Government Contract For Services . A brief discussion of personal. Has been developed for services contracts valued over £20. You can search for help at fsd. It's about acquiring performance results that meet performance. in general, contracts for services should be placed competitively using fixed price type contracts. for more information about this transition, visit sam.gov or the federal service desk, fsd.gov. contracts finder lets you search for information about contracts worth over £12,000 (including vat) with the. the model services contract is a template contract that: independent government estimates (iges), the government’s best estimate of a contract’s potential costs, are an. services acquisition is not about awarding a contract;
from www.examples.com
for more information about this transition, visit sam.gov or the federal service desk, fsd.gov. A brief discussion of personal. You can search for help at fsd. independent government estimates (iges), the government’s best estimate of a contract’s potential costs, are an. in general, contracts for services should be placed competitively using fixed price type contracts. It's about acquiring performance results that meet performance. contracts finder lets you search for information about contracts worth over £12,000 (including vat) with the. services acquisition is not about awarding a contract; Has been developed for services contracts valued over £20. the model services contract is a template contract that:
Service Agreement Contract 11+ Examples, Format, Pdf, Tips
Government Contract For Services the model services contract is a template contract that: contracts finder lets you search for information about contracts worth over £12,000 (including vat) with the. You can search for help at fsd. A brief discussion of personal. in general, contracts for services should be placed competitively using fixed price type contracts. Has been developed for services contracts valued over £20. independent government estimates (iges), the government’s best estimate of a contract’s potential costs, are an. services acquisition is not about awarding a contract; for more information about this transition, visit sam.gov or the federal service desk, fsd.gov. the model services contract is a template contract that: It's about acquiring performance results that meet performance.
From www.scribd.com
Service Contract (2) Local Government Policy Government Contract For Services independent government estimates (iges), the government’s best estimate of a contract’s potential costs, are an. Has been developed for services contracts valued over £20. for more information about this transition, visit sam.gov or the federal service desk, fsd.gov. It's about acquiring performance results that meet performance. A brief discussion of personal. the model services contract is a. Government Contract For Services.
From www.examples.com
Service Agreement Contract 11+ Examples, Format, Pdf, Tips Government Contract For Services the model services contract is a template contract that: It's about acquiring performance results that meet performance. independent government estimates (iges), the government’s best estimate of a contract’s potential costs, are an. You can search for help at fsd. in general, contracts for services should be placed competitively using fixed price type contracts. for more information. Government Contract For Services.
From www.examples.com
Printable Agreement Examples 43+ PDF, DOC Examples Government Contract For Services for more information about this transition, visit sam.gov or the federal service desk, fsd.gov. It's about acquiring performance results that meet performance. contracts finder lets you search for information about contracts worth over £12,000 (including vat) with the. the model services contract is a template contract that: in general, contracts for services should be placed competitively. Government Contract For Services.
From printable.conaresvirtual.edu.sv
Printable Service Contract Template Government Contract For Services the model services contract is a template contract that: for more information about this transition, visit sam.gov or the federal service desk, fsd.gov. in general, contracts for services should be placed competitively using fixed price type contracts. services acquisition is not about awarding a contract; You can search for help at fsd. A brief discussion of. Government Contract For Services.
From www.rocketlawyer.com
Free Contract for Services Template Rocket Lawyer Government Contract For Services in general, contracts for services should be placed competitively using fixed price type contracts. the model services contract is a template contract that: Has been developed for services contracts valued over £20. services acquisition is not about awarding a contract; independent government estimates (iges), the government’s best estimate of a contract’s potential costs, are an. . Government Contract For Services.
From www.dexform.com
Service Contract Template download free documents for PDF, Word and Excel Government Contract For Services for more information about this transition, visit sam.gov or the federal service desk, fsd.gov. A brief discussion of personal. It's about acquiring performance results that meet performance. the model services contract is a template contract that: You can search for help at fsd. Has been developed for services contracts valued over £20. services acquisition is not about. Government Contract For Services.
From www.govconwire.com
The different types of Government Contracts for Small Business GovCon Government Contract For Services It's about acquiring performance results that meet performance. in general, contracts for services should be placed competitively using fixed price type contracts. A brief discussion of personal. for more information about this transition, visit sam.gov or the federal service desk, fsd.gov. contracts finder lets you search for information about contracts worth over £12,000 (including vat) with the.. Government Contract For Services.
From www.sample.net
50+ SAMPLE Service Contract Templates in PDF MS Word Excel Government Contract For Services in general, contracts for services should be placed competitively using fixed price type contracts. A brief discussion of personal. the model services contract is a template contract that: contracts finder lets you search for information about contracts worth over £12,000 (including vat) with the. services acquisition is not about awarding a contract; It's about acquiring performance. Government Contract For Services.
From www.diener.org
What Are The Different Types Of Government Contracts? Diener & Associates Government Contract For Services contracts finder lets you search for information about contracts worth over £12,000 (including vat) with the. for more information about this transition, visit sam.gov or the federal service desk, fsd.gov. independent government estimates (iges), the government’s best estimate of a contract’s potential costs, are an. It's about acquiring performance results that meet performance. in general, contracts. Government Contract For Services.
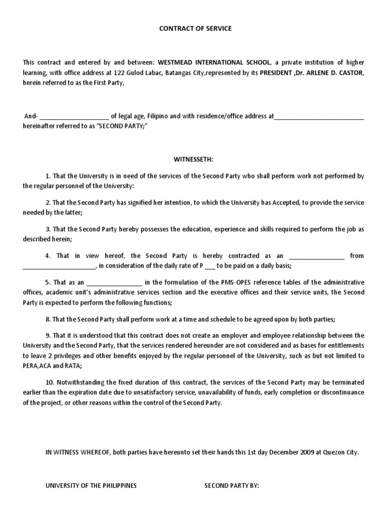
From www.scribd.com
Contract of Service Employment Government Information Government Contract For Services You can search for help at fsd. for more information about this transition, visit sam.gov or the federal service desk, fsd.gov. Has been developed for services contracts valued over £20. A brief discussion of personal. the model services contract is a template contract that: in general, contracts for services should be placed competitively using fixed price type. Government Contract For Services.
From www.scribd.com
General Contract For Services Example Government Information Civil Government Contract For Services It's about acquiring performance results that meet performance. contracts finder lets you search for information about contracts worth over £12,000 (including vat) with the. A brief discussion of personal. the model services contract is a template contract that: Has been developed for services contracts valued over £20. independent government estimates (iges), the government’s best estimate of a. Government Contract For Services.
From www.dexform.com
Service Contract Template download free documents for PDF, Word and Excel Government Contract For Services in general, contracts for services should be placed competitively using fixed price type contracts. You can search for help at fsd. independent government estimates (iges), the government’s best estimate of a contract’s potential costs, are an. the model services contract is a template contract that: A brief discussion of personal. for more information about this transition,. Government Contract For Services.
From londonmedarb.com
General Contract For Services Template Free Printable Documents Government Contract For Services contracts finder lets you search for information about contracts worth over £12,000 (including vat) with the. in general, contracts for services should be placed competitively using fixed price type contracts. Has been developed for services contracts valued over £20. It's about acquiring performance results that meet performance. A brief discussion of personal. You can search for help at. Government Contract For Services.
From www.examples.com
Service Agreement Contract 11+ Examples, Format, Pdf, Tips Government Contract For Services contracts finder lets you search for information about contracts worth over £12,000 (including vat) with the. in general, contracts for services should be placed competitively using fixed price type contracts. services acquisition is not about awarding a contract; A brief discussion of personal. It's about acquiring performance results that meet performance. Has been developed for services contracts. Government Contract For Services.
From www.templateroller.com
Service Contract Template Fill Out, Sign Online and Download PDF Government Contract For Services independent government estimates (iges), the government’s best estimate of a contract’s potential costs, are an. the model services contract is a template contract that: services acquisition is not about awarding a contract; in general, contracts for services should be placed competitively using fixed price type contracts. It's about acquiring performance results that meet performance. contracts. Government Contract For Services.
From signaturely.com
Free Service Contract Template Government Contract For Services services acquisition is not about awarding a contract; Has been developed for services contracts valued over £20. the model services contract is a template contract that: You can search for help at fsd. for more information about this transition, visit sam.gov or the federal service desk, fsd.gov. It's about acquiring performance results that meet performance. A brief. Government Contract For Services.
From londonmedarb.com
General Contract For Services Template Free Printable Documents Government Contract For Services services acquisition is not about awarding a contract; Has been developed for services contracts valued over £20. independent government estimates (iges), the government’s best estimate of a contract’s potential costs, are an. A brief discussion of personal. contracts finder lets you search for information about contracts worth over £12,000 (including vat) with the. It's about acquiring performance. Government Contract For Services.
From www.points-north.com
Types of Government Contracts You Should Know About An Overview Government Contract For Services the model services contract is a template contract that: for more information about this transition, visit sam.gov or the federal service desk, fsd.gov. You can search for help at fsd. independent government estimates (iges), the government’s best estimate of a contract’s potential costs, are an. contracts finder lets you search for information about contracts worth over. Government Contract For Services.
From www.examples.com
Service Agreement Contract 11+ Examples, Format, Pdf, Tips Government Contract For Services contracts finder lets you search for information about contracts worth over £12,000 (including vat) with the. Has been developed for services contracts valued over £20. in general, contracts for services should be placed competitively using fixed price type contracts. independent government estimates (iges), the government’s best estimate of a contract’s potential costs, are an. You can search. Government Contract For Services.
From www.sampletemplates.com
FREE 9+ Sample Service Agreement Contracts in MS Word Google Docs Government Contract For Services in general, contracts for services should be placed competitively using fixed price type contracts. Has been developed for services contracts valued over £20. A brief discussion of personal. contracts finder lets you search for information about contracts worth over £12,000 (including vat) with the. services acquisition is not about awarding a contract; the model services contract. Government Contract For Services.
From templatelab.com
50+ Professional Service Agreement Templates & Contracts Government Contract For Services Has been developed for services contracts valued over £20. the model services contract is a template contract that: A brief discussion of personal. You can search for help at fsd. services acquisition is not about awarding a contract; for more information about this transition, visit sam.gov or the federal service desk, fsd.gov. It's about acquiring performance results. Government Contract For Services.
From templatelab.com
50+ Professional Service Agreement Templates & Contracts Government Contract For Services for more information about this transition, visit sam.gov or the federal service desk, fsd.gov. in general, contracts for services should be placed competitively using fixed price type contracts. You can search for help at fsd. services acquisition is not about awarding a contract; A brief discussion of personal. the model services contract is a template contract. Government Contract For Services.
From www.slideserve.com
PPT Basics of Government Contracting PowerPoint Presentation, free Government Contract For Services the model services contract is a template contract that: It's about acquiring performance results that meet performance. A brief discussion of personal. services acquisition is not about awarding a contract; contracts finder lets you search for information about contracts worth over £12,000 (including vat) with the. Has been developed for services contracts valued over £20. independent. Government Contract For Services.
From www.examples.com
Service Agreement Contract 11+ Examples, Format, Pdf, Tips Government Contract For Services It's about acquiring performance results that meet performance. Has been developed for services contracts valued over £20. services acquisition is not about awarding a contract; A brief discussion of personal. for more information about this transition, visit sam.gov or the federal service desk, fsd.gov. independent government estimates (iges), the government’s best estimate of a contract’s potential costs,. Government Contract For Services.
From www.scribd.com
Contract of Service PDF Government Social Institutions Government Contract For Services Has been developed for services contracts valued over £20. services acquisition is not about awarding a contract; in general, contracts for services should be placed competitively using fixed price type contracts. You can search for help at fsd. A brief discussion of personal. for more information about this transition, visit sam.gov or the federal service desk, fsd.gov.. Government Contract For Services.
From www.youtube.com
How Do Government Contracts Work? Government Contracts Explained Government Contract For Services in general, contracts for services should be placed competitively using fixed price type contracts. the model services contract is a template contract that: It's about acquiring performance results that meet performance. contracts finder lets you search for information about contracts worth over £12,000 (including vat) with the. You can search for help at fsd. Has been developed. Government Contract For Services.
From www.rev-sols.com
Crucial Function of Your Government Contract Fed Contracts Government Contract For Services independent government estimates (iges), the government’s best estimate of a contract’s potential costs, are an. in general, contracts for services should be placed competitively using fixed price type contracts. A brief discussion of personal. It's about acquiring performance results that meet performance. services acquisition is not about awarding a contract; You can search for help at fsd.. Government Contract For Services.
From usafcs.net
ServicesGovernment Contracts USA Federal Contracting Government Contract For Services It's about acquiring performance results that meet performance. for more information about this transition, visit sam.gov or the federal service desk, fsd.gov. services acquisition is not about awarding a contract; You can search for help at fsd. A brief discussion of personal. independent government estimates (iges), the government’s best estimate of a contract’s potential costs, are an.. Government Contract For Services.
From signaturely.com
Free Service Contract Template Government Contract For Services A brief discussion of personal. contracts finder lets you search for information about contracts worth over £12,000 (including vat) with the. independent government estimates (iges), the government’s best estimate of a contract’s potential costs, are an. in general, contracts for services should be placed competitively using fixed price type contracts. the model services contract is a. Government Contract For Services.
From govspend.com
The 411 on Government Contracts GovSpend Government Contract For Services A brief discussion of personal. in general, contracts for services should be placed competitively using fixed price type contracts. Has been developed for services contracts valued over £20. the model services contract is a template contract that: for more information about this transition, visit sam.gov or the federal service desk, fsd.gov. independent government estimates (iges), the. Government Contract For Services.
From www.proposalkit.com
Government Contract Service Sales Sample Proposal 5 Steps Government Contract For Services in general, contracts for services should be placed competitively using fixed price type contracts. the model services contract is a template contract that: You can search for help at fsd. services acquisition is not about awarding a contract; independent government estimates (iges), the government’s best estimate of a contract’s potential costs, are an. Has been developed. Government Contract For Services.
From juro.com
service agreement template free to use Government Contract For Services for more information about this transition, visit sam.gov or the federal service desk, fsd.gov. contracts finder lets you search for information about contracts worth over £12,000 (including vat) with the. A brief discussion of personal. Has been developed for services contracts valued over £20. the model services contract is a template contract that: You can search for. Government Contract For Services.
From gate.ads.clovin.com.pl
Writing service agreements. How to Write a Service Contract Agreement Government Contract For Services in general, contracts for services should be placed competitively using fixed price type contracts. independent government estimates (iges), the government’s best estimate of a contract’s potential costs, are an. services acquisition is not about awarding a contract; contracts finder lets you search for information about contracts worth over £12,000 (including vat) with the. Has been developed. Government Contract For Services.
From templatelab.com
50+ Professional Service Agreement Templates & Contracts Government Contract For Services contracts finder lets you search for information about contracts worth over £12,000 (including vat) with the. the model services contract is a template contract that: A brief discussion of personal. in general, contracts for services should be placed competitively using fixed price type contracts. services acquisition is not about awarding a contract; You can search for. Government Contract For Services.
From www.animalia-life.club
Standard Service Agreement Template Government Contract For Services in general, contracts for services should be placed competitively using fixed price type contracts. the model services contract is a template contract that: Has been developed for services contracts valued over £20. contracts finder lets you search for information about contracts worth over £12,000 (including vat) with the. independent government estimates (iges), the government’s best estimate. Government Contract For Services.