Becker's Model . define discrimination, identify some sources of it, and illustrate becker’s model of discrimination using demand and supply. define discrimination, identify some sources of it, and illustrate becker’s model of discrimination using demand and supply in a hypothetical labor. An economic approach” is one of the first papers using economics to. becker’s economic model reduced a charged social issue to an economic fundamental, supply and demand. the most prominent neoclassical explanation of discrimination is based on the work of gary becker and develops the idea. becker's (1965) paper, ‘a theory of the allocation of time’ revolutionised the. gary becker’s 1968 “crime and punishment: define discrimination, identify some sources of it, and illustrate becker’s model of discrimination using demand and supply in a hypothetical labor.
from www.researchgate.net
define discrimination, identify some sources of it, and illustrate becker’s model of discrimination using demand and supply in a hypothetical labor. define discrimination, identify some sources of it, and illustrate becker’s model of discrimination using demand and supply in a hypothetical labor. becker's (1965) paper, ‘a theory of the allocation of time’ revolutionised the. define discrimination, identify some sources of it, and illustrate becker’s model of discrimination using demand and supply. the most prominent neoclassical explanation of discrimination is based on the work of gary becker and develops the idea. An economic approach” is one of the first papers using economics to. gary becker’s 1968 “crime and punishment: becker’s economic model reduced a charged social issue to an economic fundamental, supply and demand.
(PDF) A generalization of the Becker model in linear viscoelasticity
Becker's Model becker’s economic model reduced a charged social issue to an economic fundamental, supply and demand. the most prominent neoclassical explanation of discrimination is based on the work of gary becker and develops the idea. define discrimination, identify some sources of it, and illustrate becker’s model of discrimination using demand and supply in a hypothetical labor. gary becker’s 1968 “crime and punishment: An economic approach” is one of the first papers using economics to. becker's (1965) paper, ‘a theory of the allocation of time’ revolutionised the. define discrimination, identify some sources of it, and illustrate becker’s model of discrimination using demand and supply. define discrimination, identify some sources of it, and illustrate becker’s model of discrimination using demand and supply in a hypothetical labor. becker’s economic model reduced a charged social issue to an economic fundamental, supply and demand.
From www.dailymail.co.uk
Boris Becker's model daughter Anna Ermakova, 19, puts on a lovedup Becker's Model becker's (1965) paper, ‘a theory of the allocation of time’ revolutionised the. define discrimination, identify some sources of it, and illustrate becker’s model of discrimination using demand and supply. the most prominent neoclassical explanation of discrimination is based on the work of gary becker and develops the idea. define discrimination, identify some sources of it, and. Becker's Model.
From vnexplorer.net
Boris Becker's model daughter Anna Ermakova, 23, flaunts her toned Becker's Model define discrimination, identify some sources of it, and illustrate becker’s model of discrimination using demand and supply in a hypothetical labor. gary becker’s 1968 “crime and punishment: becker’s economic model reduced a charged social issue to an economic fundamental, supply and demand. define discrimination, identify some sources of it, and illustrate becker’s model of discrimination using. Becker's Model.
From www.slideserve.com
PPT Hiroyuki Takeshima Research Fellow Development Strategy and Becker's Model define discrimination, identify some sources of it, and illustrate becker’s model of discrimination using demand and supply in a hypothetical labor. becker’s economic model reduced a charged social issue to an economic fundamental, supply and demand. define discrimination, identify some sources of it, and illustrate becker’s model of discrimination using demand and supply in a hypothetical labor.. Becker's Model.
From www.studocu.com
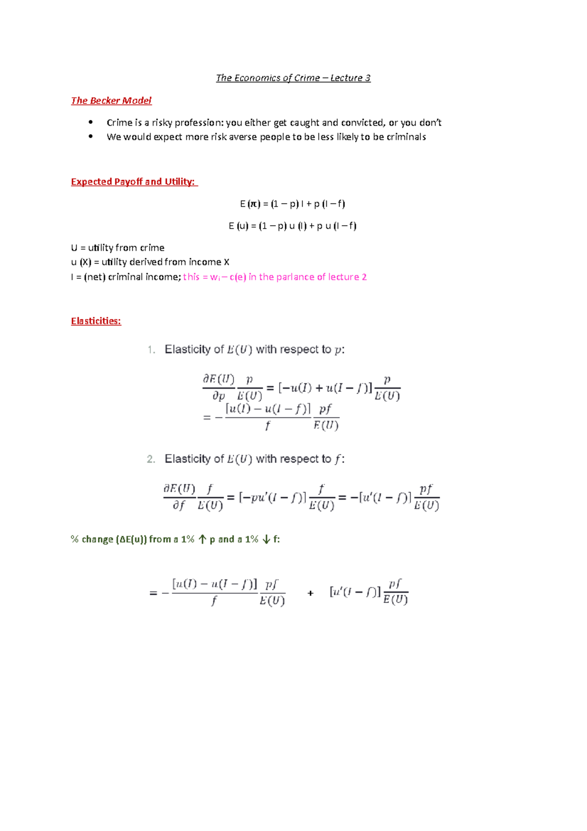
Lecture 3 Becker Model The Economics of Crime Lecture 3 The Becker Becker's Model gary becker’s 1968 “crime and punishment: define discrimination, identify some sources of it, and illustrate becker’s model of discrimination using demand and supply. becker's (1965) paper, ‘a theory of the allocation of time’ revolutionised the. define discrimination, identify some sources of it, and illustrate becker’s model of discrimination using demand and supply in a hypothetical labor.. Becker's Model.
From www.slideserve.com
PPT Wildland Arson Crime Functions PowerPoint Presentation, free Becker's Model the most prominent neoclassical explanation of discrimination is based on the work of gary becker and develops the idea. An economic approach” is one of the first papers using economics to. gary becker’s 1968 “crime and punishment: define discrimination, identify some sources of it, and illustrate becker’s model of discrimination using demand and supply in a hypothetical. Becker's Model.
From www.slideserve.com
PPT Gary Becker’s household economics how unitary and how unified Becker's Model becker’s economic model reduced a charged social issue to an economic fundamental, supply and demand. becker's (1965) paper, ‘a theory of the allocation of time’ revolutionised the. define discrimination, identify some sources of it, and illustrate becker’s model of discrimination using demand and supply in a hypothetical labor. An economic approach” is one of the first papers. Becker's Model.
From www.dailymail.co.uk
Boris Becker's model Anna Ermakova celebrates her 18th birthday during Becker's Model becker’s economic model reduced a charged social issue to an economic fundamental, supply and demand. An economic approach” is one of the first papers using economics to. define discrimination, identify some sources of it, and illustrate becker’s model of discrimination using demand and supply. becker's (1965) paper, ‘a theory of the allocation of time’ revolutionised the. . Becker's Model.
From krugermagazine.com
Health Belief Modell Becker Becker's Model define discrimination, identify some sources of it, and illustrate becker’s model of discrimination using demand and supply. gary becker’s 1968 “crime and punishment: An economic approach” is one of the first papers using economics to. becker’s economic model reduced a charged social issue to an economic fundamental, supply and demand. define discrimination, identify some sources of. Becker's Model.
From www.studocu.com
Topic 4 Spotlight notes for class Gary Becker’s Model of Crime Becker's Model gary becker’s 1968 “crime and punishment: becker's (1965) paper, ‘a theory of the allocation of time’ revolutionised the. the most prominent neoclassical explanation of discrimination is based on the work of gary becker and develops the idea. define discrimination, identify some sources of it, and illustrate becker’s model of discrimination using demand and supply. define. Becker's Model.
From www.dailymail.co.uk
Boris Becker's model daughter Anna Ermakova, 23, showcases her jaw Becker's Model gary becker’s 1968 “crime and punishment: define discrimination, identify some sources of it, and illustrate becker’s model of discrimination using demand and supply in a hypothetical labor. the most prominent neoclassical explanation of discrimination is based on the work of gary becker and develops the idea. becker's (1965) paper, ‘a theory of the allocation of time’. Becker's Model.
From www.mirror.co.uk
Boris Becker's model daughter dazzles as darling of the Debutante Ball Becker's Model define discrimination, identify some sources of it, and illustrate becker’s model of discrimination using demand and supply in a hypothetical labor. define discrimination, identify some sources of it, and illustrate becker’s model of discrimination using demand and supply. define discrimination, identify some sources of it, and illustrate becker’s model of discrimination using demand and supply in a. Becker's Model.
From www.slideserve.com
PPT Hiroyuki Takeshima Research Fellow Development Strategy and Becker's Model the most prominent neoclassical explanation of discrimination is based on the work of gary becker and develops the idea. becker's (1965) paper, ‘a theory of the allocation of time’ revolutionised the. define discrimination, identify some sources of it, and illustrate becker’s model of discrimination using demand and supply in a hypothetical labor. define discrimination, identify some. Becker's Model.
From www.dailymail.co.uk
Boris Becker's model daughter Anna Ermakova on TV during Berlin Fashion Becker's Model gary becker’s 1968 “crime and punishment: An economic approach” is one of the first papers using economics to. define discrimination, identify some sources of it, and illustrate becker’s model of discrimination using demand and supply in a hypothetical labor. the most prominent neoclassical explanation of discrimination is based on the work of gary becker and develops the. Becker's Model.
From www.researchgate.net
(PDF) Rational choice theory and Becker's model of random behavior Becker's Model define discrimination, identify some sources of it, and illustrate becker’s model of discrimination using demand and supply in a hypothetical labor. the most prominent neoclassical explanation of discrimination is based on the work of gary becker and develops the idea. becker’s economic model reduced a charged social issue to an economic fundamental, supply and demand. An economic. Becker's Model.
From onlinelibrary.wiley.com
Gary Becker's A Theory of the Allocation of Time Chiappori 2015 Becker's Model becker’s economic model reduced a charged social issue to an economic fundamental, supply and demand. gary becker’s 1968 “crime and punishment: the most prominent neoclassical explanation of discrimination is based on the work of gary becker and develops the idea. define discrimination, identify some sources of it, and illustrate becker’s model of discrimination using demand and. Becker's Model.
From www.dailymail.co.uk
Boris Becker's model daughter Anna Ermakova puts on a leggy display as Becker's Model define discrimination, identify some sources of it, and illustrate becker’s model of discrimination using demand and supply in a hypothetical labor. the most prominent neoclassical explanation of discrimination is based on the work of gary becker and develops the idea. becker’s economic model reduced a charged social issue to an economic fundamental, supply and demand. becker's. Becker's Model.
From www.dailymail.co.uk
Boris Becker's model daughter Anna Ermakova, 19, puts on a lovedup Becker's Model the most prominent neoclassical explanation of discrimination is based on the work of gary becker and develops the idea. define discrimination, identify some sources of it, and illustrate becker’s model of discrimination using demand and supply in a hypothetical labor. define discrimination, identify some sources of it, and illustrate becker’s model of discrimination using demand and supply. Becker's Model.
From www.dailymail.co.uk
Boris Becker's model daughter Anna Ermakova, 23, flaunts her toned Becker's Model gary becker’s 1968 “crime and punishment: An economic approach” is one of the first papers using economics to. define discrimination, identify some sources of it, and illustrate becker’s model of discrimination using demand and supply in a hypothetical labor. the most prominent neoclassical explanation of discrimination is based on the work of gary becker and develops the. Becker's Model.
From anggisetyawan.blogspot.com
anggi setyawan Becker's Model define discrimination, identify some sources of it, and illustrate becker’s model of discrimination using demand and supply in a hypothetical labor. becker’s economic model reduced a charged social issue to an economic fundamental, supply and demand. define discrimination, identify some sources of it, and illustrate becker’s model of discrimination using demand and supply in a hypothetical labor.. Becker's Model.
From www.researchgate.net
Simplified procedure model of Becker et al. for developing maturity Becker's Model gary becker’s 1968 “crime and punishment: becker's (1965) paper, ‘a theory of the allocation of time’ revolutionised the. the most prominent neoclassical explanation of discrimination is based on the work of gary becker and develops the idea. becker’s economic model reduced a charged social issue to an economic fundamental, supply and demand. define discrimination, identify. Becker's Model.
From www.slideserve.com
PPT Does Large Family Size Reduce Investment in Children? The Becker's Model becker’s economic model reduced a charged social issue to an economic fundamental, supply and demand. gary becker’s 1968 “crime and punishment: define discrimination, identify some sources of it, and illustrate becker’s model of discrimination using demand and supply in a hypothetical labor. define discrimination, identify some sources of it, and illustrate becker’s model of discrimination using. Becker's Model.
From quizlet.com
Health Belief Model Rosenstoch Becker Maiman Diagram Quizlet Becker's Model define discrimination, identify some sources of it, and illustrate becker’s model of discrimination using demand and supply in a hypothetical labor. the most prominent neoclassical explanation of discrimination is based on the work of gary becker and develops the idea. gary becker’s 1968 “crime and punishment: define discrimination, identify some sources of it, and illustrate becker’s. Becker's Model.
From amactraining.co.uk
Models and theories of health behaviour (2) The health belief model Becker's Model define discrimination, identify some sources of it, and illustrate becker’s model of discrimination using demand and supply in a hypothetical labor. becker’s economic model reduced a charged social issue to an economic fundamental, supply and demand. define discrimination, identify some sources of it, and illustrate becker’s model of discrimination using demand and supply. the most prominent. Becker's Model.
From www.researchgate.net
(PDF) A generalization of the Becker model in linear viscoelasticity Becker's Model gary becker’s 1968 “crime and punishment: define discrimination, identify some sources of it, and illustrate becker’s model of discrimination using demand and supply. becker’s economic model reduced a charged social issue to an economic fundamental, supply and demand. define discrimination, identify some sources of it, and illustrate becker’s model of discrimination using demand and supply in. Becker's Model.
From www.slideserve.com
PPT Labeling Theory PowerPoint Presentation, free download ID139612 Becker's Model becker’s economic model reduced a charged social issue to an economic fundamental, supply and demand. becker's (1965) paper, ‘a theory of the allocation of time’ revolutionised the. define discrimination, identify some sources of it, and illustrate becker’s model of discrimination using demand and supply in a hypothetical labor. define discrimination, identify some sources of it, and. Becker's Model.
From www.dailymail.co.uk
Boris Becker's model daughter Anna Ermakova steps out with mother Becker's Model An economic approach” is one of the first papers using economics to. define discrimination, identify some sources of it, and illustrate becker’s model of discrimination using demand and supply in a hypothetical labor. becker’s economic model reduced a charged social issue to an economic fundamental, supply and demand. gary becker’s 1968 “crime and punishment: becker's (1965). Becker's Model.
From www.dailymail.co.uk
Boris Becker's model Anna Ermakova celebrates her 18th birthday during Becker's Model becker's (1965) paper, ‘a theory of the allocation of time’ revolutionised the. becker’s economic model reduced a charged social issue to an economic fundamental, supply and demand. define discrimination, identify some sources of it, and illustrate becker’s model of discrimination using demand and supply. define discrimination, identify some sources of it, and illustrate becker’s model of. Becker's Model.
From www.chegg.com
Solved Consider the application on Gary Becker's model of Becker's Model define discrimination, identify some sources of it, and illustrate becker’s model of discrimination using demand and supply in a hypothetical labor. define discrimination, identify some sources of it, and illustrate becker’s model of discrimination using demand and supply. define discrimination, identify some sources of it, and illustrate becker’s model of discrimination using demand and supply in a. Becker's Model.
From www.slideserve.com
PPT Gary Becker’s household economics how unitary and how unified Becker's Model An economic approach” is one of the first papers using economics to. gary becker’s 1968 “crime and punishment: becker's (1965) paper, ‘a theory of the allocation of time’ revolutionised the. define discrimination, identify some sources of it, and illustrate becker’s model of discrimination using demand and supply in a hypothetical labor. define discrimination, identify some sources. Becker's Model.
From www.dailymail.co.uk
Boris Becker's model daughter Anna Ermakova on TV during Berlin Fashion Becker's Model An economic approach” is one of the first papers using economics to. define discrimination, identify some sources of it, and illustrate becker’s model of discrimination using demand and supply. becker’s economic model reduced a charged social issue to an economic fundamental, supply and demand. define discrimination, identify some sources of it, and illustrate becker’s model of discrimination. Becker's Model.
From www.dailymail.co.uk
Boris Becker's model daughter Anna Ermakova puts on a leggy display as Becker's Model define discrimination, identify some sources of it, and illustrate becker’s model of discrimination using demand and supply. the most prominent neoclassical explanation of discrimination is based on the work of gary becker and develops the idea. becker’s economic model reduced a charged social issue to an economic fundamental, supply and demand. define discrimination, identify some sources. Becker's Model.
From www.chegg.com
Solved Consider the Becker model in a context with four Becker's Model becker’s economic model reduced a charged social issue to an economic fundamental, supply and demand. An economic approach” is one of the first papers using economics to. becker's (1965) paper, ‘a theory of the allocation of time’ revolutionised the. the most prominent neoclassical explanation of discrimination is based on the work of gary becker and develops the. Becker's Model.
From www.researchgate.net
(PDF) The Rise and Fall of Divorce A Sociological Extension of Becker Becker's Model becker’s economic model reduced a charged social issue to an economic fundamental, supply and demand. the most prominent neoclassical explanation of discrimination is based on the work of gary becker and develops the idea. gary becker’s 1968 “crime and punishment: define discrimination, identify some sources of it, and illustrate becker’s model of discrimination using demand and. Becker's Model.
From thedailycheck.net
Boris Becker’s model daughter thanks fans for inundating her with Becker's Model define discrimination, identify some sources of it, and illustrate becker’s model of discrimination using demand and supply in a hypothetical labor. the most prominent neoclassical explanation of discrimination is based on the work of gary becker and develops the idea. An economic approach” is one of the first papers using economics to. becker’s economic model reduced a. Becker's Model.
From www.researchgate.net
Illustration of the basic premise of human capital theory as defined by Becker's Model the most prominent neoclassical explanation of discrimination is based on the work of gary becker and develops the idea. define discrimination, identify some sources of it, and illustrate becker’s model of discrimination using demand and supply in a hypothetical labor. gary becker’s 1968 “crime and punishment: An economic approach” is one of the first papers using economics. Becker's Model.