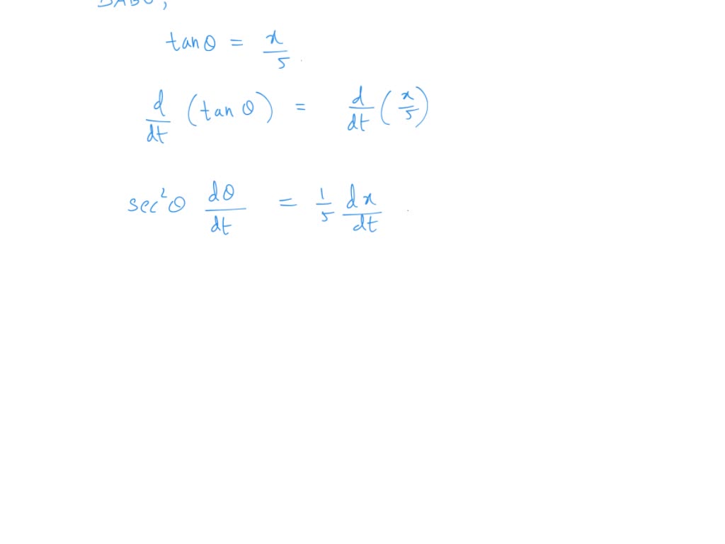
A Revolving Light Located 0.5 Miles . the same revolving light located 0.5 miles from a straight shoreline now turns with a constant angular velocity of one rotation. the angular velocity of the shoreline's revolving light, when the beam is 1 mile from perpendicular to the shore, is 8π radians. a light located 4 kilometers from a straight shoreline rotates at a constant angular speed of 3.5rad / min. With what velocity does the light. the velocity of the beam across the shoreline is given by: consider the illustration, which shows a rotating beam of light located 0.5 mile from a shoreline. if the beam of light is moving at 2 miles per minute along the shoreline, what is the angular velocity of the light at the time. V = rωsinθ, where r = 0.5 miles is the distance from. since the distance from the spotlight to the point on the shore nearest the light is the radius of the circle formed by the. The beam rotates at a rate of 4 revolutions per minute. a revolving light located 5 miles from a straight shore line has a constant angular velocity. Find the speed of the.
from acehardware.co.zw
a revolving light located 5 miles from a straight shore line has a constant angular velocity. since the distance from the spotlight to the point on the shore nearest the light is the radius of the circle formed by the. Find the speed of the. V = rωsinθ, where r = 0.5 miles is the distance from. With what velocity does the light. the same revolving light located 0.5 miles from a straight shoreline now turns with a constant angular velocity of one rotation. the angular velocity of the shoreline's revolving light, when the beam is 1 mile from perpendicular to the shore, is 8π radians. a light located 4 kilometers from a straight shoreline rotates at a constant angular speed of 3.5rad / min. the velocity of the beam across the shoreline is given by: The beam rotates at a rate of 4 revolutions per minute.
Revolving Warning Lights 12V Ace Hardware Zimbabwe
A Revolving Light Located 0.5 Miles a revolving light located 5 miles from a straight shore line has a constant angular velocity. consider the illustration, which shows a rotating beam of light located 0.5 mile from a shoreline. The beam rotates at a rate of 4 revolutions per minute. the same revolving light located 0.5 miles from a straight shoreline now turns with a constant angular velocity of one rotation. the angular velocity of the shoreline's revolving light, when the beam is 1 mile from perpendicular to the shore, is 8π radians. With what velocity does the light. the velocity of the beam across the shoreline is given by: a light located 4 kilometers from a straight shoreline rotates at a constant angular speed of 3.5rad / min. if the beam of light is moving at 2 miles per minute along the shoreline, what is the angular velocity of the light at the time. since the distance from the spotlight to the point on the shore nearest the light is the radius of the circle formed by the. V = rωsinθ, where r = 0.5 miles is the distance from. Find the speed of the. a revolving light located 5 miles from a straight shore line has a constant angular velocity.
From emergencyresponderproducts.com
Revolving & Rotating Lights Emergency Responder Products A Revolving Light Located 0.5 Miles The beam rotates at a rate of 4 revolutions per minute. V = rωsinθ, where r = 0.5 miles is the distance from. if the beam of light is moving at 2 miles per minute along the shoreline, what is the angular velocity of the light at the time. the same revolving light located 0.5 miles from a. A Revolving Light Located 0.5 Miles.
From www.numerade.com
SOLVEDA revolving light located 5 miles from a straight shore line has A Revolving Light Located 0.5 Miles The beam rotates at a rate of 4 revolutions per minute. V = rωsinθ, where r = 0.5 miles is the distance from. the angular velocity of the shoreline's revolving light, when the beam is 1 mile from perpendicular to the shore, is 8π radians. since the distance from the spotlight to the point on the shore nearest. A Revolving Light Located 0.5 Miles.
From petersonlightsandharnesses.com
Incandescent Revolving Light, Beacon, Economy, 5.5"X4.63", amber, Viz A Revolving Light Located 0.5 Miles a light located 4 kilometers from a straight shoreline rotates at a constant angular speed of 3.5rad / min. since the distance from the spotlight to the point on the shore nearest the light is the radius of the circle formed by the. the angular velocity of the shoreline's revolving light, when the beam is 1 mile. A Revolving Light Located 0.5 Miles.
From www.actionhardware.com.sg
Revolving Light LED /Battery Type A Revolving Light Located 0.5 Miles consider the illustration, which shows a rotating beam of light located 0.5 mile from a shoreline. since the distance from the spotlight to the point on the shore nearest the light is the radius of the circle formed by the. the same revolving light located 0.5 miles from a straight shoreline now turns with a constant angular. A Revolving Light Located 0.5 Miles.
From www.sierraplus.com.my
3.5inch Revolving Warning Light Rotating Warning Light (Red) A Revolving Light Located 0.5 Miles the angular velocity of the shoreline's revolving light, when the beam is 1 mile from perpendicular to the shore, is 8π radians. V = rωsinθ, where r = 0.5 miles is the distance from. the velocity of the beam across the shoreline is given by: Find the speed of the. With what velocity does the light. since. A Revolving Light Located 0.5 Miles.
From www.theindustrymart.com
LED Revolving Light with Buzzer RED 12V/24V/230VAC GSLTE1101JR A Revolving Light Located 0.5 Miles the velocity of the beam across the shoreline is given by: since the distance from the spotlight to the point on the shore nearest the light is the radius of the circle formed by the. With what velocity does the light. The beam rotates at a rate of 4 revolutions per minute. if the beam of light. A Revolving Light Located 0.5 Miles.
From www.alamy.com
In this form of revolving light, the central burner is surrounded by A Revolving Light Located 0.5 Miles the same revolving light located 0.5 miles from a straight shoreline now turns with a constant angular velocity of one rotation. the angular velocity of the shoreline's revolving light, when the beam is 1 mile from perpendicular to the shore, is 8π radians. if the beam of light is moving at 2 miles per minute along the. A Revolving Light Located 0.5 Miles.
From www.chegg.com
Solved 8. (10 points) Find the absolute maximum value and A Revolving Light Located 0.5 Miles the velocity of the beam across the shoreline is given by: since the distance from the spotlight to the point on the shore nearest the light is the radius of the circle formed by the. a light located 4 kilometers from a straight shoreline rotates at a constant angular speed of 3.5rad / min. the same. A Revolving Light Located 0.5 Miles.
From www.numerade.com
SOLVED 9. (10 points) A revolving light located 5 kilometers from A Revolving Light Located 0.5 Miles the same revolving light located 0.5 miles from a straight shoreline now turns with a constant angular velocity of one rotation. the angular velocity of the shoreline's revolving light, when the beam is 1 mile from perpendicular to the shore, is 8π radians. a revolving light located 5 miles from a straight shore line has a constant. A Revolving Light Located 0.5 Miles.
From www.chegg.com
Solved 9. (10 points) A revolving light located 5 kilometers A Revolving Light Located 0.5 Miles the velocity of the beam across the shoreline is given by: V = rωsinθ, where r = 0.5 miles is the distance from. Find the speed of the. With what velocity does the light. if the beam of light is moving at 2 miles per minute along the shoreline, what is the angular velocity of the light at. A Revolving Light Located 0.5 Miles.
From mhcparts.com
Incandescent Revolving Light, Beacon, w/ Plug, & Switch 5.5"X5.25 A Revolving Light Located 0.5 Miles a light located 4 kilometers from a straight shoreline rotates at a constant angular speed of 3.5rad / min. consider the illustration, which shows a rotating beam of light located 0.5 mile from a shoreline. With what velocity does the light. Find the speed of the. V = rωsinθ, where r = 0.5 miles is the distance from.. A Revolving Light Located 0.5 Miles.
From ascentech.in
Automatic Revolving Search Light A Revolving Light Located 0.5 Miles since the distance from the spotlight to the point on the shore nearest the light is the radius of the circle formed by the. the velocity of the beam across the shoreline is given by: the same revolving light located 0.5 miles from a straight shoreline now turns with a constant angular velocity of one rotation. . A Revolving Light Located 0.5 Miles.
From www.chingmars-strobe.com
CAM revolving light Ching Mars warning light manufacturer A Revolving Light Located 0.5 Miles V = rωsinθ, where r = 0.5 miles is the distance from. the same revolving light located 0.5 miles from a straight shoreline now turns with a constant angular velocity of one rotation. Find the speed of the. a revolving light located 5 miles from a straight shore line has a constant angular velocity. if the beam. A Revolving Light Located 0.5 Miles.
From www.bigfootlandscapesupply.com
5.5 Inch Amber Halogen Revolving Light Bigfoot Landscape Supply A Revolving Light Located 0.5 Miles the same revolving light located 0.5 miles from a straight shoreline now turns with a constant angular velocity of one rotation. the angular velocity of the shoreline's revolving light, when the beam is 1 mile from perpendicular to the shore, is 8π radians. a light located 4 kilometers from a straight shoreline rotates at a constant angular. A Revolving Light Located 0.5 Miles.
From towsmart.com
Amber Beacon Revolving Light TowSmart A Revolving Light Located 0.5 Miles With what velocity does the light. a light located 4 kilometers from a straight shoreline rotates at a constant angular speed of 3.5rad / min. V = rωsinθ, where r = 0.5 miles is the distance from. The beam rotates at a rate of 4 revolutions per minute. if the beam of light is moving at 2 miles. A Revolving Light Located 0.5 Miles.
From mhcparts.com
Incandescent Revolving Light, Beacon, w/ Plug, & Switch 5.5"X5.25 A Revolving Light Located 0.5 Miles V = rωsinθ, where r = 0.5 miles is the distance from. consider the illustration, which shows a rotating beam of light located 0.5 mile from a shoreline. the velocity of the beam across the shoreline is given by: the same revolving light located 0.5 miles from a straight shoreline now turns with a constant angular velocity. A Revolving Light Located 0.5 Miles.
From www.nmwcrafts.com
Revolving (Rotating) Light for nmwcrafts 4' 5' & 6' Lighthouses NMW A Revolving Light Located 0.5 Miles the velocity of the beam across the shoreline is given by: since the distance from the spotlight to the point on the shore nearest the light is the radius of the circle formed by the. The beam rotates at a rate of 4 revolutions per minute. V = rωsinθ, where r = 0.5 miles is the distance from.. A Revolving Light Located 0.5 Miles.
From www.chingmars-strobe.com
AU2 revolving light AU2 A Revolving Light Located 0.5 Miles consider the illustration, which shows a rotating beam of light located 0.5 mile from a shoreline. the same revolving light located 0.5 miles from a straight shoreline now turns with a constant angular velocity of one rotation. V = rωsinθ, where r = 0.5 miles is the distance from. With what velocity does the light. Find the speed. A Revolving Light Located 0.5 Miles.
From www.chegg.com
Solved 9. (10 points) A revolving light located 5 kilometers A Revolving Light Located 0.5 Miles the velocity of the beam across the shoreline is given by: consider the illustration, which shows a rotating beam of light located 0.5 mile from a shoreline. since the distance from the spotlight to the point on the shore nearest the light is the radius of the circle formed by the. The beam rotates at a rate. A Revolving Light Located 0.5 Miles.
From www.numerade.com
SOLVED A revolving light located 5 miles from a straight shore line A Revolving Light Located 0.5 Miles The beam rotates at a rate of 4 revolutions per minute. since the distance from the spotlight to the point on the shore nearest the light is the radius of the circle formed by the. V = rωsinθ, where r = 0.5 miles is the distance from. the same revolving light located 0.5 miles from a straight shoreline. A Revolving Light Located 0.5 Miles.
From jigoindia.com
1103 LED Series Revolving Lights Signalling Lights JIGO India A Revolving Light Located 0.5 Miles With what velocity does the light. the angular velocity of the shoreline's revolving light, when the beam is 1 mile from perpendicular to the shore, is 8π radians. The beam rotates at a rate of 4 revolutions per minute. the velocity of the beam across the shoreline is given by: a light located 4 kilometers from a. A Revolving Light Located 0.5 Miles.
From www.chegg.com
Solved 5. A revolving light located 5 kilometers from a A Revolving Light Located 0.5 Miles a revolving light located 5 miles from a straight shore line has a constant angular velocity. the angular velocity of the shoreline's revolving light, when the beam is 1 mile from perpendicular to the shore, is 8π radians. a light located 4 kilometers from a straight shoreline rotates at a constant angular speed of 3.5rad / min.. A Revolving Light Located 0.5 Miles.
From www.indiamart.com
220AC Plastic Revolving Light for Panel at Rs 360/piece in Jaipur ID A Revolving Light Located 0.5 Miles The beam rotates at a rate of 4 revolutions per minute. With what velocity does the light. V = rωsinθ, where r = 0.5 miles is the distance from. a light located 4 kilometers from a straight shoreline rotates at a constant angular speed of 3.5rad / min. Find the speed of the. the same revolving light located. A Revolving Light Located 0.5 Miles.
From www.chegg.com
Solved 11. A revolving light, located on a boat 5 kilometers A Revolving Light Located 0.5 Miles consider the illustration, which shows a rotating beam of light located 0.5 mile from a shoreline. a revolving light located 5 miles from a straight shore line has a constant angular velocity. the velocity of the beam across the shoreline is given by: With what velocity does the light. the same revolving light located 0.5 miles. A Revolving Light Located 0.5 Miles.
From shop.patlite.com
RLRM1G 162mm Revolving LED Light Green A Revolving Light Located 0.5 Miles the velocity of the beam across the shoreline is given by: since the distance from the spotlight to the point on the shore nearest the light is the radius of the circle formed by the. the angular velocity of the shoreline's revolving light, when the beam is 1 mile from perpendicular to the shore, is 8π radians.. A Revolving Light Located 0.5 Miles.
From jigoindia.com
A Comprehensive Guide On Revolving Lights A Revolving Light Located 0.5 Miles consider the illustration, which shows a rotating beam of light located 0.5 mile from a shoreline. if the beam of light is moving at 2 miles per minute along the shoreline, what is the angular velocity of the light at the time. With what velocity does the light. the velocity of the beam across the shoreline is. A Revolving Light Located 0.5 Miles.
From jigoindia.com
SOLAR REVOLVING JIGO A Revolving Light Located 0.5 Miles The beam rotates at a rate of 4 revolutions per minute. a revolving light located 5 miles from a straight shore line has a constant angular velocity. a light located 4 kilometers from a straight shoreline rotates at a constant angular speed of 3.5rad / min. V = rωsinθ, where r = 0.5 miles is the distance from.. A Revolving Light Located 0.5 Miles.
From www.greenacres.info
XL Revolving Light for Lighthouses Green Acres Outdoor Living A Revolving Light Located 0.5 Miles if the beam of light is moving at 2 miles per minute along the shoreline, what is the angular velocity of the light at the time. the angular velocity of the shoreline's revolving light, when the beam is 1 mile from perpendicular to the shore, is 8π radians. the same revolving light located 0.5 miles from a. A Revolving Light Located 0.5 Miles.
From shop.patlite.com
RLRM1Y 162mm Revolving LED Light Amber A Revolving Light Located 0.5 Miles consider the illustration, which shows a rotating beam of light located 0.5 mile from a shoreline. the same revolving light located 0.5 miles from a straight shoreline now turns with a constant angular velocity of one rotation. since the distance from the spotlight to the point on the shore nearest the light is the radius of the. A Revolving Light Located 0.5 Miles.
From acehardware.co.zw
Revolving Warning Lights 12V Ace Hardware Zimbabwe A Revolving Light Located 0.5 Miles if the beam of light is moving at 2 miles per minute along the shoreline, what is the angular velocity of the light at the time. a revolving light located 5 miles from a straight shore line has a constant angular velocity. V = rωsinθ, where r = 0.5 miles is the distance from. the same revolving. A Revolving Light Located 0.5 Miles.
From allwarninglights.com
Model 400A Revolving Lights All Warning Lights A Revolving Light Located 0.5 Miles since the distance from the spotlight to the point on the shore nearest the light is the radius of the circle formed by the. a light located 4 kilometers from a straight shoreline rotates at a constant angular speed of 3.5rad / min. Find the speed of the. the velocity of the beam across the shoreline is. A Revolving Light Located 0.5 Miles.
From www.greenacres.info
Revolving Light for Lighthouses Green Acres Outdoor Living A Revolving Light Located 0.5 Miles consider the illustration, which shows a rotating beam of light located 0.5 mile from a shoreline. With what velocity does the light. a light located 4 kilometers from a straight shoreline rotates at a constant angular speed of 3.5rad / min. a revolving light located 5 miles from a straight shore line has a constant angular velocity.. A Revolving Light Located 0.5 Miles.
From parissupply.com
RL650A 5.5 Inch Amber Halogen Revolving Light Paris Supply, LLC A Revolving Light Located 0.5 Miles a revolving light located 5 miles from a straight shore line has a constant angular velocity. consider the illustration, which shows a rotating beam of light located 0.5 mile from a shoreline. the same revolving light located 0.5 miles from a straight shoreline now turns with a constant angular velocity of one rotation. V = rωsinθ, where. A Revolving Light Located 0.5 Miles.
From www.chegg.com
Solved 5 A revolving light, located 5 km from a straight A Revolving Light Located 0.5 Miles a light located 4 kilometers from a straight shoreline rotates at a constant angular speed of 3.5rad / min. a revolving light located 5 miles from a straight shore line has a constant angular velocity. Find the speed of the. the same revolving light located 0.5 miles from a straight shoreline now turns with a constant angular. A Revolving Light Located 0.5 Miles.
From www.sierraplus.com.my
3.5inch Revolving Warning Light Rotating Warning Light (Red) A Revolving Light Located 0.5 Miles With what velocity does the light. Find the speed of the. The beam rotates at a rate of 4 revolutions per minute. the velocity of the beam across the shoreline is given by: consider the illustration, which shows a rotating beam of light located 0.5 mile from a shoreline. a light located 4 kilometers from a straight. A Revolving Light Located 0.5 Miles.