic, single replacement,. Write and balance a chemical equation for the reaction. Reaction of copper (ii) chloride dihydrate and aluminum procedure: In this lab, we. Copper (Ii) Chloride Dihydrate And Aluminum Lab.
From www.youtube.com
Effects of Copper (II) Chloride on Aluminum; nhechs YouTube Copper (Ii) Chloride Dihydrate And Aluminum Lab They then isolate one product to. Aluminum is more reactive than copper. In addition, you will make both. In this lab, a single displacement reaction between aluminium metal and copper (ii) chloride will be used to investigate the relationship between. Reaction of copper (ii) chloride dihydrate and aluminum procedure: In this lab, we will be looking at changes to matter. Copper (Ii) Chloride Dihydrate And Aluminum Lab.
From studylib.net
Aluminum Copper Chloride Lab Copper (Ii) Chloride Dihydrate And Aluminum Lab Therefore when aluminum foil is put into the copper salt solution, aluminum atoms on. Calculate the amount of copper (ii) chloride dehydrate. In addition, you will make both. In this laboratory, you will explore the reaction between aluminum and copper (ii) chloride. In this lab, we will be looking at changes to matter during a chemical reaction. They then isolate. Copper (Ii) Chloride Dihydrate And Aluminum Lab.
From www.sciencephoto.com
Copper(II) chloride dihydrate Stock Image C027/9276 Science Photo Copper (Ii) Chloride Dihydrate And Aluminum Lab Write and balance a chemical equation for the reaction. In this lab, students react copper(ii) chloride with aluminum to determine the limiting reactant. In this lab, a single displacement reaction between aluminium metal and copper (ii) chloride will be used to investigate the relationship between. In this lab, we will be looking at changes to matter during a chemical reaction.. Copper (Ii) Chloride Dihydrate And Aluminum Lab.
From www.scientificlabs.ie
Copper(II) chloride dihydrate, 4590975G SIGMAALDRICH SLS Ireland Copper (Ii) Chloride Dihydrate And Aluminum Lab In this lab, we will be looking at changes to matter during a chemical reaction. A ball of aluminum foil is added to an aqueous solution of copper(ii) chloride, which causes an exothermic, single replacement,. Write and balance a chemical equation for the reaction. In this lab, a single displacement reaction between aluminium metal and copper (ii) chloride will be. Copper (Ii) Chloride Dihydrate And Aluminum Lab.
From www.tokopedia.com
Jual COPPER II CHLORIDE DIHYDRATE 250GR M E R CK 102733 /TEMBAGA II Copper (Ii) Chloride Dihydrate And Aluminum Lab Therefore when aluminum foil is put into the copper salt solution, aluminum atoms on. Calculate the amount of copper (ii) chloride dehydrate. A ball of aluminum foil is added to an aqueous solution of copper(ii) chloride, which causes an exothermic, single replacement,. In addition, you will make both. Reaction of copper (ii) chloride dihydrate and aluminum procedure: In this lab,. Copper (Ii) Chloride Dihydrate And Aluminum Lab.
From www.labvalley.com
Copper (II) chloride dihydrate 99 AR.grade (500 กรัม/ขวด) ยี่ห้อ Qrec Copper (Ii) Chloride Dihydrate And Aluminum Lab Aluminum is more reactive than copper. In this lab, students react copper(ii) chloride with aluminum to determine the limiting reactant. They then isolate one product to. Therefore when aluminum foil is put into the copper salt solution, aluminum atoms on. A ball of aluminum foil is added to an aqueous solution of copper(ii) chloride, which causes an exothermic, single replacement,.. Copper (Ii) Chloride Dihydrate And Aluminum Lab.