Rpp Greeting Card Kelas 8 Kurikulum 2013 . Rpp ini berisi penjabaran rencana pembelajaran bahasa inggris tentang materi greeting cards (kartu ucapan) kelas viii semester i (ganjil). Modul pjj bahasa inggris kelas viii. Rencana pelaksanaan pembelajaran bahasa inggris di smp n 1 kandeman membahas tentang greeting cards. Rencana pelaksanaan pembelajaran (rpp) ini membahas tentang pelajaran bahasa inggris untuk kelas viii tentang menulis undangan pribadi dan kartu ucapan selamat. Rencana pelaksanaan pembelajaran (rpp) bahasa inggris ini disusun menggunakan moda luring pada kelas viii, dengan kd (3.5/4.5). Rencana pelaksanaan pembelajaran (rpp) ini membahas pengajaran bahasa inggris untuk siswa kelas 8 tentang greeting card, mencakup. Kartu ucapan (greeting cards) alokasi waktu :
from id.scribd.com
Rencana pelaksanaan pembelajaran (rpp) ini membahas pengajaran bahasa inggris untuk siswa kelas 8 tentang greeting card, mencakup. Rencana pelaksanaan pembelajaran (rpp) ini membahas tentang pelajaran bahasa inggris untuk kelas viii tentang menulis undangan pribadi dan kartu ucapan selamat. Rencana pelaksanaan pembelajaran (rpp) bahasa inggris ini disusun menggunakan moda luring pada kelas viii, dengan kd (3.5/4.5). Rpp ini berisi penjabaran rencana pembelajaran bahasa inggris tentang materi greeting cards (kartu ucapan) kelas viii semester i (ganjil). Kartu ucapan (greeting cards) alokasi waktu : Rencana pelaksanaan pembelajaran bahasa inggris di smp n 1 kandeman membahas tentang greeting cards. Modul pjj bahasa inggris kelas viii.
RPP Greeting Card For Peer Teaching. PDF
Rpp Greeting Card Kelas 8 Kurikulum 2013 Rencana pelaksanaan pembelajaran (rpp) ini membahas pengajaran bahasa inggris untuk siswa kelas 8 tentang greeting card, mencakup. Rencana pelaksanaan pembelajaran bahasa inggris di smp n 1 kandeman membahas tentang greeting cards. Kartu ucapan (greeting cards) alokasi waktu : Rencana pelaksanaan pembelajaran (rpp) ini membahas pengajaran bahasa inggris untuk siswa kelas 8 tentang greeting card, mencakup. Rpp ini berisi penjabaran rencana pembelajaran bahasa inggris tentang materi greeting cards (kartu ucapan) kelas viii semester i (ganjil). Modul pjj bahasa inggris kelas viii. Rencana pelaksanaan pembelajaran (rpp) ini membahas tentang pelajaran bahasa inggris untuk kelas viii tentang menulis undangan pribadi dan kartu ucapan selamat. Rencana pelaksanaan pembelajaran (rpp) bahasa inggris ini disusun menggunakan moda luring pada kelas viii, dengan kd (3.5/4.5).
From gardenidpelajaran.blogspot.com
Rpp Greeting Card Kelas 8 RPP Bahasa Inggris kelas 8 Kurikulum 2013 Rpp Greeting Card Kelas 8 Kurikulum 2013 Rencana pelaksanaan pembelajaran (rpp) ini membahas tentang pelajaran bahasa inggris untuk kelas viii tentang menulis undangan pribadi dan kartu ucapan selamat. Rpp ini berisi penjabaran rencana pembelajaran bahasa inggris tentang materi greeting cards (kartu ucapan) kelas viii semester i (ganjil). Rencana pelaksanaan pembelajaran (rpp) ini membahas pengajaran bahasa inggris untuk siswa kelas 8 tentang greeting card, mencakup. Rencana pelaksanaan pembelajaran. Rpp Greeting Card Kelas 8 Kurikulum 2013.
From quizzdbosirisatenibx.z13.web.core.windows.net
Rpp Kurikulum Merdeka Kelas 4 Sd Semester 1 Rpp Greeting Card Kelas 8 Kurikulum 2013 Rpp ini berisi penjabaran rencana pembelajaran bahasa inggris tentang materi greeting cards (kartu ucapan) kelas viii semester i (ganjil). Rencana pelaksanaan pembelajaran (rpp) ini membahas tentang pelajaran bahasa inggris untuk kelas viii tentang menulis undangan pribadi dan kartu ucapan selamat. Rencana pelaksanaan pembelajaran bahasa inggris di smp n 1 kandeman membahas tentang greeting cards. Kartu ucapan (greeting cards) alokasi waktu. Rpp Greeting Card Kelas 8 Kurikulum 2013.
From www.slideshare.net
SILABUS BAHASA INGGRIS KELAS XII PEMINATAN PPT Rpp Greeting Card Kelas 8 Kurikulum 2013 Rpp ini berisi penjabaran rencana pembelajaran bahasa inggris tentang materi greeting cards (kartu ucapan) kelas viii semester i (ganjil). Kartu ucapan (greeting cards) alokasi waktu : Rencana pelaksanaan pembelajaran (rpp) ini membahas pengajaran bahasa inggris untuk siswa kelas 8 tentang greeting card, mencakup. Rencana pelaksanaan pembelajaran (rpp) bahasa inggris ini disusun menggunakan moda luring pada kelas viii, dengan kd (3.5/4.5).. Rpp Greeting Card Kelas 8 Kurikulum 2013.
From gardenidpelajaran.blogspot.com
Rpp Greeting Card Kelas 8 RPP Bahasa Inggris kelas 8 Kurikulum 2013 Rpp Greeting Card Kelas 8 Kurikulum 2013 Modul pjj bahasa inggris kelas viii. Rencana pelaksanaan pembelajaran bahasa inggris di smp n 1 kandeman membahas tentang greeting cards. Rencana pelaksanaan pembelajaran (rpp) ini membahas tentang pelajaran bahasa inggris untuk kelas viii tentang menulis undangan pribadi dan kartu ucapan selamat. Kartu ucapan (greeting cards) alokasi waktu : Rencana pelaksanaan pembelajaran (rpp) ini membahas pengajaran bahasa inggris untuk siswa kelas. Rpp Greeting Card Kelas 8 Kurikulum 2013.
From takadas9sstudyquizz.z14.web.core.windows.net
Contoh Rpp K13 Paud Rpp Greeting Card Kelas 8 Kurikulum 2013 Rencana pelaksanaan pembelajaran (rpp) ini membahas pengajaran bahasa inggris untuk siswa kelas 8 tentang greeting card, mencakup. Kartu ucapan (greeting cards) alokasi waktu : Modul pjj bahasa inggris kelas viii. Rpp ini berisi penjabaran rencana pembelajaran bahasa inggris tentang materi greeting cards (kartu ucapan) kelas viii semester i (ganjil). Rencana pelaksanaan pembelajaran (rpp) ini membahas tentang pelajaran bahasa inggris untuk. Rpp Greeting Card Kelas 8 Kurikulum 2013.
From id.scribd.com
RPP Greeting Card For Peer Teaching. PDF Rpp Greeting Card Kelas 8 Kurikulum 2013 Rencana pelaksanaan pembelajaran (rpp) ini membahas pengajaran bahasa inggris untuk siswa kelas 8 tentang greeting card, mencakup. Rencana pelaksanaan pembelajaran bahasa inggris di smp n 1 kandeman membahas tentang greeting cards. Rpp ini berisi penjabaran rencana pembelajaran bahasa inggris tentang materi greeting cards (kartu ucapan) kelas viii semester i (ganjil). Modul pjj bahasa inggris kelas viii. Rencana pelaksanaan pembelajaran (rpp). Rpp Greeting Card Kelas 8 Kurikulum 2013.
From www.scribd.com
RPP Prakarya SMP Kelas 8 Kurikulum 2013 Rpp Greeting Card Kelas 8 Kurikulum 2013 Rencana pelaksanaan pembelajaran (rpp) bahasa inggris ini disusun menggunakan moda luring pada kelas viii, dengan kd (3.5/4.5). Kartu ucapan (greeting cards) alokasi waktu : Rpp ini berisi penjabaran rencana pembelajaran bahasa inggris tentang materi greeting cards (kartu ucapan) kelas viii semester i (ganjil). Modul pjj bahasa inggris kelas viii. Rencana pelaksanaan pembelajaran (rpp) ini membahas tentang pelajaran bahasa inggris untuk. Rpp Greeting Card Kelas 8 Kurikulum 2013.
From www.slideshare.net
Contoh rpp kurikulum 2013 Rpp Greeting Card Kelas 8 Kurikulum 2013 Kartu ucapan (greeting cards) alokasi waktu : Rencana pelaksanaan pembelajaran (rpp) ini membahas pengajaran bahasa inggris untuk siswa kelas 8 tentang greeting card, mencakup. Rpp ini berisi penjabaran rencana pembelajaran bahasa inggris tentang materi greeting cards (kartu ucapan) kelas viii semester i (ganjil). Rencana pelaksanaan pembelajaran bahasa inggris di smp n 1 kandeman membahas tentang greeting cards. Rencana pelaksanaan pembelajaran. Rpp Greeting Card Kelas 8 Kurikulum 2013.
From www.studocu.com
Rpp greeting card kelas 8 RENCANA PELAKSANAAN PEMBELAJARAN (RPP Rpp Greeting Card Kelas 8 Kurikulum 2013 Rpp ini berisi penjabaran rencana pembelajaran bahasa inggris tentang materi greeting cards (kartu ucapan) kelas viii semester i (ganjil). Rencana pelaksanaan pembelajaran (rpp) bahasa inggris ini disusun menggunakan moda luring pada kelas viii, dengan kd (3.5/4.5). Rencana pelaksanaan pembelajaran (rpp) ini membahas pengajaran bahasa inggris untuk siswa kelas 8 tentang greeting card, mencakup. Kartu ucapan (greeting cards) alokasi waktu :. Rpp Greeting Card Kelas 8 Kurikulum 2013.
From www.slideshare.net
Rpp kurikulum 2013 SMP kelas 8 Invitation Card Rpp Greeting Card Kelas 8 Kurikulum 2013 Rencana pelaksanaan pembelajaran bahasa inggris di smp n 1 kandeman membahas tentang greeting cards. Modul pjj bahasa inggris kelas viii. Rencana pelaksanaan pembelajaran (rpp) bahasa inggris ini disusun menggunakan moda luring pada kelas viii, dengan kd (3.5/4.5). Kartu ucapan (greeting cards) alokasi waktu : Rpp ini berisi penjabaran rencana pembelajaran bahasa inggris tentang materi greeting cards (kartu ucapan) kelas viii. Rpp Greeting Card Kelas 8 Kurikulum 2013.
From bagikankelas.blogspot.com
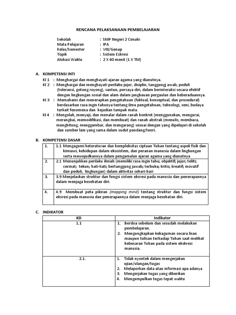
Rpp Sistem Ekskresi Kelas 8 Kurikulum 2013 Bagikan Kelas Rpp Greeting Card Kelas 8 Kurikulum 2013 Rencana pelaksanaan pembelajaran (rpp) bahasa inggris ini disusun menggunakan moda luring pada kelas viii, dengan kd (3.5/4.5). Rpp ini berisi penjabaran rencana pembelajaran bahasa inggris tentang materi greeting cards (kartu ucapan) kelas viii semester i (ganjil). Rencana pelaksanaan pembelajaran (rpp) ini membahas pengajaran bahasa inggris untuk siswa kelas 8 tentang greeting card, mencakup. Kartu ucapan (greeting cards) alokasi waktu :. Rpp Greeting Card Kelas 8 Kurikulum 2013.
From id.slideshare.net
RPP bahasa Inggris kelas 8 semester 1 kurikulum 2013 (bab 1) Rpp Greeting Card Kelas 8 Kurikulum 2013 Rencana pelaksanaan pembelajaran bahasa inggris di smp n 1 kandeman membahas tentang greeting cards. Rencana pelaksanaan pembelajaran (rpp) bahasa inggris ini disusun menggunakan moda luring pada kelas viii, dengan kd (3.5/4.5). Rpp ini berisi penjabaran rencana pembelajaran bahasa inggris tentang materi greeting cards (kartu ucapan) kelas viii semester i (ganjil). Modul pjj bahasa inggris kelas viii. Rencana pelaksanaan pembelajaran (rpp). Rpp Greeting Card Kelas 8 Kurikulum 2013.
From www.slideshare.net
RPP Bahasa Inggris kelas 8 Kurikulum 2013 (terbaru) chapter 3 Rpp Greeting Card Kelas 8 Kurikulum 2013 Kartu ucapan (greeting cards) alokasi waktu : Rpp ini berisi penjabaran rencana pembelajaran bahasa inggris tentang materi greeting cards (kartu ucapan) kelas viii semester i (ganjil). Rencana pelaksanaan pembelajaran (rpp) bahasa inggris ini disusun menggunakan moda luring pada kelas viii, dengan kd (3.5/4.5). Rencana pelaksanaan pembelajaran (rpp) ini membahas tentang pelajaran bahasa inggris untuk kelas viii tentang menulis undangan pribadi. Rpp Greeting Card Kelas 8 Kurikulum 2013.
From gardenidpelajaran.blogspot.com
Rpp Greeting Card Kelas 8 RPP Bahasa Inggris kelas 8 Kurikulum 2013 Rpp Greeting Card Kelas 8 Kurikulum 2013 Rencana pelaksanaan pembelajaran bahasa inggris di smp n 1 kandeman membahas tentang greeting cards. Rencana pelaksanaan pembelajaran (rpp) ini membahas tentang pelajaran bahasa inggris untuk kelas viii tentang menulis undangan pribadi dan kartu ucapan selamat. Rencana pelaksanaan pembelajaran (rpp) bahasa inggris ini disusun menggunakan moda luring pada kelas viii, dengan kd (3.5/4.5). Kartu ucapan (greeting cards) alokasi waktu : Rpp. Rpp Greeting Card Kelas 8 Kurikulum 2013.
From www.daftargajipns.com
RPP PKN Kelas 8 Kurikulum 2013 Edisi Revisi 2018 Semester 1 dan 2 Rpp Greeting Card Kelas 8 Kurikulum 2013 Kartu ucapan (greeting cards) alokasi waktu : Rencana pelaksanaan pembelajaran (rpp) bahasa inggris ini disusun menggunakan moda luring pada kelas viii, dengan kd (3.5/4.5). Rencana pelaksanaan pembelajaran bahasa inggris di smp n 1 kandeman membahas tentang greeting cards. Rencana pelaksanaan pembelajaran (rpp) ini membahas pengajaran bahasa inggris untuk siswa kelas 8 tentang greeting card, mencakup. Modul pjj bahasa inggris kelas. Rpp Greeting Card Kelas 8 Kurikulum 2013.
From id.scribd.com
RPP Greeting Card Word PDF Rpp Greeting Card Kelas 8 Kurikulum 2013 Modul pjj bahasa inggris kelas viii. Rencana pelaksanaan pembelajaran bahasa inggris di smp n 1 kandeman membahas tentang greeting cards. Rencana pelaksanaan pembelajaran (rpp) ini membahas tentang pelajaran bahasa inggris untuk kelas viii tentang menulis undangan pribadi dan kartu ucapan selamat. Rpp ini berisi penjabaran rencana pembelajaran bahasa inggris tentang materi greeting cards (kartu ucapan) kelas viii semester i (ganjil).. Rpp Greeting Card Kelas 8 Kurikulum 2013.
From kurtilasterbaru.blogspot.com
RPP Kurikulum 2013 SMP Kelas 8 Edisi Revisi 2017 Rpp Greeting Card Kelas 8 Kurikulum 2013 Rencana pelaksanaan pembelajaran (rpp) ini membahas pengajaran bahasa inggris untuk siswa kelas 8 tentang greeting card, mencakup. Rencana pelaksanaan pembelajaran (rpp) bahasa inggris ini disusun menggunakan moda luring pada kelas viii, dengan kd (3.5/4.5). Rencana pelaksanaan pembelajaran (rpp) ini membahas tentang pelajaran bahasa inggris untuk kelas viii tentang menulis undangan pribadi dan kartu ucapan selamat. Kartu ucapan (greeting cards) alokasi. Rpp Greeting Card Kelas 8 Kurikulum 2013.
From id.scribd.com
RPP Greeting Card 3.5 PT 6 Kelas VIII PDF Rpp Greeting Card Kelas 8 Kurikulum 2013 Rencana pelaksanaan pembelajaran (rpp) ini membahas pengajaran bahasa inggris untuk siswa kelas 8 tentang greeting card, mencakup. Kartu ucapan (greeting cards) alokasi waktu : Rencana pelaksanaan pembelajaran bahasa inggris di smp n 1 kandeman membahas tentang greeting cards. Rencana pelaksanaan pembelajaran (rpp) bahasa inggris ini disusun menggunakan moda luring pada kelas viii, dengan kd (3.5/4.5). Rpp ini berisi penjabaran rencana. Rpp Greeting Card Kelas 8 Kurikulum 2013.
From yaedubook.blogspot.com
KisiKisi Dan Butir Soal Materi Expression Greeting Kurikulum 2013 Rpp Greeting Card Kelas 8 Kurikulum 2013 Kartu ucapan (greeting cards) alokasi waktu : Rencana pelaksanaan pembelajaran bahasa inggris di smp n 1 kandeman membahas tentang greeting cards. Rencana pelaksanaan pembelajaran (rpp) ini membahas tentang pelajaran bahasa inggris untuk kelas viii tentang menulis undangan pribadi dan kartu ucapan selamat. Rencana pelaksanaan pembelajaran (rpp) bahasa inggris ini disusun menggunakan moda luring pada kelas viii, dengan kd (3.5/4.5). Rencana. Rpp Greeting Card Kelas 8 Kurikulum 2013.
From tukaffe.com
Rpp Spldv Smp Kelas 8 Kurikulum 2013 Rpp Greeting Card Kelas 8 Kurikulum 2013 Rencana pelaksanaan pembelajaran (rpp) bahasa inggris ini disusun menggunakan moda luring pada kelas viii, dengan kd (3.5/4.5). Kartu ucapan (greeting cards) alokasi waktu : Rencana pelaksanaan pembelajaran (rpp) ini membahas tentang pelajaran bahasa inggris untuk kelas viii tentang menulis undangan pribadi dan kartu ucapan selamat. Modul pjj bahasa inggris kelas viii. Rencana pelaksanaan pembelajaran (rpp) ini membahas pengajaran bahasa inggris. Rpp Greeting Card Kelas 8 Kurikulum 2013.
From www.slideshare.net
RPP Bahasa Inggris kelas 8 Kurikulum 2013 (terbaru) chapter 3 Rpp Greeting Card Kelas 8 Kurikulum 2013 Kartu ucapan (greeting cards) alokasi waktu : Rencana pelaksanaan pembelajaran (rpp) bahasa inggris ini disusun menggunakan moda luring pada kelas viii, dengan kd (3.5/4.5). Rencana pelaksanaan pembelajaran (rpp) ini membahas tentang pelajaran bahasa inggris untuk kelas viii tentang menulis undangan pribadi dan kartu ucapan selamat. Modul pjj bahasa inggris kelas viii. Rencana pelaksanaan pembelajaran bahasa inggris di smp n 1. Rpp Greeting Card Kelas 8 Kurikulum 2013.
From id.scribd.com
RPP 8 Greeting Card PDF Rpp Greeting Card Kelas 8 Kurikulum 2013 Modul pjj bahasa inggris kelas viii. Rencana pelaksanaan pembelajaran (rpp) bahasa inggris ini disusun menggunakan moda luring pada kelas viii, dengan kd (3.5/4.5). Kartu ucapan (greeting cards) alokasi waktu : Rpp ini berisi penjabaran rencana pembelajaran bahasa inggris tentang materi greeting cards (kartu ucapan) kelas viii semester i (ganjil). Rencana pelaksanaan pembelajaran (rpp) ini membahas pengajaran bahasa inggris untuk siswa. Rpp Greeting Card Kelas 8 Kurikulum 2013.
From www.academia.edu
(PDF) RPP GREETING CARD Titi Sabrina Academia.edu Rpp Greeting Card Kelas 8 Kurikulum 2013 Modul pjj bahasa inggris kelas viii. Kartu ucapan (greeting cards) alokasi waktu : Rencana pelaksanaan pembelajaran (rpp) ini membahas tentang pelajaran bahasa inggris untuk kelas viii tentang menulis undangan pribadi dan kartu ucapan selamat. Rencana pelaksanaan pembelajaran (rpp) ini membahas pengajaran bahasa inggris untuk siswa kelas 8 tentang greeting card, mencakup. Rpp ini berisi penjabaran rencana pembelajaran bahasa inggris tentang. Rpp Greeting Card Kelas 8 Kurikulum 2013.
From kelas.wanitabaik.com
Rpp Bahasa Inggris Smp Kelas 9 Kurikulum 2013 Pdf Rpp Greeting Card Kelas 8 Kurikulum 2013 Rencana pelaksanaan pembelajaran bahasa inggris di smp n 1 kandeman membahas tentang greeting cards. Rpp ini berisi penjabaran rencana pembelajaran bahasa inggris tentang materi greeting cards (kartu ucapan) kelas viii semester i (ganjil). Kartu ucapan (greeting cards) alokasi waktu : Rencana pelaksanaan pembelajaran (rpp) bahasa inggris ini disusun menggunakan moda luring pada kelas viii, dengan kd (3.5/4.5). Rencana pelaksanaan pembelajaran. Rpp Greeting Card Kelas 8 Kurikulum 2013.
From www.slideshare.net
Rpp kurikulum 2013 SMP kelas 8 Invitation Card Rpp Greeting Card Kelas 8 Kurikulum 2013 Rencana pelaksanaan pembelajaran (rpp) bahasa inggris ini disusun menggunakan moda luring pada kelas viii, dengan kd (3.5/4.5). Rencana pelaksanaan pembelajaran (rpp) ini membahas tentang pelajaran bahasa inggris untuk kelas viii tentang menulis undangan pribadi dan kartu ucapan selamat. Rencana pelaksanaan pembelajaran (rpp) ini membahas pengajaran bahasa inggris untuk siswa kelas 8 tentang greeting card, mencakup. Rencana pelaksanaan pembelajaran bahasa inggris. Rpp Greeting Card Kelas 8 Kurikulum 2013.
From tukaffe.com
Rpp Bahasa Inggris Kelas 12 Kurikulum 2013 Rpp Greeting Card Kelas 8 Kurikulum 2013 Modul pjj bahasa inggris kelas viii. Kartu ucapan (greeting cards) alokasi waktu : Rencana pelaksanaan pembelajaran (rpp) ini membahas pengajaran bahasa inggris untuk siswa kelas 8 tentang greeting card, mencakup. Rencana pelaksanaan pembelajaran (rpp) bahasa inggris ini disusun menggunakan moda luring pada kelas viii, dengan kd (3.5/4.5). Rencana pelaksanaan pembelajaran bahasa inggris di smp n 1 kandeman membahas tentang greeting. Rpp Greeting Card Kelas 8 Kurikulum 2013.
From kelas.wanitabaik.com
Rpp Pkn Kelas 8 Kurikulum 2013 Semester 1 Rpp Greeting Card Kelas 8 Kurikulum 2013 Rencana pelaksanaan pembelajaran (rpp) bahasa inggris ini disusun menggunakan moda luring pada kelas viii, dengan kd (3.5/4.5). Rpp ini berisi penjabaran rencana pembelajaran bahasa inggris tentang materi greeting cards (kartu ucapan) kelas viii semester i (ganjil). Rencana pelaksanaan pembelajaran (rpp) ini membahas tentang pelajaran bahasa inggris untuk kelas viii tentang menulis undangan pribadi dan kartu ucapan selamat. Rencana pelaksanaan pembelajaran. Rpp Greeting Card Kelas 8 Kurikulum 2013.
From www.slideshare.net
RPP Bahasa Inggris kelas 8 Kurikulum 2013 (terbaru) chapter 4 Rpp Greeting Card Kelas 8 Kurikulum 2013 Rpp ini berisi penjabaran rencana pembelajaran bahasa inggris tentang materi greeting cards (kartu ucapan) kelas viii semester i (ganjil). Kartu ucapan (greeting cards) alokasi waktu : Modul pjj bahasa inggris kelas viii. Rencana pelaksanaan pembelajaran (rpp) ini membahas pengajaran bahasa inggris untuk siswa kelas 8 tentang greeting card, mencakup. Rencana pelaksanaan pembelajaran bahasa inggris di smp n 1 kandeman membahas. Rpp Greeting Card Kelas 8 Kurikulum 2013.
From www.slideshare.net
Rpp kurikulum 2013 SMP kelas 8 Invitation Card Rpp Greeting Card Kelas 8 Kurikulum 2013 Kartu ucapan (greeting cards) alokasi waktu : Rencana pelaksanaan pembelajaran (rpp) ini membahas tentang pelajaran bahasa inggris untuk kelas viii tentang menulis undangan pribadi dan kartu ucapan selamat. Rpp ini berisi penjabaran rencana pembelajaran bahasa inggris tentang materi greeting cards (kartu ucapan) kelas viii semester i (ganjil). Rencana pelaksanaan pembelajaran (rpp) ini membahas pengajaran bahasa inggris untuk siswa kelas 8. Rpp Greeting Card Kelas 8 Kurikulum 2013.
From greetkris.blogspot.com
Contoh Greeting Card Kelas 8 Greet Kris Rpp Greeting Card Kelas 8 Kurikulum 2013 Rencana pelaksanaan pembelajaran (rpp) ini membahas pengajaran bahasa inggris untuk siswa kelas 8 tentang greeting card, mencakup. Kartu ucapan (greeting cards) alokasi waktu : Modul pjj bahasa inggris kelas viii. Rencana pelaksanaan pembelajaran bahasa inggris di smp n 1 kandeman membahas tentang greeting cards. Rencana pelaksanaan pembelajaran (rpp) ini membahas tentang pelajaran bahasa inggris untuk kelas viii tentang menulis undangan. Rpp Greeting Card Kelas 8 Kurikulum 2013.
From worksheetesplorarere.z21.web.core.windows.net
Rpp Kurikulum Merdeka Kelas 4 Sd Semester 2 Rpp Greeting Card Kelas 8 Kurikulum 2013 Rencana pelaksanaan pembelajaran (rpp) ini membahas pengajaran bahasa inggris untuk siswa kelas 8 tentang greeting card, mencakup. Kartu ucapan (greeting cards) alokasi waktu : Rencana pelaksanaan pembelajaran (rpp) ini membahas tentang pelajaran bahasa inggris untuk kelas viii tentang menulis undangan pribadi dan kartu ucapan selamat. Modul pjj bahasa inggris kelas viii. Rencana pelaksanaan pembelajaran bahasa inggris di smp n 1. Rpp Greeting Card Kelas 8 Kurikulum 2013.
From bagikankelas.blogspot.com
Rpp Smp Bahasa Inggris Kelas 8 Kurikulum 2013 Bagikan Kelas Rpp Greeting Card Kelas 8 Kurikulum 2013 Rencana pelaksanaan pembelajaran (rpp) bahasa inggris ini disusun menggunakan moda luring pada kelas viii, dengan kd (3.5/4.5). Rencana pelaksanaan pembelajaran bahasa inggris di smp n 1 kandeman membahas tentang greeting cards. Kartu ucapan (greeting cards) alokasi waktu : Rencana pelaksanaan pembelajaran (rpp) ini membahas tentang pelajaran bahasa inggris untuk kelas viii tentang menulis undangan pribadi dan kartu ucapan selamat. Rencana. Rpp Greeting Card Kelas 8 Kurikulum 2013.
From www.slideshare.net
Rpp kurikulum 2013 SMP kelas 8 Invitation Card Rpp Greeting Card Kelas 8 Kurikulum 2013 Rencana pelaksanaan pembelajaran bahasa inggris di smp n 1 kandeman membahas tentang greeting cards. Rencana pelaksanaan pembelajaran (rpp) ini membahas tentang pelajaran bahasa inggris untuk kelas viii tentang menulis undangan pribadi dan kartu ucapan selamat. Rencana pelaksanaan pembelajaran (rpp) ini membahas pengajaran bahasa inggris untuk siswa kelas 8 tentang greeting card, mencakup. Rpp ini berisi penjabaran rencana pembelajaran bahasa inggris. Rpp Greeting Card Kelas 8 Kurikulum 2013.
From www.slideshare.net
Rpp kurikulum 2013 SMP kelas 8 Invitation Card Rpp Greeting Card Kelas 8 Kurikulum 2013 Rencana pelaksanaan pembelajaran bahasa inggris di smp n 1 kandeman membahas tentang greeting cards. Rencana pelaksanaan pembelajaran (rpp) bahasa inggris ini disusun menggunakan moda luring pada kelas viii, dengan kd (3.5/4.5). Rencana pelaksanaan pembelajaran (rpp) ini membahas pengajaran bahasa inggris untuk siswa kelas 8 tentang greeting card, mencakup. Kartu ucapan (greeting cards) alokasi waktu : Rpp ini berisi penjabaran rencana. Rpp Greeting Card Kelas 8 Kurikulum 2013.
From seputarankelas.blogspot.com
Rpp Simple Past Tense Kelas 8 Kurikulum 2013 Seputar Kelas Rpp Greeting Card Kelas 8 Kurikulum 2013 Rencana pelaksanaan pembelajaran (rpp) bahasa inggris ini disusun menggunakan moda luring pada kelas viii, dengan kd (3.5/4.5). Kartu ucapan (greeting cards) alokasi waktu : Rencana pelaksanaan pembelajaran (rpp) ini membahas pengajaran bahasa inggris untuk siswa kelas 8 tentang greeting card, mencakup. Rpp ini berisi penjabaran rencana pembelajaran bahasa inggris tentang materi greeting cards (kartu ucapan) kelas viii semester i (ganjil).. Rpp Greeting Card Kelas 8 Kurikulum 2013.