Baking Soda Heated Equation . On heating baking soda above 60 o c, baking soda gradually decomposes into sodium carbonate, water and carbon dioxide. Baking soda, or sodium bicarbonate (nahco 3), is a chemical that can undergo a decomposition reaction when heated. This is the balanced chemical equation for the decomposition of sodium bicarbonate, or baking soda, by heat or in water. Determine if sodium bicarbonate decomposes by reaction a or reaction b when heated. When sodium bicarbonate (baking soda) is moistened and heated, it releases carbon dioxide gas. It is used in manufacturing many sodium salts, as a source of carbon dioxide, ingredient of baking powder, and effervescent salts and beverages,. The first potential explanation is that the sodium bicarbonate decomposes into sodium hydroxide (naoh) and carbon dioxide (co2) when it is heated. If it is moistened and heated in the.
from edurev.in
If it is moistened and heated in the. When sodium bicarbonate (baking soda) is moistened and heated, it releases carbon dioxide gas. It is used in manufacturing many sodium salts, as a source of carbon dioxide, ingredient of baking powder, and effervescent salts and beverages,. On heating baking soda above 60 o c, baking soda gradually decomposes into sodium carbonate, water and carbon dioxide. The first potential explanation is that the sodium bicarbonate decomposes into sodium hydroxide (naoh) and carbon dioxide (co2) when it is heated. This is the balanced chemical equation for the decomposition of sodium bicarbonate, or baking soda, by heat or in water. Baking soda, or sodium bicarbonate (nahco 3), is a chemical that can undergo a decomposition reaction when heated. Determine if sodium bicarbonate decomposes by reaction a or reaction b when heated.
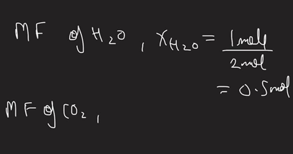
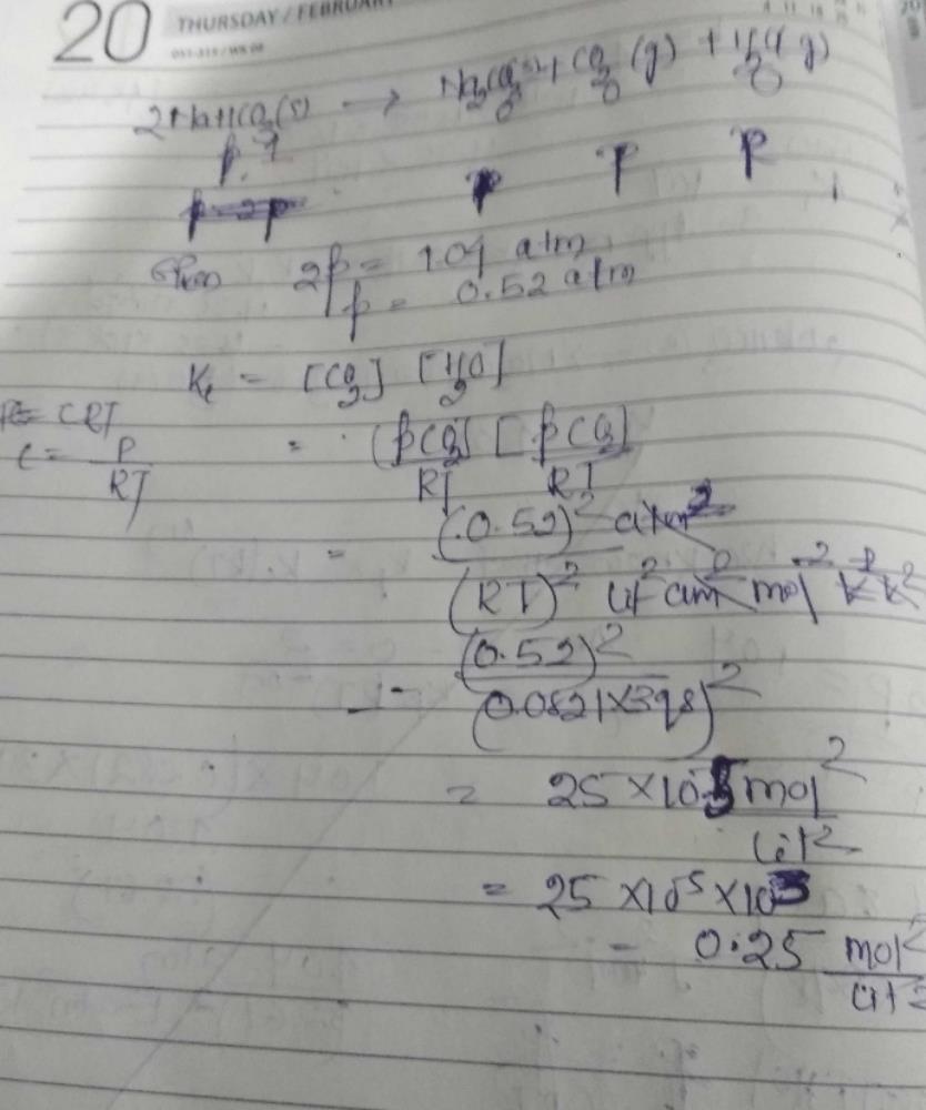
When baking soda is heated in a sealed tube, following equilibrium existsIf the equilibrium
Baking Soda Heated Equation The first potential explanation is that the sodium bicarbonate decomposes into sodium hydroxide (naoh) and carbon dioxide (co2) when it is heated. Baking soda, or sodium bicarbonate (nahco 3), is a chemical that can undergo a decomposition reaction when heated. When sodium bicarbonate (baking soda) is moistened and heated, it releases carbon dioxide gas. Determine if sodium bicarbonate decomposes by reaction a or reaction b when heated. On heating baking soda above 60 o c, baking soda gradually decomposes into sodium carbonate, water and carbon dioxide. It is used in manufacturing many sodium salts, as a source of carbon dioxide, ingredient of baking powder, and effervescent salts and beverages,. This is the balanced chemical equation for the decomposition of sodium bicarbonate, or baking soda, by heat or in water. The first potential explanation is that the sodium bicarbonate decomposes into sodium hydroxide (naoh) and carbon dioxide (co2) when it is heated. If it is moistened and heated in the.
From www.numerade.com
SOLVED 1)Baking soda (NaHCO3) on heating as follows 2 NaHCO3(s) > Na2CO3(s) + CO2 Baking Soda Heated Equation It is used in manufacturing many sodium salts, as a source of carbon dioxide, ingredient of baking powder, and effervescent salts and beverages,. Baking soda, or sodium bicarbonate (nahco 3), is a chemical that can undergo a decomposition reaction when heated. The first potential explanation is that the sodium bicarbonate decomposes into sodium hydroxide (naoh) and carbon dioxide (co2) when. Baking Soda Heated Equation.
From www.youtube.com
What is the chemical formula of (a) baking soda, and (b) washing soda? YouTube Baking Soda Heated Equation If it is moistened and heated in the. Baking soda, or sodium bicarbonate (nahco 3), is a chemical that can undergo a decomposition reaction when heated. It is used in manufacturing many sodium salts, as a source of carbon dioxide, ingredient of baking powder, and effervescent salts and beverages,. This is the balanced chemical equation for the decomposition of sodium. Baking Soda Heated Equation.
From www.slideserve.com
PPT Baking Soda/Vinegar Stoichiometry Lab PowerPoint Presentation, free download ID203234 Baking Soda Heated Equation On heating baking soda above 60 o c, baking soda gradually decomposes into sodium carbonate, water and carbon dioxide. Determine if sodium bicarbonate decomposes by reaction a or reaction b when heated. The first potential explanation is that the sodium bicarbonate decomposes into sodium hydroxide (naoh) and carbon dioxide (co2) when it is heated. Baking soda, or sodium bicarbonate (nahco. Baking Soda Heated Equation.
From www.bartleby.com
Answered If baking soda (sodium hydrogen… bartleby Baking Soda Heated Equation It is used in manufacturing many sodium salts, as a source of carbon dioxide, ingredient of baking powder, and effervescent salts and beverages,. If it is moistened and heated in the. This is the balanced chemical equation for the decomposition of sodium bicarbonate, or baking soda, by heat or in water. On heating baking soda above 60 o c, baking. Baking Soda Heated Equation.
From www.numerade.com
SOLVED The chemical equation for the reaction of baking soda (sodium bicarbonate, nahco3) and Baking Soda Heated Equation The first potential explanation is that the sodium bicarbonate decomposes into sodium hydroxide (naoh) and carbon dioxide (co2) when it is heated. It is used in manufacturing many sodium salts, as a source of carbon dioxide, ingredient of baking powder, and effervescent salts and beverages,. If it is moistened and heated in the. This is the balanced chemical equation for. Baking Soda Heated Equation.
From www.chegg.com
Chemistry Archive October 28, 2016 Baking Soda Heated Equation Baking soda, or sodium bicarbonate (nahco 3), is a chemical that can undergo a decomposition reaction when heated. If it is moistened and heated in the. The first potential explanation is that the sodium bicarbonate decomposes into sodium hydroxide (naoh) and carbon dioxide (co2) when it is heated. On heating baking soda above 60 o c, baking soda gradually decomposes. Baking Soda Heated Equation.
From www.numerade.com
When baking soda is heated it according to the following reaction 2 NaHCO3( s) ⇌Na2 Baking Soda Heated Equation Determine if sodium bicarbonate decomposes by reaction a or reaction b when heated. This is the balanced chemical equation for the decomposition of sodium bicarbonate, or baking soda, by heat or in water. The first potential explanation is that the sodium bicarbonate decomposes into sodium hydroxide (naoh) and carbon dioxide (co2) when it is heated. Baking soda, or sodium bicarbonate. Baking Soda Heated Equation.
From shotprofessional22.gitlab.io
Ideal What Is The Balanced Chemical Equation For Vinegar And Baking Soda Collision Theory Answer Key Baking Soda Heated Equation The first potential explanation is that the sodium bicarbonate decomposes into sodium hydroxide (naoh) and carbon dioxide (co2) when it is heated. When sodium bicarbonate (baking soda) is moistened and heated, it releases carbon dioxide gas. It is used in manufacturing many sodium salts, as a source of carbon dioxide, ingredient of baking powder, and effervescent salts and beverages,. Baking. Baking Soda Heated Equation.
From www.slideserve.com
PPT HEATING BAKING SODA PowerPoint Presentation, free download ID5418706 Baking Soda Heated Equation This is the balanced chemical equation for the decomposition of sodium bicarbonate, or baking soda, by heat or in water. Baking soda, or sodium bicarbonate (nahco 3), is a chemical that can undergo a decomposition reaction when heated. When sodium bicarbonate (baking soda) is moistened and heated, it releases carbon dioxide gas. It is used in manufacturing many sodium salts,. Baking Soda Heated Equation.
From www.numerade.com
SOLVED The chemical equation for the reaction of baking soda (sodium bicarbonate, NaHCO3) and Baking Soda Heated Equation When sodium bicarbonate (baking soda) is moistened and heated, it releases carbon dioxide gas. On heating baking soda above 60 o c, baking soda gradually decomposes into sodium carbonate, water and carbon dioxide. If it is moistened and heated in the. Baking soda, or sodium bicarbonate (nahco 3), is a chemical that can undergo a decomposition reaction when heated. Determine. Baking Soda Heated Equation.
From www.numerade.com
SOLVED Baking soda (NaHCO3) when it is heated according to the equation below. How Baking Soda Heated Equation On heating baking soda above 60 o c, baking soda gradually decomposes into sodium carbonate, water and carbon dioxide. Baking soda, or sodium bicarbonate (nahco 3), is a chemical that can undergo a decomposition reaction when heated. It is used in manufacturing many sodium salts, as a source of carbon dioxide, ingredient of baking powder, and effervescent salts and beverages,.. Baking Soda Heated Equation.
From brainly.in
what happen when a solution of baking soda is heated write chemical equation for the same and Baking Soda Heated Equation Baking soda, or sodium bicarbonate (nahco 3), is a chemical that can undergo a decomposition reaction when heated. This is the balanced chemical equation for the decomposition of sodium bicarbonate, or baking soda, by heat or in water. When sodium bicarbonate (baking soda) is moistened and heated, it releases carbon dioxide gas. Determine if sodium bicarbonate decomposes by reaction a. Baking Soda Heated Equation.
From kellyeschemistryblog.blogspot.com
Kellye's Chemistry Blog! Baking Soda! Baking Soda Heated Equation If it is moistened and heated in the. It is used in manufacturing many sodium salts, as a source of carbon dioxide, ingredient of baking powder, and effervescent salts and beverages,. This is the balanced chemical equation for the decomposition of sodium bicarbonate, or baking soda, by heat or in water. The first potential explanation is that the sodium bicarbonate. Baking Soda Heated Equation.
From www.pinterest.ca
A Simple Explanation the Difference Between Baking Soda & Baking Powder Baking soda baking Baking Soda Heated Equation The first potential explanation is that the sodium bicarbonate decomposes into sodium hydroxide (naoh) and carbon dioxide (co2) when it is heated. If it is moistened and heated in the. On heating baking soda above 60 o c, baking soda gradually decomposes into sodium carbonate, water and carbon dioxide. Determine if sodium bicarbonate decomposes by reaction a or reaction b. Baking Soda Heated Equation.
From www.youtube.com
Baking Soda and Vinegar Equation and Reaction YouTube Baking Soda Heated Equation Baking soda, or sodium bicarbonate (nahco 3), is a chemical that can undergo a decomposition reaction when heated. This is the balanced chemical equation for the decomposition of sodium bicarbonate, or baking soda, by heat or in water. When sodium bicarbonate (baking soda) is moistened and heated, it releases carbon dioxide gas. The first potential explanation is that the sodium. Baking Soda Heated Equation.
From gosciencegirls.com
Does Baking Soda Change the Temperature of Water Science Project Baking Soda Heated Equation It is used in manufacturing many sodium salts, as a source of carbon dioxide, ingredient of baking powder, and effervescent salts and beverages,. On heating baking soda above 60 o c, baking soda gradually decomposes into sodium carbonate, water and carbon dioxide. Determine if sodium bicarbonate decomposes by reaction a or reaction b when heated. When sodium bicarbonate (baking soda). Baking Soda Heated Equation.
From www.chegg.com
Solved [References] If baking soda (sodium hydrogen Baking Soda Heated Equation Determine if sodium bicarbonate decomposes by reaction a or reaction b when heated. This is the balanced chemical equation for the decomposition of sodium bicarbonate, or baking soda, by heat or in water. If it is moistened and heated in the. The first potential explanation is that the sodium bicarbonate decomposes into sodium hydroxide (naoh) and carbon dioxide (co2) when. Baking Soda Heated Equation.
From brainly.in
How washing soda is obtained from baking soda? give a balanced chemical equation. Brainly.in Baking Soda Heated Equation This is the balanced chemical equation for the decomposition of sodium bicarbonate, or baking soda, by heat or in water. On heating baking soda above 60 o c, baking soda gradually decomposes into sodium carbonate, water and carbon dioxide. When sodium bicarbonate (baking soda) is moistened and heated, it releases carbon dioxide gas. It is used in manufacturing many sodium. Baking Soda Heated Equation.
From sciencenotes.org
How to Turn Baking Soda Into Washing Soda (Sodium Bicarbonate to Sodium Carbonate) Baking Soda Heated Equation When sodium bicarbonate (baking soda) is moistened and heated, it releases carbon dioxide gas. On heating baking soda above 60 o c, baking soda gradually decomposes into sodium carbonate, water and carbon dioxide. If it is moistened and heated in the. The first potential explanation is that the sodium bicarbonate decomposes into sodium hydroxide (naoh) and carbon dioxide (co2) when. Baking Soda Heated Equation.
From www.numerade.com
SOLVED Goal Write the thermochemical equation for the standard heat of formation of baking Baking Soda Heated Equation The first potential explanation is that the sodium bicarbonate decomposes into sodium hydroxide (naoh) and carbon dioxide (co2) when it is heated. On heating baking soda above 60 o c, baking soda gradually decomposes into sodium carbonate, water and carbon dioxide. It is used in manufacturing many sodium salts, as a source of carbon dioxide, ingredient of baking powder, and. Baking Soda Heated Equation.
From www.numerade.com
SOLVED Baking soda and vinegar react according to the following chemical equation NaHCO3 Baking Soda Heated Equation If it is moistened and heated in the. Determine if sodium bicarbonate decomposes by reaction a or reaction b when heated. It is used in manufacturing many sodium salts, as a source of carbon dioxide, ingredient of baking powder, and effervescent salts and beverages,. On heating baking soda above 60 o c, baking soda gradually decomposes into sodium carbonate, water. Baking Soda Heated Equation.
From www.slideserve.com
PPT Baking Soda/Vinegar Stoichiometry Lab PowerPoint Presentation, free download ID203234 Baking Soda Heated Equation On heating baking soda above 60 o c, baking soda gradually decomposes into sodium carbonate, water and carbon dioxide. It is used in manufacturing many sodium salts, as a source of carbon dioxide, ingredient of baking powder, and effervescent salts and beverages,. If it is moistened and heated in the. The first potential explanation is that the sodium bicarbonate decomposes. Baking Soda Heated Equation.
From www.youtube.com
Chemical Reaction Of Baking Soda And Vinegar (Sodium Bicarbonate And Acetic Acid) YouTube Baking Soda Heated Equation On heating baking soda above 60 o c, baking soda gradually decomposes into sodium carbonate, water and carbon dioxide. The first potential explanation is that the sodium bicarbonate decomposes into sodium hydroxide (naoh) and carbon dioxide (co2) when it is heated. Baking soda, or sodium bicarbonate (nahco 3), is a chemical that can undergo a decomposition reaction when heated. When. Baking Soda Heated Equation.
From www.numerade.com
When baking soda (sodium bicarbonate or sodium hydrogen carbonate, NaHCO3 ) is heated, it Baking Soda Heated Equation Determine if sodium bicarbonate decomposes by reaction a or reaction b when heated. When sodium bicarbonate (baking soda) is moistened and heated, it releases carbon dioxide gas. This is the balanced chemical equation for the decomposition of sodium bicarbonate, or baking soda, by heat or in water. It is used in manufacturing many sodium salts, as a source of carbon. Baking Soda Heated Equation.
From edurev.in
When baking soda is heated in a sealed tube, following equilibrium existsIf the equilibrium Baking Soda Heated Equation Determine if sodium bicarbonate decomposes by reaction a or reaction b when heated. If it is moistened and heated in the. Baking soda, or sodium bicarbonate (nahco 3), is a chemical that can undergo a decomposition reaction when heated. When sodium bicarbonate (baking soda) is moistened and heated, it releases carbon dioxide gas. It is used in manufacturing many sodium. Baking Soda Heated Equation.
From www.youtube.com
Write a chemical equation to deceribe how baking soda is produced on a large scale . Also YouTube Baking Soda Heated Equation When sodium bicarbonate (baking soda) is moistened and heated, it releases carbon dioxide gas. This is the balanced chemical equation for the decomposition of sodium bicarbonate, or baking soda, by heat or in water. It is used in manufacturing many sodium salts, as a source of carbon dioxide, ingredient of baking powder, and effervescent salts and beverages,. Determine if sodium. Baking Soda Heated Equation.
From printables.it.com
Baking Soda Science Printables Chemical Reaction Free Printable Download Baking Soda Heated Equation The first potential explanation is that the sodium bicarbonate decomposes into sodium hydroxide (naoh) and carbon dioxide (co2) when it is heated. This is the balanced chemical equation for the decomposition of sodium bicarbonate, or baking soda, by heat or in water. On heating baking soda above 60 o c, baking soda gradually decomposes into sodium carbonate, water and carbon. Baking Soda Heated Equation.
From treatybottle13.pythonanywhere.com
Amazing Word Equation For Baking Soda And Vinegar What Is Magnitude Of Velocity Baking Soda Heated Equation It is used in manufacturing many sodium salts, as a source of carbon dioxide, ingredient of baking powder, and effervescent salts and beverages,. When sodium bicarbonate (baking soda) is moistened and heated, it releases carbon dioxide gas. On heating baking soda above 60 o c, baking soda gradually decomposes into sodium carbonate, water and carbon dioxide. If it is moistened. Baking Soda Heated Equation.
From www.numerade.com
SOLVED Sodium bicarbonate (NaHCO3), known as baking soda, when heated and releases Baking Soda Heated Equation Baking soda, or sodium bicarbonate (nahco 3), is a chemical that can undergo a decomposition reaction when heated. This is the balanced chemical equation for the decomposition of sodium bicarbonate, or baking soda, by heat or in water. When sodium bicarbonate (baking soda) is moistened and heated, it releases carbon dioxide gas. Determine if sodium bicarbonate decomposes by reaction a. Baking Soda Heated Equation.
From www.doubtnut.com
What happens when a solution of baking soda is heated? Write chemical equation for the same Baking Soda Heated Equation The first potential explanation is that the sodium bicarbonate decomposes into sodium hydroxide (naoh) and carbon dioxide (co2) when it is heated. This is the balanced chemical equation for the decomposition of sodium bicarbonate, or baking soda, by heat or in water. On heating baking soda above 60 o c, baking soda gradually decomposes into sodium carbonate, water and carbon. Baking Soda Heated Equation.
From www.numerade.com
SOLVED Baking soda (nahco3) when it is heated according to the equation below. how Baking Soda Heated Equation If it is moistened and heated in the. On heating baking soda above 60 o c, baking soda gradually decomposes into sodium carbonate, water and carbon dioxide. Determine if sodium bicarbonate decomposes by reaction a or reaction b when heated. Baking soda, or sodium bicarbonate (nahco 3), is a chemical that can undergo a decomposition reaction when heated. When sodium. Baking Soda Heated Equation.
From katierossparks.blogspot.com
Baking Soda Chemical Formula KatierosSparks Baking Soda Heated Equation If it is moistened and heated in the. It is used in manufacturing many sodium salts, as a source of carbon dioxide, ingredient of baking powder, and effervescent salts and beverages,. The first potential explanation is that the sodium bicarbonate decomposes into sodium hydroxide (naoh) and carbon dioxide (co2) when it is heated. Baking soda, or sodium bicarbonate (nahco 3),. Baking Soda Heated Equation.
From www.teachoo.com
Case Based MCQ Sanjana while preparing cake used Science Class 10 Baking Soda Heated Equation This is the balanced chemical equation for the decomposition of sodium bicarbonate, or baking soda, by heat or in water. The first potential explanation is that the sodium bicarbonate decomposes into sodium hydroxide (naoh) and carbon dioxide (co2) when it is heated. On heating baking soda above 60 o c, baking soda gradually decomposes into sodium carbonate, water and carbon. Baking Soda Heated Equation.
From edurev.in
List the raw materials needed for the manufacture of baking soda. Write the balanced chemical Baking Soda Heated Equation If it is moistened and heated in the. When sodium bicarbonate (baking soda) is moistened and heated, it releases carbon dioxide gas. Baking soda, or sodium bicarbonate (nahco 3), is a chemical that can undergo a decomposition reaction when heated. This is the balanced chemical equation for the decomposition of sodium bicarbonate, or baking soda, by heat or in water.. Baking Soda Heated Equation.
From www.numerade.com
SOLVED Given 2.99g of NaHCO3 reacts with 30 mL of CH3COOH and is heated to produce 24.77g of Baking Soda Heated Equation Determine if sodium bicarbonate decomposes by reaction a or reaction b when heated. The first potential explanation is that the sodium bicarbonate decomposes into sodium hydroxide (naoh) and carbon dioxide (co2) when it is heated. Baking soda, or sodium bicarbonate (nahco 3), is a chemical that can undergo a decomposition reaction when heated. When sodium bicarbonate (baking soda) is moistened. Baking Soda Heated Equation.