Differential Equations In Finance . This chapter is an introduction and survey of numerical solution methods for stochastic differential equations. We can use it to define a deterministic function. This lecture covers the topic of stochastic differential equations, linking. A stochastic differential equation, together with its initial condition, determines a diffusion process. Numerical solutions of ordinary differential equations. We are concerned with different properties of backward stochastic differential equations and their applications to finance. Differential equations in finance # an ordinary differential equation (ode) relates a function y = f (x) to its derivatives with respect.
from www.studocu.com
Differential equations in finance # an ordinary differential equation (ode) relates a function y = f (x) to its derivatives with respect. A stochastic differential equation, together with its initial condition, determines a diffusion process. This chapter is an introduction and survey of numerical solution methods for stochastic differential equations. We can use it to define a deterministic function. Numerical solutions of ordinary differential equations. We are concerned with different properties of backward stochastic differential equations and their applications to finance. This lecture covers the topic of stochastic differential equations, linking.
20142015 Coursework Differential Equations for Finance MA3607
Differential Equations In Finance Numerical solutions of ordinary differential equations. We can use it to define a deterministic function. Differential equations in finance # an ordinary differential equation (ode) relates a function y = f (x) to its derivatives with respect. This chapter is an introduction and survey of numerical solution methods for stochastic differential equations. This lecture covers the topic of stochastic differential equations, linking. We are concerned with different properties of backward stochastic differential equations and their applications to finance. A stochastic differential equation, together with its initial condition, determines a diffusion process. Numerical solutions of ordinary differential equations.
From www.studocu.com
20132014 Course Notes Dirac delta function Differential Equations Differential Equations In Finance We can use it to define a deterministic function. We are concerned with different properties of backward stochastic differential equations and their applications to finance. This chapter is an introduction and survey of numerical solution methods for stochastic differential equations. This lecture covers the topic of stochastic differential equations, linking. Differential equations in finance # an ordinary differential equation (ode). Differential Equations In Finance.
From www.youtube.com
Applications of Differential EquationsBasic Models of Finance Differential Equations In Finance This chapter is an introduction and survey of numerical solution methods for stochastic differential equations. We can use it to define a deterministic function. This lecture covers the topic of stochastic differential equations, linking. We are concerned with different properties of backward stochastic differential equations and their applications to finance. Numerical solutions of ordinary differential equations. Differential equations in finance. Differential Equations In Finance.
From www.scribd.com
mathfinancecheatsheet.pdf Stochastic Differential Equation Differential Equations In Finance This chapter is an introduction and survey of numerical solution methods for stochastic differential equations. A stochastic differential equation, together with its initial condition, determines a diffusion process. Numerical solutions of ordinary differential equations. We can use it to define a deterministic function. This lecture covers the topic of stochastic differential equations, linking. Differential equations in finance # an ordinary. Differential Equations In Finance.
From www.slideserve.com
PPT Time Series through Stochastic Differential Equations PowerPoint Differential Equations In Finance This chapter is an introduction and survey of numerical solution methods for stochastic differential equations. We can use it to define a deterministic function. Differential equations in finance # an ordinary differential equation (ode) relates a function y = f (x) to its derivatives with respect. We are concerned with different properties of backward stochastic differential equations and their applications. Differential Equations In Finance.
From www.amazon.in
Numerical Partial Differential Equations in Finance Explained An Differential Equations In Finance We are concerned with different properties of backward stochastic differential equations and their applications to finance. We can use it to define a deterministic function. This lecture covers the topic of stochastic differential equations, linking. Differential equations in finance # an ordinary differential equation (ode) relates a function y = f (x) to its derivatives with respect. A stochastic differential. Differential Equations In Finance.
From www.slideserve.com
PPT Chapter 2 SecondOrder Differential Equations PowerPoint Differential Equations In Finance This lecture covers the topic of stochastic differential equations, linking. A stochastic differential equation, together with its initial condition, determines a diffusion process. We can use it to define a deterministic function. Differential equations in finance # an ordinary differential equation (ode) relates a function y = f (x) to its derivatives with respect. We are concerned with different properties. Differential Equations In Finance.
From www.goodreads.com
Stochastic Differential Equations and Their Application in Finance. An Differential Equations In Finance We are concerned with different properties of backward stochastic differential equations and their applications to finance. We can use it to define a deterministic function. This chapter is an introduction and survey of numerical solution methods for stochastic differential equations. A stochastic differential equation, together with its initial condition, determines a diffusion process. Differential equations in finance # an ordinary. Differential Equations In Finance.
From www.studocu.com
20142015 Coursework Differential Equations for Finance MA3607 Differential Equations In Finance A stochastic differential equation, together with its initial condition, determines a diffusion process. Numerical solutions of ordinary differential equations. We are concerned with different properties of backward stochastic differential equations and their applications to finance. This chapter is an introduction and survey of numerical solution methods for stochastic differential equations. Differential equations in finance # an ordinary differential equation (ode). Differential Equations In Finance.
From www.studocu.com
Example of Solving Second Differential Equation (with a bit of VN to Differential Equations In Finance This lecture covers the topic of stochastic differential equations, linking. Differential equations in finance # an ordinary differential equation (ode) relates a function y = f (x) to its derivatives with respect. We are concerned with different properties of backward stochastic differential equations and their applications to finance. A stochastic differential equation, together with its initial condition, determines a diffusion. Differential Equations In Finance.
From www.slideserve.com
PPT Differential Equations PowerPoint Presentation, free download Differential Equations In Finance A stochastic differential equation, together with its initial condition, determines a diffusion process. This lecture covers the topic of stochastic differential equations, linking. We are concerned with different properties of backward stochastic differential equations and their applications to finance. This chapter is an introduction and survey of numerical solution methods for stochastic differential equations. Differential equations in finance # an. Differential Equations In Finance.
From www.wikihow.com
4 Ways to Solve Differential Equations wikiHow Differential Equations In Finance Differential equations in finance # an ordinary differential equation (ode) relates a function y = f (x) to its derivatives with respect. We can use it to define a deterministic function. Numerical solutions of ordinary differential equations. This lecture covers the topic of stochastic differential equations, linking. A stochastic differential equation, together with its initial condition, determines a diffusion process.. Differential Equations In Finance.
From www.researchgate.net
(PDF) Convergence of numerical methods for stochastic differential Differential Equations In Finance Differential equations in finance # an ordinary differential equation (ode) relates a function y = f (x) to its derivatives with respect. We are concerned with different properties of backward stochastic differential equations and their applications to finance. A stochastic differential equation, together with its initial condition, determines a diffusion process. This lecture covers the topic of stochastic differential equations,. Differential Equations In Finance.
From www.youtube.com
Application of Differential Equations in Economic Analysis YouTube Differential Equations In Finance We can use it to define a deterministic function. Numerical solutions of ordinary differential equations. A stochastic differential equation, together with its initial condition, determines a diffusion process. This chapter is an introduction and survey of numerical solution methods for stochastic differential equations. We are concerned with different properties of backward stochastic differential equations and their applications to finance. Differential. Differential Equations In Finance.
From www.researchgate.net
(PDF) Financial modeling by ordinary and stochastic differential equations Differential Equations In Finance This lecture covers the topic of stochastic differential equations, linking. Numerical solutions of ordinary differential equations. We are concerned with different properties of backward stochastic differential equations and their applications to finance. We can use it to define a deterministic function. Differential equations in finance # an ordinary differential equation (ode) relates a function y = f (x) to its. Differential Equations In Finance.
From finmath.vhx.tv
220(a) Stochastic Differential Equations Stochastic Calculus for Differential Equations In Finance This lecture covers the topic of stochastic differential equations, linking. Numerical solutions of ordinary differential equations. A stochastic differential equation, together with its initial condition, determines a diffusion process. We are concerned with different properties of backward stochastic differential equations and their applications to finance. Differential equations in finance # an ordinary differential equation (ode) relates a function y =. Differential Equations In Finance.
From www.youtube.com
Write a Differential Equation to Model the Change in a Bank Account Differential Equations In Finance Numerical solutions of ordinary differential equations. We are concerned with different properties of backward stochastic differential equations and their applications to finance. We can use it to define a deterministic function. This lecture covers the topic of stochastic differential equations, linking. A stochastic differential equation, together with its initial condition, determines a diffusion process. This chapter is an introduction and. Differential Equations In Finance.
From www.studocu.com
20142015 Problem Sheet 2 DIFFERENTIAL EQUATIONS FOR FINANCE SHEET 2 Differential Equations In Finance A stochastic differential equation, together with its initial condition, determines a diffusion process. We are concerned with different properties of backward stochastic differential equations and their applications to finance. Differential equations in finance # an ordinary differential equation (ode) relates a function y = f (x) to its derivatives with respect. We can use it to define a deterministic function.. Differential Equations In Finance.
From www.youtube.com
Functional Stochastic Differential Equations YouTube Differential Equations In Finance This chapter is an introduction and survey of numerical solution methods for stochastic differential equations. Differential equations in finance # an ordinary differential equation (ode) relates a function y = f (x) to its derivatives with respect. We are concerned with different properties of backward stochastic differential equations and their applications to finance. Numerical solutions of ordinary differential equations. A. Differential Equations In Finance.
From www.amazon.com
Financial Modeling A Backward Stochastic Differential Equations Differential Equations In Finance Numerical solutions of ordinary differential equations. A stochastic differential equation, together with its initial condition, determines a diffusion process. We can use it to define a deterministic function. We are concerned with different properties of backward stochastic differential equations and their applications to finance. This lecture covers the topic of stochastic differential equations, linking. Differential equations in finance # an. Differential Equations In Finance.
From www.youtube.com
Paul Wilmott on Quantitative Finance, Chapter 3, First Stochastic Differential Equations In Finance This chapter is an introduction and survey of numerical solution methods for stochastic differential equations. Differential equations in finance # an ordinary differential equation (ode) relates a function y = f (x) to its derivatives with respect. We are concerned with different properties of backward stochastic differential equations and their applications to finance. We can use it to define a. Differential Equations In Finance.
From querypointofficial.blogspot.com
Solve the given differential equation by separation of variables. `e^y Differential Equations In Finance A stochastic differential equation, together with its initial condition, determines a diffusion process. This chapter is an introduction and survey of numerical solution methods for stochastic differential equations. This lecture covers the topic of stochastic differential equations, linking. Differential equations in finance # an ordinary differential equation (ode) relates a function y = f (x) to its derivatives with respect.. Differential Equations In Finance.
From www.researchgate.net
(PDF) MAPLE and MATLAB for Stochastic Differential Equations in Finance Differential Equations In Finance A stochastic differential equation, together with its initial condition, determines a diffusion process. We can use it to define a deterministic function. Differential equations in finance # an ordinary differential equation (ode) relates a function y = f (x) to its derivatives with respect. This lecture covers the topic of stochastic differential equations, linking. We are concerned with different properties. Differential Equations In Finance.
From www.scribd.com
Mathematical Modeling in Economics and Finance Probability, Stochastic Differential Equations In Finance Numerical solutions of ordinary differential equations. We are concerned with different properties of backward stochastic differential equations and their applications to finance. We can use it to define a deterministic function. Differential equations in finance # an ordinary differential equation (ode) relates a function y = f (x) to its derivatives with respect. This chapter is an introduction and survey. Differential Equations In Finance.
From studylib.net
Introduction to Stochastic Differential Equations (SDEs) for Finance Differential Equations In Finance We can use it to define a deterministic function. This lecture covers the topic of stochastic differential equations, linking. Differential equations in finance # an ordinary differential equation (ode) relates a function y = f (x) to its derivatives with respect. We are concerned with different properties of backward stochastic differential equations and their applications to finance. This chapter is. Differential Equations In Finance.
From www.teachoo.com
Example 1 Find order and degree of differential equations Differential Equations In Finance Differential equations in finance # an ordinary differential equation (ode) relates a function y = f (x) to its derivatives with respect. Numerical solutions of ordinary differential equations. A stochastic differential equation, together with its initial condition, determines a diffusion process. We are concerned with different properties of backward stochastic differential equations and their applications to finance. This lecture covers. Differential Equations In Finance.
From www.scribd.com
Numerical Methods for Backward Stochastic Differential Equations with Differential Equations In Finance This lecture covers the topic of stochastic differential equations, linking. A stochastic differential equation, together with its initial condition, determines a diffusion process. Differential equations in finance # an ordinary differential equation (ode) relates a function y = f (x) to its derivatives with respect. This chapter is an introduction and survey of numerical solution methods for stochastic differential equations.. Differential Equations In Finance.
From www.docsity.com
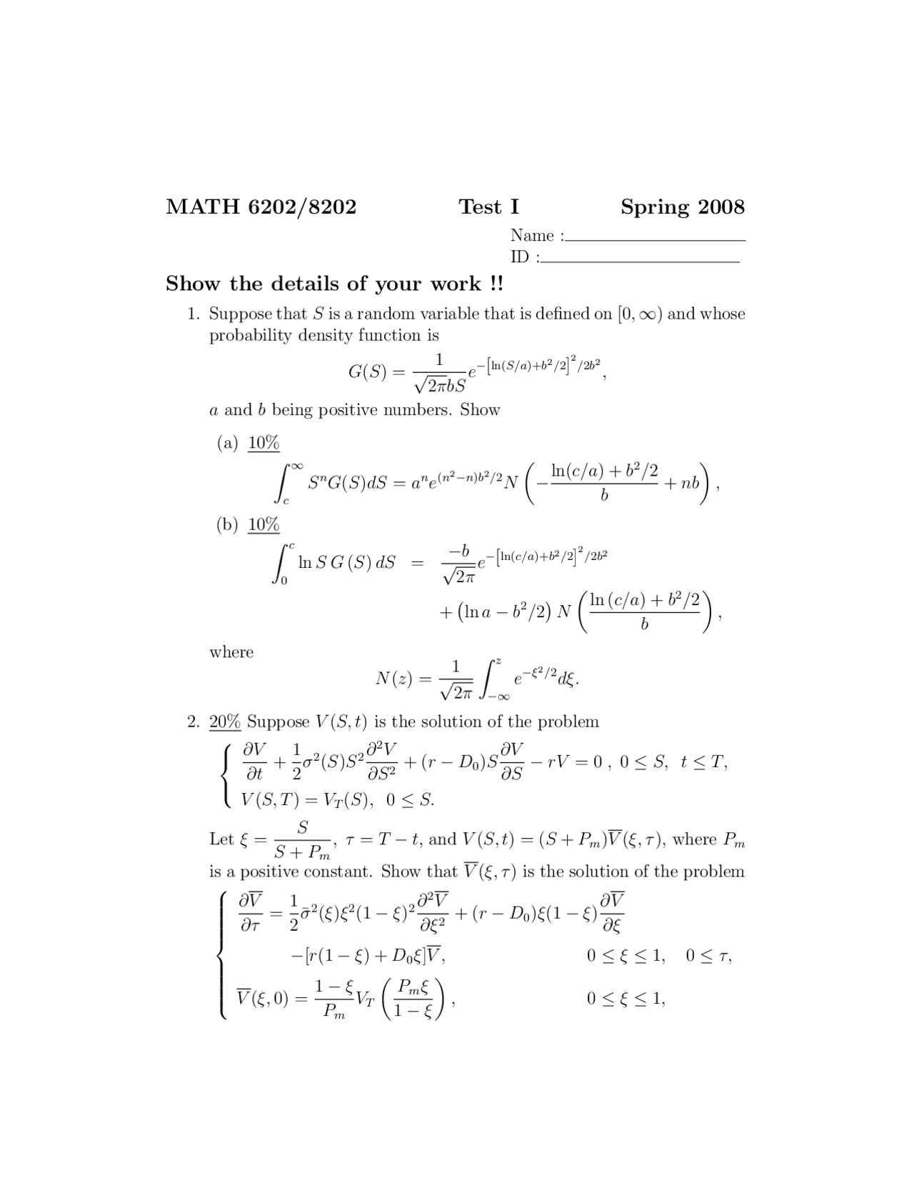
Solution for Exam 1 Partial Differential Equation Finance MATH 6202 Differential Equations In Finance We can use it to define a deterministic function. We are concerned with different properties of backward stochastic differential equations and their applications to finance. This chapter is an introduction and survey of numerical solution methods for stochastic differential equations. This lecture covers the topic of stochastic differential equations, linking. Numerical solutions of ordinary differential equations. Differential equations in finance. Differential Equations In Finance.
From www.youtube.com
A system of stochastic differential equations in application YouTube Differential Equations In Finance A stochastic differential equation, together with its initial condition, determines a diffusion process. This chapter is an introduction and survey of numerical solution methods for stochastic differential equations. Differential equations in finance # an ordinary differential equation (ode) relates a function y = f (x) to its derivatives with respect. We are concerned with different properties of backward stochastic differential. Differential Equations In Finance.
From www.scribd.com
20 21 B373h4u PDF Option (Finance) Stochastic Differential Equation Differential Equations In Finance This chapter is an introduction and survey of numerical solution methods for stochastic differential equations. This lecture covers the topic of stochastic differential equations, linking. Differential equations in finance # an ordinary differential equation (ode) relates a function y = f (x) to its derivatives with respect. Numerical solutions of ordinary differential equations. We can use it to define a. Differential Equations In Finance.
From www.youtube.com
Introduction to Differential Equations YouTube Differential Equations In Finance Differential equations in finance # an ordinary differential equation (ode) relates a function y = f (x) to its derivatives with respect. Numerical solutions of ordinary differential equations. We are concerned with different properties of backward stochastic differential equations and their applications to finance. This lecture covers the topic of stochastic differential equations, linking. We can use it to define. Differential Equations In Finance.
From bbs.pinggu.org
An Introduction to Stochastic Differential Equations 金融学(理论版) 经管之家 Differential Equations In Finance We are concerned with different properties of backward stochastic differential equations and their applications to finance. We can use it to define a deterministic function. Differential equations in finance # an ordinary differential equation (ode) relates a function y = f (x) to its derivatives with respect. This lecture covers the topic of stochastic differential equations, linking. A stochastic differential. Differential Equations In Finance.
From slideplayer.com
How to Be Steve Keen. ppt download Differential Equations In Finance A stochastic differential equation, together with its initial condition, determines a diffusion process. This lecture covers the topic of stochastic differential equations, linking. We are concerned with different properties of backward stochastic differential equations and their applications to finance. Differential equations in finance # an ordinary differential equation (ode) relates a function y = f (x) to its derivatives with. Differential Equations In Finance.
From www.youtube.com
Introduction to Differential Equations YouTube Differential Equations In Finance We are concerned with different properties of backward stochastic differential equations and their applications to finance. This chapter is an introduction and survey of numerical solution methods for stochastic differential equations. Differential equations in finance # an ordinary differential equation (ode) relates a function y = f (x) to its derivatives with respect. We can use it to define a. Differential Equations In Finance.
From www.tes.com
First order differential equations Teaching Resources Differential Equations In Finance This chapter is an introduction and survey of numerical solution methods for stochastic differential equations. A stochastic differential equation, together with its initial condition, determines a diffusion process. We are concerned with different properties of backward stochastic differential equations and their applications to finance. Differential equations in finance # an ordinary differential equation (ode) relates a function y = f. Differential Equations In Finance.
From www.researchgate.net
(PDF) theproofofanalogousresultsformartingalesandpartial Differential Equations In Finance This chapter is an introduction and survey of numerical solution methods for stochastic differential equations. A stochastic differential equation, together with its initial condition, determines a diffusion process. We can use it to define a deterministic function. Numerical solutions of ordinary differential equations. We are concerned with different properties of backward stochastic differential equations and their applications to finance. Differential. Differential Equations In Finance.