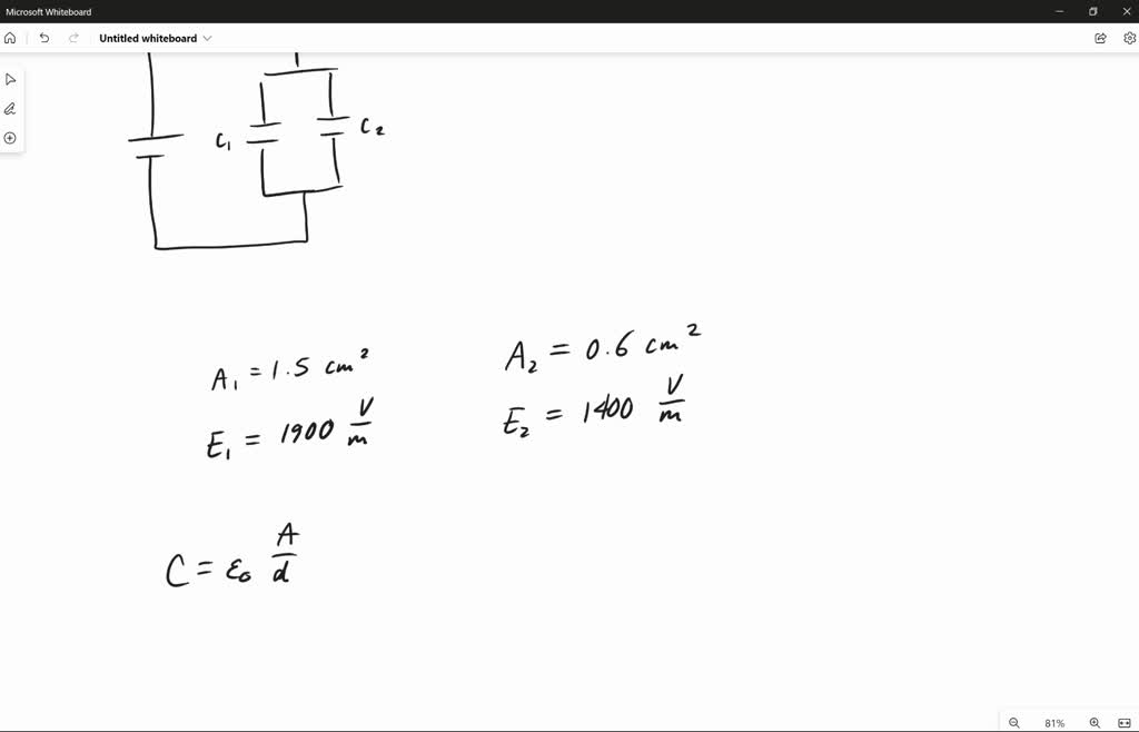
Plate Capacitor With Air . The top capacitor has no dielectric between its plates. \(\varepsilon _{0}\) is called the permittivity of free space. The capacitance of a parallel plate capacitor is [latex]c={\epsilon }_{0}\frac{a}{d}\\[/latex] , when the plates are separated by air or free space. The bottom capacitor has a dielectric between its plates. The capacitance of a parallel plate capacitor is \(c=\varepsilon _{0} \dfrac{a}{d}\), when the plates are separated by air or free space. K=1 for free space, k>1 for all media, approximately =1. K = relative permittivity of the dielectric material between the plates.
from www.numerade.com
The top capacitor has no dielectric between its plates. The capacitance of a parallel plate capacitor is \(c=\varepsilon _{0} \dfrac{a}{d}\), when the plates are separated by air or free space. K = relative permittivity of the dielectric material between the plates. The bottom capacitor has a dielectric between its plates. The capacitance of a parallel plate capacitor is [latex]c={\epsilon }_{0}\frac{a}{d}\\[/latex] , when the plates are separated by air or free space. K=1 for free space, k>1 for all media, approximately =1. \(\varepsilon _{0}\) is called the permittivity of free space.
SOLVEDAn airfilled (empty) parallelplate capacitor is made from two
Plate Capacitor With Air The top capacitor has no dielectric between its plates. The bottom capacitor has a dielectric between its plates. The capacitance of a parallel plate capacitor is \(c=\varepsilon _{0} \dfrac{a}{d}\), when the plates are separated by air or free space. The capacitance of a parallel plate capacitor is [latex]c={\epsilon }_{0}\frac{a}{d}\\[/latex] , when the plates are separated by air or free space. K=1 for free space, k>1 for all media, approximately =1. K = relative permittivity of the dielectric material between the plates. The top capacitor has no dielectric between its plates. \(\varepsilon _{0}\) is called the permittivity of free space.
From anal-13gb75.blogspot.com
☑ Energy Density Between Capacitor Plates Plate Capacitor With Air K=1 for free space, k>1 for all media, approximately =1. K = relative permittivity of the dielectric material between the plates. The top capacitor has no dielectric between its plates. \(\varepsilon _{0}\) is called the permittivity of free space. The capacitance of a parallel plate capacitor is \(c=\varepsilon _{0} \dfrac{a}{d}\), when the plates are separated by air or free space.. Plate Capacitor With Air.
From www.toppr.com
The voltage across an air filled parallel plate capacitor is Plate Capacitor With Air The bottom capacitor has a dielectric between its plates. The top capacitor has no dielectric between its plates. The capacitance of a parallel plate capacitor is \(c=\varepsilon _{0} \dfrac{a}{d}\), when the plates are separated by air or free space. The capacitance of a parallel plate capacitor is [latex]c={\epsilon }_{0}\frac{a}{d}\\[/latex] , when the plates are separated by air or free space.. Plate Capacitor With Air.
From www.vrogue.co
Capacitance Of Parallel Plate Capacitor With Dielectr vrogue.co Plate Capacitor With Air The capacitance of a parallel plate capacitor is \(c=\varepsilon _{0} \dfrac{a}{d}\), when the plates are separated by air or free space. K=1 for free space, k>1 for all media, approximately =1. K = relative permittivity of the dielectric material between the plates. \(\varepsilon _{0}\) is called the permittivity of free space. The capacitance of a parallel plate capacitor is [latex]c={\epsilon. Plate Capacitor With Air.
From www.numerade.com
SOLVED In a parallel plate capacitor with air between the plates, each Plate Capacitor With Air The bottom capacitor has a dielectric between its plates. K = relative permittivity of the dielectric material between the plates. The capacitance of a parallel plate capacitor is \(c=\varepsilon _{0} \dfrac{a}{d}\), when the plates are separated by air or free space. The top capacitor has no dielectric between its plates. K=1 for free space, k>1 for all media, approximately =1.. Plate Capacitor With Air.
From www.youtube.com
Deriving Equation for Parallel Plate Capacitors YouTube Plate Capacitor With Air K=1 for free space, k>1 for all media, approximately =1. \(\varepsilon _{0}\) is called the permittivity of free space. K = relative permittivity of the dielectric material between the plates. The top capacitor has no dielectric between its plates. The bottom capacitor has a dielectric between its plates. The capacitance of a parallel plate capacitor is [latex]c={\epsilon }_{0}\frac{a}{d}\\[/latex] , when. Plate Capacitor With Air.
From www.youtube.com
A parallel plate air filled capacitor having area 40 YouTube Plate Capacitor With Air The bottom capacitor has a dielectric between its plates. The capacitance of a parallel plate capacitor is \(c=\varepsilon _{0} \dfrac{a}{d}\), when the plates are separated by air or free space. \(\varepsilon _{0}\) is called the permittivity of free space. K=1 for free space, k>1 for all media, approximately =1. K = relative permittivity of the dielectric material between the plates.. Plate Capacitor With Air.
From www.toppr.com
A parallel plate air capacitor has a capacitance C . When it is half Plate Capacitor With Air K=1 for free space, k>1 for all media, approximately =1. The top capacitor has no dielectric between its plates. The capacitance of a parallel plate capacitor is \(c=\varepsilon _{0} \dfrac{a}{d}\), when the plates are separated by air or free space. K = relative permittivity of the dielectric material between the plates. The capacitance of a parallel plate capacitor is [latex]c={\epsilon. Plate Capacitor With Air.
From www.toppr.com
A parallel plate capacitor with air between the plates has a Plate Capacitor With Air K = relative permittivity of the dielectric material between the plates. The bottom capacitor has a dielectric between its plates. The capacitance of a parallel plate capacitor is \(c=\varepsilon _{0} \dfrac{a}{d}\), when the plates are separated by air or free space. \(\varepsilon _{0}\) is called the permittivity of free space. The capacitance of a parallel plate capacitor is [latex]c={\epsilon }_{0}\frac{a}{d}\\[/latex]. Plate Capacitor With Air.
From www.numerade.com
A parallelplate capacitor with only air between its plates is charged Plate Capacitor With Air The capacitance of a parallel plate capacitor is [latex]c={\epsilon }_{0}\frac{a}{d}\\[/latex] , when the plates are separated by air or free space. The top capacitor has no dielectric between its plates. The capacitance of a parallel plate capacitor is \(c=\varepsilon _{0} \dfrac{a}{d}\), when the plates are separated by air or free space. K = relative permittivity of the dielectric material between. Plate Capacitor With Air.
From www.youtube.com
An airfilled parallelplate capacitor has plates of area YouTube Plate Capacitor With Air The top capacitor has no dielectric between its plates. The bottom capacitor has a dielectric between its plates. K = relative permittivity of the dielectric material between the plates. K=1 for free space, k>1 for all media, approximately =1. \(\varepsilon _{0}\) is called the permittivity of free space. The capacitance of a parallel plate capacitor is [latex]c={\epsilon }_{0}\frac{a}{d}\\[/latex] , when. Plate Capacitor With Air.
From www.rfparts.com
1558 Air Variable Capacitor, 952 pf, 13 plates, 1kv, 50F30, MFR E F Plate Capacitor With Air K=1 for free space, k>1 for all media, approximately =1. The top capacitor has no dielectric between its plates. The capacitance of a parallel plate capacitor is [latex]c={\epsilon }_{0}\frac{a}{d}\\[/latex] , when the plates are separated by air or free space. The bottom capacitor has a dielectric between its plates. K = relative permittivity of the dielectric material between the plates.. Plate Capacitor With Air.
From www.toppr.com
An air filled parallel plate capacitor is to be constructed which Plate Capacitor With Air The capacitance of a parallel plate capacitor is [latex]c={\epsilon }_{0}\frac{a}{d}\\[/latex] , when the plates are separated by air or free space. The capacitance of a parallel plate capacitor is \(c=\varepsilon _{0} \dfrac{a}{d}\), when the plates are separated by air or free space. \(\varepsilon _{0}\) is called the permittivity of free space. The top capacitor has no dielectric between its plates.. Plate Capacitor With Air.
From www.doubtnut.com
A parallel plate capacitor with air as medium between the plates has a Plate Capacitor With Air \(\varepsilon _{0}\) is called the permittivity of free space. The top capacitor has no dielectric between its plates. The bottom capacitor has a dielectric between its plates. K=1 for free space, k>1 for all media, approximately =1. The capacitance of a parallel plate capacitor is [latex]c={\epsilon }_{0}\frac{a}{d}\\[/latex] , when the plates are separated by air or free space. K =. Plate Capacitor With Air.
From pressbooks.online.ucf.edu
19.5 Capacitors and Dielectrics College Physics Plate Capacitor With Air The bottom capacitor has a dielectric between its plates. The top capacitor has no dielectric between its plates. K=1 for free space, k>1 for all media, approximately =1. The capacitance of a parallel plate capacitor is [latex]c={\epsilon }_{0}\frac{a}{d}\\[/latex] , when the plates are separated by air or free space. \(\varepsilon _{0}\) is called the permittivity of free space. K =. Plate Capacitor With Air.
From www.numerade.com
SOLVED Two parallelplate capacitors (with air between the plates) are Plate Capacitor With Air The capacitance of a parallel plate capacitor is \(c=\varepsilon _{0} \dfrac{a}{d}\), when the plates are separated by air or free space. \(\varepsilon _{0}\) is called the permittivity of free space. The top capacitor has no dielectric between its plates. The bottom capacitor has a dielectric between its plates. K = relative permittivity of the dielectric material between the plates. K=1. Plate Capacitor With Air.
From www.toppr.com
A parallel plate air capacitor has capacitor C . Now half of the space Plate Capacitor With Air The top capacitor has no dielectric between its plates. The capacitance of a parallel plate capacitor is [latex]c={\epsilon }_{0}\frac{a}{d}\\[/latex] , when the plates are separated by air or free space. K=1 for free space, k>1 for all media, approximately =1. \(\varepsilon _{0}\) is called the permittivity of free space. The bottom capacitor has a dielectric between its plates. K =. Plate Capacitor With Air.
From www.youtube.com
Parallel Plate Capacitor Equation Explained YouTube Plate Capacitor With Air The capacitance of a parallel plate capacitor is [latex]c={\epsilon }_{0}\frac{a}{d}\\[/latex] , when the plates are separated by air or free space. \(\varepsilon _{0}\) is called the permittivity of free space. The capacitance of a parallel plate capacitor is \(c=\varepsilon _{0} \dfrac{a}{d}\), when the plates are separated by air or free space. K=1 for free space, k>1 for all media, approximately. Plate Capacitor With Air.
From www.doubtnut.com
Doubt Solutions Maths, Science, CBSE, NCERT, IIT JEE, NEET Plate Capacitor With Air The top capacitor has no dielectric between its plates. The bottom capacitor has a dielectric between its plates. K = relative permittivity of the dielectric material between the plates. K=1 for free space, k>1 for all media, approximately =1. The capacitance of a parallel plate capacitor is \(c=\varepsilon _{0} \dfrac{a}{d}\), when the plates are separated by air or free space.. Plate Capacitor With Air.
From askfilo.com
The capacitance of a parallel plate air capacitor is C. Now the space bet.. Plate Capacitor With Air The capacitance of a parallel plate capacitor is [latex]c={\epsilon }_{0}\frac{a}{d}\\[/latex] , when the plates are separated by air or free space. K = relative permittivity of the dielectric material between the plates. The bottom capacitor has a dielectric between its plates. \(\varepsilon _{0}\) is called the permittivity of free space. K=1 for free space, k>1 for all media, approximately =1.. Plate Capacitor With Air.
From aedbaeddebbefddk.blogspot.com
A Capacitor Consists Of Two Metal Plates Separated By An Insulator As Plate Capacitor With Air K = relative permittivity of the dielectric material between the plates. The capacitance of a parallel plate capacitor is \(c=\varepsilon _{0} \dfrac{a}{d}\), when the plates are separated by air or free space. The capacitance of a parallel plate capacitor is [latex]c={\epsilon }_{0}\frac{a}{d}\\[/latex] , when the plates are separated by air or free space. \(\varepsilon _{0}\) is called the permittivity of. Plate Capacitor With Air.
From byjus.com
33.A parallel plate air capacitor has capacity C,separation between Plate Capacitor With Air \(\varepsilon _{0}\) is called the permittivity of free space. K=1 for free space, k>1 for all media, approximately =1. The capacitance of a parallel plate capacitor is \(c=\varepsilon _{0} \dfrac{a}{d}\), when the plates are separated by air or free space. The top capacitor has no dielectric between its plates. The capacitance of a parallel plate capacitor is [latex]c={\epsilon }_{0}\frac{a}{d}\\[/latex] ,. Plate Capacitor With Air.
From www.toppr.com
A parallel plate capacitor with air as the dielectric has capacitance C Plate Capacitor With Air The capacitance of a parallel plate capacitor is [latex]c={\epsilon }_{0}\frac{a}{d}\\[/latex] , when the plates are separated by air or free space. The capacitance of a parallel plate capacitor is \(c=\varepsilon _{0} \dfrac{a}{d}\), when the plates are separated by air or free space. K=1 for free space, k>1 for all media, approximately =1. The bottom capacitor has a dielectric between its. Plate Capacitor With Air.
From kunduz.com
[ANSWERED] 14 An air filled parallel plate capacitor with the plate Plate Capacitor With Air K = relative permittivity of the dielectric material between the plates. The capacitance of a parallel plate capacitor is [latex]c={\epsilon }_{0}\frac{a}{d}\\[/latex] , when the plates are separated by air or free space. \(\varepsilon _{0}\) is called the permittivity of free space. The capacitance of a parallel plate capacitor is \(c=\varepsilon _{0} \dfrac{a}{d}\), when the plates are separated by air or. Plate Capacitor With Air.
From askfilo.com
21. Two identical parallel plate (air) capacitors C1 and C2 have capaci.. Plate Capacitor With Air K = relative permittivity of the dielectric material between the plates. The capacitance of a parallel plate capacitor is [latex]c={\epsilon }_{0}\frac{a}{d}\\[/latex] , when the plates are separated by air or free space. The bottom capacitor has a dielectric between its plates. The capacitance of a parallel plate capacitor is \(c=\varepsilon _{0} \dfrac{a}{d}\), when the plates are separated by air or. Plate Capacitor With Air.
From www.toppr.com
Half of the space between the plates of a parallel plate capacitor is Plate Capacitor With Air K=1 for free space, k>1 for all media, approximately =1. The capacitance of a parallel plate capacitor is [latex]c={\epsilon }_{0}\frac{a}{d}\\[/latex] , when the plates are separated by air or free space. \(\varepsilon _{0}\) is called the permittivity of free space. K = relative permittivity of the dielectric material between the plates. The top capacitor has no dielectric between its plates.. Plate Capacitor With Air.
From www.numerade.com
SOLVED An airfilled parallelplate capacitor has an original Plate Capacitor With Air \(\varepsilon _{0}\) is called the permittivity of free space. K=1 for free space, k>1 for all media, approximately =1. The bottom capacitor has a dielectric between its plates. K = relative permittivity of the dielectric material between the plates. The capacitance of a parallel plate capacitor is [latex]c={\epsilon }_{0}\frac{a}{d}\\[/latex] , when the plates are separated by air or free space.. Plate Capacitor With Air.
From www.britannica.com
Capacitor Definition, Function, & Facts Britannica Plate Capacitor With Air The top capacitor has no dielectric between its plates. The capacitance of a parallel plate capacitor is \(c=\varepsilon _{0} \dfrac{a}{d}\), when the plates are separated by air or free space. K=1 for free space, k>1 for all media, approximately =1. The bottom capacitor has a dielectric between its plates. K = relative permittivity of the dielectric material between the plates.. Plate Capacitor With Air.
From courses.lumenlearning.com
Capacitors and Dielectrics Physics Plate Capacitor With Air The capacitance of a parallel plate capacitor is [latex]c={\epsilon }_{0}\frac{a}{d}\\[/latex] , when the plates are separated by air or free space. K=1 for free space, k>1 for all media, approximately =1. \(\varepsilon _{0}\) is called the permittivity of free space. The bottom capacitor has a dielectric between its plates. The top capacitor has no dielectric between its plates. The capacitance. Plate Capacitor With Air.
From www.toppr.com
In a parallel plate capacitor with air between the plates, each plate Plate Capacitor With Air The top capacitor has no dielectric between its plates. The capacitance of a parallel plate capacitor is [latex]c={\epsilon }_{0}\frac{a}{d}\\[/latex] , when the plates are separated by air or free space. \(\varepsilon _{0}\) is called the permittivity of free space. K=1 for free space, k>1 for all media, approximately =1. K = relative permittivity of the dielectric material between the plates.. Plate Capacitor With Air.
From byjus.com
Positive charge Q is given to each plate of a parallel plate air Plate Capacitor With Air K=1 for free space, k>1 for all media, approximately =1. The capacitance of a parallel plate capacitor is [latex]c={\epsilon }_{0}\frac{a}{d}\\[/latex] , when the plates are separated by air or free space. The bottom capacitor has a dielectric between its plates. The top capacitor has no dielectric between its plates. \(\varepsilon _{0}\) is called the permittivity of free space. The capacitance. Plate Capacitor With Air.
From www.numerade.com
SOLVED A parallelplate airfilled capacitor is being charged as shown Plate Capacitor With Air K=1 for free space, k>1 for all media, approximately =1. \(\varepsilon _{0}\) is called the permittivity of free space. The bottom capacitor has a dielectric between its plates. The capacitance of a parallel plate capacitor is [latex]c={\epsilon }_{0}\frac{a}{d}\\[/latex] , when the plates are separated by air or free space. The top capacitor has no dielectric between its plates. The capacitance. Plate Capacitor With Air.
From www.youtube.com
The figure shows a parallelplate capacitor with a plate area YouTube Plate Capacitor With Air K = relative permittivity of the dielectric material between the plates. The bottom capacitor has a dielectric between its plates. The capacitance of a parallel plate capacitor is [latex]c={\epsilon }_{0}\frac{a}{d}\\[/latex] , when the plates are separated by air or free space. \(\varepsilon _{0}\) is called the permittivity of free space. The capacitance of a parallel plate capacitor is \(c=\varepsilon _{0}. Plate Capacitor With Air.
From www.numerade.com
SOLVEDAn airfilled (empty) parallelplate capacitor is made from two Plate Capacitor With Air The capacitance of a parallel plate capacitor is \(c=\varepsilon _{0} \dfrac{a}{d}\), when the plates are separated by air or free space. The capacitance of a parallel plate capacitor is [latex]c={\epsilon }_{0}\frac{a}{d}\\[/latex] , when the plates are separated by air or free space. K=1 for free space, k>1 for all media, approximately =1. The bottom capacitor has a dielectric between its. Plate Capacitor With Air.
From en.m.wikipedia.org
FileParallel plate capacitor.svg Wikipedia Plate Capacitor With Air K=1 for free space, k>1 for all media, approximately =1. The capacitance of a parallel plate capacitor is [latex]c={\epsilon }_{0}\frac{a}{d}\\[/latex] , when the plates are separated by air or free space. The top capacitor has no dielectric between its plates. \(\varepsilon _{0}\) is called the permittivity of free space. The capacitance of a parallel plate capacitor is \(c=\varepsilon _{0} \dfrac{a}{d}\),. Plate Capacitor With Air.
From www.numerade.com
24.3. A parallelplate air capacitor of capacitance 245 pF has a charge Plate Capacitor With Air K = relative permittivity of the dielectric material between the plates. The bottom capacitor has a dielectric between its plates. The capacitance of a parallel plate capacitor is \(c=\varepsilon _{0} \dfrac{a}{d}\), when the plates are separated by air or free space. K=1 for free space, k>1 for all media, approximately =1. \(\varepsilon _{0}\) is called the permittivity of free space.. Plate Capacitor With Air.