What Is A Cabinet Note . Drafter’s guide to cabinet documents provides guidance to public servants on supporting ministers for their participation in cabinet and. Handbook on writing cabinet notes. This document provides an introduction and overview for writing cabinet notes in india. The cabinet secretariat is responsible for the administration of the government of india (transaction of business). Handbook on writing cabinet notes. Policies, plans, projects and schemes of the government. This guide provides guidance to public servants on supporting ministers for their participation in cabinet and cabinet committee meetings. It discusses the importance of cabinet notes in policymaking and decision. This document is an introduction to writing cabinet notes for the government of india.
from srilankabrief.org
Handbook on writing cabinet notes. It discusses the importance of cabinet notes in policymaking and decision. Handbook on writing cabinet notes. This document is an introduction to writing cabinet notes for the government of india. The cabinet secretariat is responsible for the administration of the government of india (transaction of business). Drafter’s guide to cabinet documents provides guidance to public servants on supporting ministers for their participation in cabinet and. This guide provides guidance to public servants on supporting ministers for their participation in cabinet and cabinet committee meetings. Policies, plans, projects and schemes of the government. This document provides an introduction and overview for writing cabinet notes in india.
note to change 13 A • Sri Lanka Brief
What Is A Cabinet Note It discusses the importance of cabinet notes in policymaking and decision. Policies, plans, projects and schemes of the government. This guide provides guidance to public servants on supporting ministers for their participation in cabinet and cabinet committee meetings. It discusses the importance of cabinet notes in policymaking and decision. The cabinet secretariat is responsible for the administration of the government of india (transaction of business). This document is an introduction to writing cabinet notes for the government of india. Drafter’s guide to cabinet documents provides guidance to public servants on supporting ministers for their participation in cabinet and. Handbook on writing cabinet notes. This document provides an introduction and overview for writing cabinet notes in india. Handbook on writing cabinet notes.
From 7thpaycommissionnews.in
NJCA Letter to Cabine Secretary dt 3.7.2018 — Central Government What Is A Cabinet Note This guide provides guidance to public servants on supporting ministers for their participation in cabinet and cabinet committee meetings. This document provides an introduction and overview for writing cabinet notes in india. This document is an introduction to writing cabinet notes for the government of india. Handbook on writing cabinet notes. Policies, plans, projects and schemes of the government. Handbook. What Is A Cabinet Note.
From www.trumanlibrary.gov
Meeting Notes Harry S. Truman What Is A Cabinet Note This guide provides guidance to public servants on supporting ministers for their participation in cabinet and cabinet committee meetings. Policies, plans, projects and schemes of the government. Handbook on writing cabinet notes. It discusses the importance of cabinet notes in policymaking and decision. Drafter’s guide to cabinet documents provides guidance to public servants on supporting ministers for their participation in. What Is A Cabinet Note.
From www.scribd.com
Note PDF What Is A Cabinet Note Handbook on writing cabinet notes. This document provides an introduction and overview for writing cabinet notes in india. This guide provides guidance to public servants on supporting ministers for their participation in cabinet and cabinet committee meetings. Policies, plans, projects and schemes of the government. Drafter’s guide to cabinet documents provides guidance to public servants on supporting ministers for their. What Is A Cabinet Note.
From hautblog.wordpress.com
in detail space planning in the kitchen a design blog What Is A Cabinet Note Policies, plans, projects and schemes of the government. This document provides an introduction and overview for writing cabinet notes in india. This document is an introduction to writing cabinet notes for the government of india. It discusses the importance of cabinet notes in policymaking and decision. This guide provides guidance to public servants on supporting ministers for their participation in. What Is A Cabinet Note.
From www.studocu.com
The Reading 1 The Washington was an What Is A Cabinet Note This guide provides guidance to public servants on supporting ministers for their participation in cabinet and cabinet committee meetings. Policies, plans, projects and schemes of the government. Drafter’s guide to cabinet documents provides guidance to public servants on supporting ministers for their participation in cabinet and. Handbook on writing cabinet notes. This document is an introduction to writing cabinet notes. What Is A Cabinet Note.
From qivopiwafyq.holidaysanantonio.com
How To Write A Briefing Note Australia What Is A Cabinet Note Policies, plans, projects and schemes of the government. Drafter’s guide to cabinet documents provides guidance to public servants on supporting ministers for their participation in cabinet and. This document provides an introduction and overview for writing cabinet notes in india. The cabinet secretariat is responsible for the administration of the government of india (transaction of business). It discusses the importance. What Is A Cabinet Note.
From shaunyrayah.blogspot.com
11+ Draw A What Is A Cabinet Note Handbook on writing cabinet notes. Policies, plans, projects and schemes of the government. This guide provides guidance to public servants on supporting ministers for their participation in cabinet and cabinet committee meetings. This document is an introduction to writing cabinet notes for the government of india. It discusses the importance of cabinet notes in policymaking and decision. This document provides. What Is A Cabinet Note.
From studylib.net
Position Notes What Is A Cabinet Note It discusses the importance of cabinet notes in policymaking and decision. This guide provides guidance to public servants on supporting ministers for their participation in cabinet and cabinet committee meetings. This document is an introduction to writing cabinet notes for the government of india. The cabinet secretariat is responsible for the administration of the government of india (transaction of business).. What Is A Cabinet Note.
From www.scribd.com
Note PDF What Is A Cabinet Note Drafter’s guide to cabinet documents provides guidance to public servants on supporting ministers for their participation in cabinet and. The cabinet secretariat is responsible for the administration of the government of india (transaction of business). Policies, plans, projects and schemes of the government. This guide provides guidance to public servants on supporting ministers for their participation in cabinet and cabinet. What Is A Cabinet Note.
From www.parliament.uk
Notes UK Parliament What Is A Cabinet Note This document provides an introduction and overview for writing cabinet notes in india. Policies, plans, projects and schemes of the government. Drafter’s guide to cabinet documents provides guidance to public servants on supporting ministers for their participation in cabinet and. Handbook on writing cabinet notes. Handbook on writing cabinet notes. This document is an introduction to writing cabinet notes for. What Is A Cabinet Note.
From basicpakistanilaws.blogspot.com
What is the function of the US Exhaustive Note on American What Is A Cabinet Note This document is an introduction to writing cabinet notes for the government of india. This guide provides guidance to public servants on supporting ministers for their participation in cabinet and cabinet committee meetings. It discusses the importance of cabinet notes in policymaking and decision. This document provides an introduction and overview for writing cabinet notes in india. Handbook on writing. What Is A Cabinet Note.
From www.template.net
FREE Note Templates & Examples Edit Online & Download What Is A Cabinet Note Handbook on writing cabinet notes. Drafter’s guide to cabinet documents provides guidance to public servants on supporting ministers for their participation in cabinet and. Handbook on writing cabinet notes. This document is an introduction to writing cabinet notes for the government of india. This guide provides guidance to public servants on supporting ministers for their participation in cabinet and cabinet. What Is A Cabinet Note.
From www.scribd.com
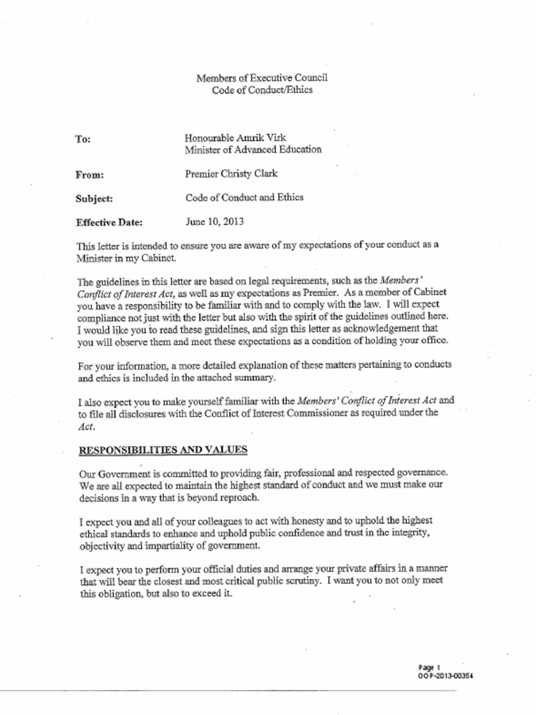
FOI BC Letters (Government) Secretary What Is A Cabinet Note This guide provides guidance to public servants on supporting ministers for their participation in cabinet and cabinet committee meetings. The cabinet secretariat is responsible for the administration of the government of india (transaction of business). Handbook on writing cabinet notes. This document provides an introduction and overview for writing cabinet notes in india. It discusses the importance of cabinet notes. What Is A Cabinet Note.
From umakanttripathi.blogspot.com
उमाकांत त्रिपाठी Every teacher should know_Original note for What Is A Cabinet Note Drafter’s guide to cabinet documents provides guidance to public servants on supporting ministers for their participation in cabinet and. Handbook on writing cabinet notes. This document provides an introduction and overview for writing cabinet notes in india. This document is an introduction to writing cabinet notes for the government of india. This guide provides guidance to public servants on supporting. What Is A Cabinet Note.
From www.icollector.com
Five drawer mahogany music note each drawer front falls away What Is A Cabinet Note This document provides an introduction and overview for writing cabinet notes in india. The cabinet secretariat is responsible for the administration of the government of india (transaction of business). Policies, plans, projects and schemes of the government. Drafter’s guide to cabinet documents provides guidance to public servants on supporting ministers for their participation in cabinet and. This document is an. What Is A Cabinet Note.
From cabinetsolutions.net
Notes What Is A Cabinet Note Policies, plans, projects and schemes of the government. This document is an introduction to writing cabinet notes for the government of india. It discusses the importance of cabinet notes in policymaking and decision. This guide provides guidance to public servants on supporting ministers for their participation in cabinet and cabinet committee meetings. Handbook on writing cabinet notes. The cabinet secretariat. What Is A Cabinet Note.
From www.scribd.com
Ministers of India GK Notes in PDF PDF (Government What Is A Cabinet Note It discusses the importance of cabinet notes in policymaking and decision. Handbook on writing cabinet notes. The cabinet secretariat is responsible for the administration of the government of india (transaction of business). Policies, plans, projects and schemes of the government. Drafter’s guide to cabinet documents provides guidance to public servants on supporting ministers for their participation in cabinet and. This. What Is A Cabinet Note.
From www.scribd.com
Options Briefing Note PDF (Government What Is A Cabinet Note This guide provides guidance to public servants on supporting ministers for their participation in cabinet and cabinet committee meetings. The cabinet secretariat is responsible for the administration of the government of india (transaction of business). Drafter’s guide to cabinet documents provides guidance to public servants on supporting ministers for their participation in cabinet and. Handbook on writing cabinet notes. This. What Is A Cabinet Note.
From www.wordtemplatesonline.net
Free Briefing Note Templates and Examples (Guide + Tips) What Is A Cabinet Note The cabinet secretariat is responsible for the administration of the government of india (transaction of business). It discusses the importance of cabinet notes in policymaking and decision. Handbook on writing cabinet notes. Policies, plans, projects and schemes of the government. This guide provides guidance to public servants on supporting ministers for their participation in cabinet and cabinet committee meetings. Handbook. What Is A Cabinet Note.
From www.scribd.com
WN On Note PDF What Is A Cabinet Note This document provides an introduction and overview for writing cabinet notes in india. This document is an introduction to writing cabinet notes for the government of india. Policies, plans, projects and schemes of the government. The cabinet secretariat is responsible for the administration of the government of india (transaction of business). It discusses the importance of cabinet notes in policymaking. What Is A Cabinet Note.
From www.trumanlibrary.gov
Meeting Notes Harry S. Truman What Is A Cabinet Note The cabinet secretariat is responsible for the administration of the government of india (transaction of business). Handbook on writing cabinet notes. It discusses the importance of cabinet notes in policymaking and decision. This document provides an introduction and overview for writing cabinet notes in india. Policies, plans, projects and schemes of the government. This guide provides guidance to public servants. What Is A Cabinet Note.
From www.alamy.com
Close up of design drawings for a handwritten notes Stock What Is A Cabinet Note Drafter’s guide to cabinet documents provides guidance to public servants on supporting ministers for their participation in cabinet and. Handbook on writing cabinet notes. This guide provides guidance to public servants on supporting ministers for their participation in cabinet and cabinet committee meetings. It discusses the importance of cabinet notes in policymaking and decision. Policies, plans, projects and schemes of. What Is A Cabinet Note.
From www.jlconline.com
Setting Kitchen JLC Online Kitchen, Best What Is A Cabinet Note Handbook on writing cabinet notes. Policies, plans, projects and schemes of the government. This document is an introduction to writing cabinet notes for the government of india. Drafter’s guide to cabinet documents provides guidance to public servants on supporting ministers for their participation in cabinet and. Handbook on writing cabinet notes. It discusses the importance of cabinet notes in policymaking. What Is A Cabinet Note.
From www.template.net
17+ Meeting Minutes Format Templates in PDF What Is A Cabinet Note This document is an introduction to writing cabinet notes for the government of india. This guide provides guidance to public servants on supporting ministers for their participation in cabinet and cabinet committee meetings. Handbook on writing cabinet notes. Handbook on writing cabinet notes. Policies, plans, projects and schemes of the government. This document provides an introduction and overview for writing. What Is A Cabinet Note.
From cinvex.us
Kitchen Floor Plan Design Flooring Guide by Cinvex What Is A Cabinet Note Handbook on writing cabinet notes. It discusses the importance of cabinet notes in policymaking and decision. Handbook on writing cabinet notes. Drafter’s guide to cabinet documents provides guidance to public servants on supporting ministers for their participation in cabinet and. The cabinet secretariat is responsible for the administration of the government of india (transaction of business). This document is an. What Is A Cabinet Note.
From thenewdaily.com.au
papers 199899 how the GST became unstoppable What Is A Cabinet Note The cabinet secretariat is responsible for the administration of the government of india (transaction of business). Handbook on writing cabinet notes. Policies, plans, projects and schemes of the government. This document provides an introduction and overview for writing cabinet notes in india. Handbook on writing cabinet notes. Drafter’s guide to cabinet documents provides guidance to public servants on supporting ministers. What Is A Cabinet Note.
From www.studocu.com
Government Lecture notes 6 StuDocu What Is A Cabinet Note Handbook on writing cabinet notes. This document is an introduction to writing cabinet notes for the government of india. The cabinet secretariat is responsible for the administration of the government of india (transaction of business). This guide provides guidance to public servants on supporting ministers for their participation in cabinet and cabinet committee meetings. Handbook on writing cabinet notes. Drafter’s. What Is A Cabinet Note.
From www.kubizo.com
Procedure Note Template What Is A Cabinet Note This guide provides guidance to public servants on supporting ministers for their participation in cabinet and cabinet committee meetings. Handbook on writing cabinet notes. This document provides an introduction and overview for writing cabinet notes in india. Handbook on writing cabinet notes. Policies, plans, projects and schemes of the government. It discusses the importance of cabinet notes in policymaking and. What Is A Cabinet Note.
From srilankabrief.org
note to change 13 A • Sri Lanka Brief What Is A Cabinet Note Policies, plans, projects and schemes of the government. The cabinet secretariat is responsible for the administration of the government of india (transaction of business). Drafter’s guide to cabinet documents provides guidance to public servants on supporting ministers for their participation in cabinet and. Handbook on writing cabinet notes. Handbook on writing cabinet notes. It discusses the importance of cabinet notes. What Is A Cabinet Note.
From shop.handwrittennotes.in
Biosafey Notes PDF Shop Handwritten Notes (SHN) What Is A Cabinet Note This document is an introduction to writing cabinet notes for the government of india. This document provides an introduction and overview for writing cabinet notes in india. Handbook on writing cabinet notes. Handbook on writing cabinet notes. It discusses the importance of cabinet notes in policymaking and decision. Policies, plans, projects and schemes of the government. Drafter’s guide to cabinet. What Is A Cabinet Note.
From www.ksge.in
The note on the announcement of government leave on government What Is A Cabinet Note This document is an introduction to writing cabinet notes for the government of india. Handbook on writing cabinet notes. This guide provides guidance to public servants on supporting ministers for their participation in cabinet and cabinet committee meetings. The cabinet secretariat is responsible for the administration of the government of india (transaction of business). Drafter’s guide to cabinet documents provides. What Is A Cabinet Note.
From www.ksge.in
The note on the announcement of government leave on government What Is A Cabinet Note The cabinet secretariat is responsible for the administration of the government of india (transaction of business). This document provides an introduction and overview for writing cabinet notes in india. Drafter’s guide to cabinet documents provides guidance to public servants on supporting ministers for their participation in cabinet and. This document is an introduction to writing cabinet notes for the government. What Is A Cabinet Note.
From www.cabinetmagazine.org
/ Notes for the Disjunction of Time What Is A Cabinet Note It discusses the importance of cabinet notes in policymaking and decision. This guide provides guidance to public servants on supporting ministers for their participation in cabinet and cabinet committee meetings. This document provides an introduction and overview for writing cabinet notes in india. Handbook on writing cabinet notes. This document is an introduction to writing cabinet notes for the government. What Is A Cabinet Note.
From virgininternet.weebly.com
Memorandum Template Free Programs, Utilities and Apps What Is A Cabinet Note This guide provides guidance to public servants on supporting ministers for their participation in cabinet and cabinet committee meetings. This document is an introduction to writing cabinet notes for the government of india. It discusses the importance of cabinet notes in policymaking and decision. This document provides an introduction and overview for writing cabinet notes in india. Handbook on writing. What Is A Cabinet Note.
From ainvsa.blogspot.com
A.I.N.V.S.A April 2013 What Is A Cabinet Note Drafter’s guide to cabinet documents provides guidance to public servants on supporting ministers for their participation in cabinet and. It discusses the importance of cabinet notes in policymaking and decision. This document provides an introduction and overview for writing cabinet notes in india. The cabinet secretariat is responsible for the administration of the government of india (transaction of business). This. What Is A Cabinet Note.