Is 15 Kpa Good Suction . Kpa, or kilopascal, is a unit used to measure suction pressure in vacuum cleaners. Suction power is determined by a combination of kpa, airflow (cfm), and air watts (aw). Vacuum cleaners with higher pa ratings (e.g., 20,000 pa) provide more effective dirt removal. The good news is that there are specific measurements that indicate how much suction power a vacuum provides. Higher pa equals stronger suction: Kpa, or kilopascals, measures the suction power of a vacuum cleaner. A good vacuum should have a suction power of at least 100 air watts (aw) or 20 kilopascals (kpa) to effectively pick up dirt,. A higher kpa means stronger suction, which can result in better cleaning performance, especially for. Cordless vacuums’ kpa typically spans from 5 to 25 kpa. But the best kpa for a cordless vacuum is largely dictated by your specific cleaning requirements. Higher kpa values indicate greater suction pressure and potentially better cleaning performance. In this article, we'll explain how suction is measured, and how to find the.
from www.kenancenter.com
A good vacuum should have a suction power of at least 100 air watts (aw) or 20 kilopascals (kpa) to effectively pick up dirt,. But the best kpa for a cordless vacuum is largely dictated by your specific cleaning requirements. Kpa, or kilopascals, measures the suction power of a vacuum cleaner. In this article, we'll explain how suction is measured, and how to find the. The good news is that there are specific measurements that indicate how much suction power a vacuum provides. Kpa, or kilopascal, is a unit used to measure suction pressure in vacuum cleaners. Higher kpa values indicate greater suction pressure and potentially better cleaning performance. A higher kpa means stronger suction, which can result in better cleaning performance, especially for. Cordless vacuums’ kpa typically spans from 5 to 25 kpa. Suction power is determined by a combination of kpa, airflow (cfm), and air watts (aw).
15 Hpaan最好的事情要做(缅甸)——疯狂的旅游bdsports官网中国有限公司最新bd体育平台资讯和体育赛事直播 bdsport入口
Is 15 Kpa Good Suction Higher pa equals stronger suction: A good vacuum should have a suction power of at least 100 air watts (aw) or 20 kilopascals (kpa) to effectively pick up dirt,. But the best kpa for a cordless vacuum is largely dictated by your specific cleaning requirements. The good news is that there are specific measurements that indicate how much suction power a vacuum provides. Higher kpa values indicate greater suction pressure and potentially better cleaning performance. A higher kpa means stronger suction, which can result in better cleaning performance, especially for. Suction power is determined by a combination of kpa, airflow (cfm), and air watts (aw). Cordless vacuums’ kpa typically spans from 5 to 25 kpa. In this article, we'll explain how suction is measured, and how to find the. Kpa, or kilopascals, measures the suction power of a vacuum cleaner. Vacuum cleaners with higher pa ratings (e.g., 20,000 pa) provide more effective dirt removal. Higher pa equals stronger suction: Kpa, or kilopascal, is a unit used to measure suction pressure in vacuum cleaners.
From snapklik.com
XiaZ Dog Grooming Vacuum & Hair Dryer & Clippers Is 15 Kpa Good Suction Vacuum cleaners with higher pa ratings (e.g., 20,000 pa) provide more effective dirt removal. Higher kpa values indicate greater suction pressure and potentially better cleaning performance. In this article, we'll explain how suction is measured, and how to find the. A good vacuum should have a suction power of at least 100 air watts (aw) or 20 kilopascals (kpa) to. Is 15 Kpa Good Suction.
From www.potalibaba.com
AGARO Sapphire Hand Held Vacuum Cleaner, Up to 15 kPa Powerful Suction Is 15 Kpa Good Suction Higher pa equals stronger suction: In this article, we'll explain how suction is measured, and how to find the. Cordless vacuums’ kpa typically spans from 5 to 25 kpa. A good vacuum should have a suction power of at least 100 air watts (aw) or 20 kilopascals (kpa) to effectively pick up dirt,. The good news is that there are. Is 15 Kpa Good Suction.
From www.ozon.ru
48 см Reborn Baby Doll Силиконовые куклыBF kpagood value купить с Is 15 Kpa Good Suction But the best kpa for a cordless vacuum is largely dictated by your specific cleaning requirements. Kpa, or kilopascals, measures the suction power of a vacuum cleaner. Suction power is determined by a combination of kpa, airflow (cfm), and air watts (aw). Higher pa equals stronger suction: The good news is that there are specific measurements that indicate how much. Is 15 Kpa Good Suction.
From www.croma.com
Buy ambrane MiniVac 01 70W Cordless Car Vacuum Cleaner with LED Is 15 Kpa Good Suction Suction power is determined by a combination of kpa, airflow (cfm), and air watts (aw). Kpa, or kilopascal, is a unit used to measure suction pressure in vacuum cleaners. A good vacuum should have a suction power of at least 100 air watts (aw) or 20 kilopascals (kpa) to effectively pick up dirt,. Kpa, or kilopascals, measures the suction power. Is 15 Kpa Good Suction.
From www.researchgate.net
YAP nuclear translocation and tissue stiffening both coincide with Is 15 Kpa Good Suction A good vacuum should have a suction power of at least 100 air watts (aw) or 20 kilopascals (kpa) to effectively pick up dirt,. Higher pa equals stronger suction: Kpa, or kilopascals, measures the suction power of a vacuum cleaner. Kpa, or kilopascal, is a unit used to measure suction pressure in vacuum cleaners. A higher kpa means stronger suction,. Is 15 Kpa Good Suction.
From www.chegg.com
Solved Suppose that we take the mean radius of the EarthSun Is 15 Kpa Good Suction But the best kpa for a cordless vacuum is largely dictated by your specific cleaning requirements. The good news is that there are specific measurements that indicate how much suction power a vacuum provides. Higher pa equals stronger suction: Higher kpa values indicate greater suction pressure and potentially better cleaning performance. A good vacuum should have a suction power of. Is 15 Kpa Good Suction.
From scite.ai
Suction in neurosurgery [scite report] Is 15 Kpa Good Suction Suction power is determined by a combination of kpa, airflow (cfm), and air watts (aw). The good news is that there are specific measurements that indicate how much suction power a vacuum provides. But the best kpa for a cordless vacuum is largely dictated by your specific cleaning requirements. Higher pa equals stronger suction: A good vacuum should have a. Is 15 Kpa Good Suction.
From www.vrogue.co
What Is Rankine Cycle Process Components Diagram Effi vrogue.co Is 15 Kpa Good Suction Vacuum cleaners with higher pa ratings (e.g., 20,000 pa) provide more effective dirt removal. A good vacuum should have a suction power of at least 100 air watts (aw) or 20 kilopascals (kpa) to effectively pick up dirt,. Higher kpa values indicate greater suction pressure and potentially better cleaning performance. But the best kpa for a cordless vacuum is largely. Is 15 Kpa Good Suction.
From delanodaylilies.com
Difference Between KPI and KRA (with Examples & Charts) (2023) Is 15 Kpa Good Suction Kpa, or kilopascal, is a unit used to measure suction pressure in vacuum cleaners. Higher kpa values indicate greater suction pressure and potentially better cleaning performance. Cordless vacuums’ kpa typically spans from 5 to 25 kpa. Higher pa equals stronger suction: In this article, we'll explain how suction is measured, and how to find the. Vacuum cleaners with higher pa. Is 15 Kpa Good Suction.
From www.kenancenter.com
15 Hpaan最好的事情要做(缅甸)——疯狂的旅游bdsports官网中国有限公司最新bd体育平台资讯和体育赛事直播 bdsport入口 Is 15 Kpa Good Suction A higher kpa means stronger suction, which can result in better cleaning performance, especially for. But the best kpa for a cordless vacuum is largely dictated by your specific cleaning requirements. A good vacuum should have a suction power of at least 100 air watts (aw) or 20 kilopascals (kpa) to effectively pick up dirt,. Kpa, or kilopascals, measures the. Is 15 Kpa Good Suction.
From www.youtube.com
Буба Король шахмат Мультфильм для детей YouTube Is 15 Kpa Good Suction Suction power is determined by a combination of kpa, airflow (cfm), and air watts (aw). The good news is that there are specific measurements that indicate how much suction power a vacuum provides. But the best kpa for a cordless vacuum is largely dictated by your specific cleaning requirements. In this article, we'll explain how suction is measured, and how. Is 15 Kpa Good Suction.
From robot.ekstrabladet.dk
Conversão Mmhg Para Atm Is 15 Kpa Good Suction In this article, we'll explain how suction is measured, and how to find the. But the best kpa for a cordless vacuum is largely dictated by your specific cleaning requirements. Higher pa equals stronger suction: Cordless vacuums’ kpa typically spans from 5 to 25 kpa. A good vacuum should have a suction power of at least 100 air watts (aw). Is 15 Kpa Good Suction.
From www.rabochy-put.ru
В Смоленске под отключение воды попадут гостиницы, автосервисы Is 15 Kpa Good Suction Kpa, or kilopascals, measures the suction power of a vacuum cleaner. Cordless vacuums’ kpa typically spans from 5 to 25 kpa. But the best kpa for a cordless vacuum is largely dictated by your specific cleaning requirements. Higher pa equals stronger suction: A good vacuum should have a suction power of at least 100 air watts (aw) or 20 kilopascals. Is 15 Kpa Good Suction.
From slideplayer.com
How well can we determine the tropopause ppt download Is 15 Kpa Good Suction In this article, we'll explain how suction is measured, and how to find the. Higher pa equals stronger suction: Suction power is determined by a combination of kpa, airflow (cfm), and air watts (aw). A higher kpa means stronger suction, which can result in better cleaning performance, especially for. A good vacuum should have a suction power of at least. Is 15 Kpa Good Suction.
From mavink.com
Dyson Model Chart Is 15 Kpa Good Suction Suction power is determined by a combination of kpa, airflow (cfm), and air watts (aw). Higher kpa values indicate greater suction pressure and potentially better cleaning performance. A higher kpa means stronger suction, which can result in better cleaning performance, especially for. Kpa, or kilopascals, measures the suction power of a vacuum cleaner. The good news is that there are. Is 15 Kpa Good Suction.
From www.stagalliance.com
Caraya of Vitegrity Is 15 Kpa Good Suction The good news is that there are specific measurements that indicate how much suction power a vacuum provides. Kpa, or kilopascals, measures the suction power of a vacuum cleaner. A higher kpa means stronger suction, which can result in better cleaning performance, especially for. Cordless vacuums’ kpa typically spans from 5 to 25 kpa. Suction power is determined by a. Is 15 Kpa Good Suction.
From tutorbin.com
Solved 1. A sign structure is subjected to the uniform wind loading of Is 15 Kpa Good Suction Suction power is determined by a combination of kpa, airflow (cfm), and air watts (aw). A good vacuum should have a suction power of at least 100 air watts (aw) or 20 kilopascals (kpa) to effectively pick up dirt,. The good news is that there are specific measurements that indicate how much suction power a vacuum provides. Higher pa equals. Is 15 Kpa Good Suction.
From cairlgl.com
BELLOVAC® Cair LGL Is 15 Kpa Good Suction A good vacuum should have a suction power of at least 100 air watts (aw) or 20 kilopascals (kpa) to effectively pick up dirt,. A higher kpa means stronger suction, which can result in better cleaning performance, especially for. Higher kpa values indicate greater suction pressure and potentially better cleaning performance. But the best kpa for a cordless vacuum is. Is 15 Kpa Good Suction.
From www.bustle.com
The 6 Best Suction Vacuums Is 15 Kpa Good Suction Higher pa equals stronger suction: Kpa, or kilopascal, is a unit used to measure suction pressure in vacuum cleaners. Suction power is determined by a combination of kpa, airflow (cfm), and air watts (aw). A higher kpa means stronger suction, which can result in better cleaning performance, especially for. A good vacuum should have a suction power of at least. Is 15 Kpa Good Suction.
From www.coursehero.com
[Solved] I need the answer to this question Q1. A centrifugal pump is Is 15 Kpa Good Suction Higher pa equals stronger suction: Suction power is determined by a combination of kpa, airflow (cfm), and air watts (aw). Higher kpa values indicate greater suction pressure and potentially better cleaning performance. The good news is that there are specific measurements that indicate how much suction power a vacuum provides. But the best kpa for a cordless vacuum is largely. Is 15 Kpa Good Suction.
From www.blibli.com
Promo DEERMA DX300 Household Handheld Portable Vacuum Cleaner Strength Is 15 Kpa Good Suction But the best kpa for a cordless vacuum is largely dictated by your specific cleaning requirements. In this article, we'll explain how suction is measured, and how to find the. Kpa, or kilopascal, is a unit used to measure suction pressure in vacuum cleaners. The good news is that there are specific measurements that indicate how much suction power a. Is 15 Kpa Good Suction.
From slideplayer.cz
NÁZEV VY_32_INOVACE_09_13_F7_Hanak TÉMA Deformační účinky síly ppt Is 15 Kpa Good Suction Kpa, or kilopascal, is a unit used to measure suction pressure in vacuum cleaners. Higher pa equals stronger suction: A higher kpa means stronger suction, which can result in better cleaning performance, especially for. Suction power is determined by a combination of kpa, airflow (cfm), and air watts (aw). The good news is that there are specific measurements that indicate. Is 15 Kpa Good Suction.
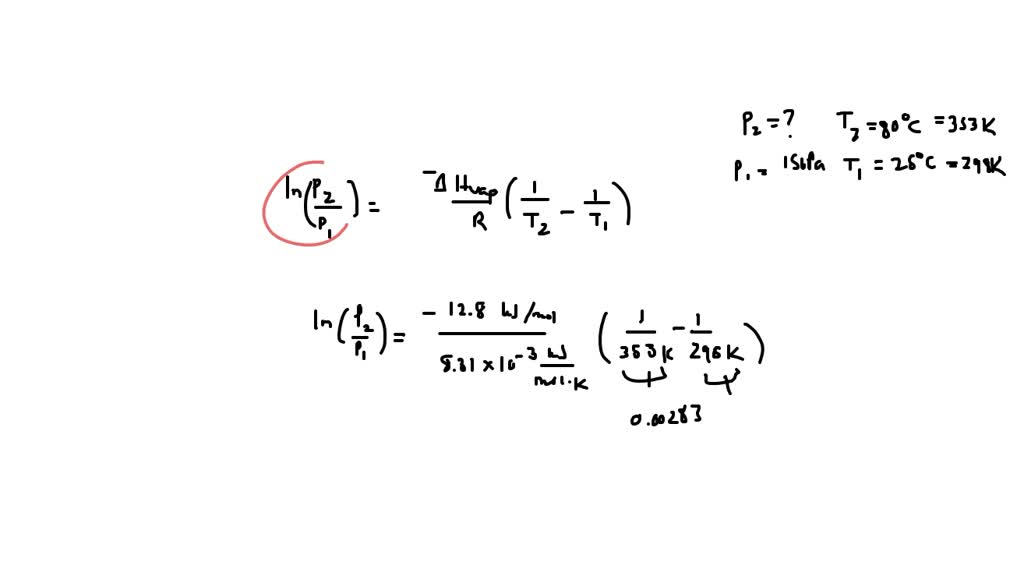
From www.numerade.com
SOLVED An organic solvent has a vapor pressure of 15 kPa at 25 °C. If Is 15 Kpa Good Suction A higher kpa means stronger suction, which can result in better cleaning performance, especially for. Kpa, or kilopascals, measures the suction power of a vacuum cleaner. Vacuum cleaners with higher pa ratings (e.g., 20,000 pa) provide more effective dirt removal. Cordless vacuums’ kpa typically spans from 5 to 25 kpa. Kpa, or kilopascal, is a unit used to measure suction. Is 15 Kpa Good Suction.
From garryfarm.weebly.com
Convert kpa to psi garryfarm Is 15 Kpa Good Suction Cordless vacuums’ kpa typically spans from 5 to 25 kpa. Vacuum cleaners with higher pa ratings (e.g., 20,000 pa) provide more effective dirt removal. Kpa, or kilopascals, measures the suction power of a vacuum cleaner. But the best kpa for a cordless vacuum is largely dictated by your specific cleaning requirements. In this article, we'll explain how suction is measured,. Is 15 Kpa Good Suction.
From www.videomed.eu
Transportable medical suction units DF506 45 l/min Videomed Is 15 Kpa Good Suction Cordless vacuums’ kpa typically spans from 5 to 25 kpa. Higher kpa values indicate greater suction pressure and potentially better cleaning performance. Vacuum cleaners with higher pa ratings (e.g., 20,000 pa) provide more effective dirt removal. But the best kpa for a cordless vacuum is largely dictated by your specific cleaning requirements. Suction power is determined by a combination of. Is 15 Kpa Good Suction.
From www.backflowcentral.com.au
Watts 080mm SCV T/E 15kpa Spring Is 15 Kpa Good Suction A good vacuum should have a suction power of at least 100 air watts (aw) or 20 kilopascals (kpa) to effectively pick up dirt,. Higher pa equals stronger suction: But the best kpa for a cordless vacuum is largely dictated by your specific cleaning requirements. Vacuum cleaners with higher pa ratings (e.g., 20,000 pa) provide more effective dirt removal. Kpa,. Is 15 Kpa Good Suction.
From www.youtube.com
Map kpa good vaccum not so good. YouTube Is 15 Kpa Good Suction In this article, we'll explain how suction is measured, and how to find the. Higher pa equals stronger suction: Cordless vacuums’ kpa typically spans from 5 to 25 kpa. The good news is that there are specific measurements that indicate how much suction power a vacuum provides. But the best kpa for a cordless vacuum is largely dictated by your. Is 15 Kpa Good Suction.
From www.thietbinhietnv.com
DỤNG CỤ ĐO ÁP SUẤT HOẠT ĐỘNG BẰNG ĐIỆN DN 8 (Range 3 15 Kpa Is 15 Kpa Good Suction Higher kpa values indicate greater suction pressure and potentially better cleaning performance. A higher kpa means stronger suction, which can result in better cleaning performance, especially for. Vacuum cleaners with higher pa ratings (e.g., 20,000 pa) provide more effective dirt removal. Suction power is determined by a combination of kpa, airflow (cfm), and air watts (aw). The good news is. Is 15 Kpa Good Suction.
From shopee.com.my
💥Fast Shipping💥ST5500 2 in 1 Corded Vacuum Cleaner Swivel Ultra Is 15 Kpa Good Suction Vacuum cleaners with higher pa ratings (e.g., 20,000 pa) provide more effective dirt removal. A good vacuum should have a suction power of at least 100 air watts (aw) or 20 kilopascals (kpa) to effectively pick up dirt,. Cordless vacuums’ kpa typically spans from 5 to 25 kpa. In this article, we'll explain how suction is measured, and how to. Is 15 Kpa Good Suction.
From outdoorzone.ie
HPA M4 mag adapter for HiCapa US OUTDOOR ZONE Is 15 Kpa Good Suction Suction power is determined by a combination of kpa, airflow (cfm), and air watts (aw). Kpa, or kilopascals, measures the suction power of a vacuum cleaner. Higher pa equals stronger suction: Kpa, or kilopascal, is a unit used to measure suction pressure in vacuum cleaners. Cordless vacuums’ kpa typically spans from 5 to 25 kpa. Higher kpa values indicate greater. Is 15 Kpa Good Suction.
From old.nim.uz
Калибрлаш бўйича янги хизмат тури йўлга қўйилди nim.uz Is 15 Kpa Good Suction But the best kpa for a cordless vacuum is largely dictated by your specific cleaning requirements. Vacuum cleaners with higher pa ratings (e.g., 20,000 pa) provide more effective dirt removal. In this article, we'll explain how suction is measured, and how to find the. Kpa, or kilopascal, is a unit used to measure suction pressure in vacuum cleaners. Suction power. Is 15 Kpa Good Suction.
From sparklabs.si
Raven HPA engine SparkLabs Is 15 Kpa Good Suction Higher kpa values indicate greater suction pressure and potentially better cleaning performance. The good news is that there are specific measurements that indicate how much suction power a vacuum provides. Suction power is determined by a combination of kpa, airflow (cfm), and air watts (aw). Cordless vacuums’ kpa typically spans from 5 to 25 kpa. Vacuum cleaners with higher pa. Is 15 Kpa Good Suction.
From www.numerade.com
SOLVED A 100 m3 storage tank with fuel gases is at 20°C, 100 kPa Is 15 Kpa Good Suction Higher kpa values indicate greater suction pressure and potentially better cleaning performance. Kpa, or kilopascal, is a unit used to measure suction pressure in vacuum cleaners. Kpa, or kilopascals, measures the suction power of a vacuum cleaner. Suction power is determined by a combination of kpa, airflow (cfm), and air watts (aw). Higher pa equals stronger suction: A good vacuum. Is 15 Kpa Good Suction.
From www.lcsc.com
15KPA85CA/B Brightking C522202 LCSC Electronics Is 15 Kpa Good Suction But the best kpa for a cordless vacuum is largely dictated by your specific cleaning requirements. A good vacuum should have a suction power of at least 100 air watts (aw) or 20 kilopascals (kpa) to effectively pick up dirt,. Vacuum cleaners with higher pa ratings (e.g., 20,000 pa) provide more effective dirt removal. Higher kpa values indicate greater suction. Is 15 Kpa Good Suction.
From cr.linkedin.com
Pro Optim en LinkedIn ¿Qué es el valor añadido y cómo lo utilizan las Is 15 Kpa Good Suction Vacuum cleaners with higher pa ratings (e.g., 20,000 pa) provide more effective dirt removal. Kpa, or kilopascal, is a unit used to measure suction pressure in vacuum cleaners. The good news is that there are specific measurements that indicate how much suction power a vacuum provides. Cordless vacuums’ kpa typically spans from 5 to 25 kpa. Kpa, or kilopascals, measures. Is 15 Kpa Good Suction.