What Does Ammeter Read . Ammeter, instrument for measuring either direct (dc) or alternating (ac) electric current, in amperes. The name is derived from the name for the si unit for electric current, amperes (a). An ammeter is defined as a device that measures the electric current in a circuit in amperes. An ammeter measures the electric current in a circuit. An ammeter can measure a wide range of current values because at high values only a small portion of the current is directed through the meter mechanism; A shunt in parallel with the meter carries the major portion. Here are a couple of examples you might find in a school lab: This allows for a very low impedance, the force that opposes electric current, that lets the ammeter accurately measure the current in a circuit without interference or change due to the ammeter itself. In order for an ammeter to. Ammeters work to measure electrical current by measuring the current through a set of coils with a very low resistance and inductive reactance. Current is the measure of the flow of electricity through a circuit in amperes (amps). An ammeter measures the current through an electrical component.
from www.chegg.com
In order for an ammeter to. Here are a couple of examples you might find in a school lab: Current is the measure of the flow of electricity through a circuit in amperes (amps). A shunt in parallel with the meter carries the major portion. Ammeters work to measure electrical current by measuring the current through a set of coils with a very low resistance and inductive reactance. Ammeter, instrument for measuring either direct (dc) or alternating (ac) electric current, in amperes. An ammeter measures the current through an electrical component. An ammeter is defined as a device that measures the electric current in a circuit in amperes. The name is derived from the name for the si unit for electric current, amperes (a). An ammeter measures the electric current in a circuit.
Solved (a) In the figure what does the ammeter read if ε =
What Does Ammeter Read In order for an ammeter to. Ammeters work to measure electrical current by measuring the current through a set of coils with a very low resistance and inductive reactance. Here are a couple of examples you might find in a school lab: An ammeter measures the current through an electrical component. This allows for a very low impedance, the force that opposes electric current, that lets the ammeter accurately measure the current in a circuit without interference or change due to the ammeter itself. Current is the measure of the flow of electricity through a circuit in amperes (amps). An ammeter is defined as a device that measures the electric current in a circuit in amperes. An ammeter measures the electric current in a circuit. An ammeter can measure a wide range of current values because at high values only a small portion of the current is directed through the meter mechanism; A shunt in parallel with the meter carries the major portion. Ammeter, instrument for measuring either direct (dc) or alternating (ac) electric current, in amperes. The name is derived from the name for the si unit for electric current, amperes (a). In order for an ammeter to.
From www.numerade.com
(a) In Fig. 2756, what current does the ammeter read if ℰ= 5.0 V What Does Ammeter Read An ammeter can measure a wide range of current values because at high values only a small portion of the current is directed through the meter mechanism; Ammeter, instrument for measuring either direct (dc) or alternating (ac) electric current, in amperes. A shunt in parallel with the meter carries the major portion. The name is derived from the name for. What Does Ammeter Read.
From electricalacademia.com
Ammeter Definition and Working Principle Electrical Academia What Does Ammeter Read Ammeter, instrument for measuring either direct (dc) or alternating (ac) electric current, in amperes. An ammeter measures the electric current in a circuit. Here are a couple of examples you might find in a school lab: A shunt in parallel with the meter carries the major portion. The name is derived from the name for the si unit for electric. What Does Ammeter Read.
From www.chegg.com
Solved (a) In the figure what does the ammeter read if What Does Ammeter Read An ammeter can measure a wide range of current values because at high values only a small portion of the current is directed through the meter mechanism; In order for an ammeter to. This allows for a very low impedance, the force that opposes electric current, that lets the ammeter accurately measure the current in a circuit without interference or. What Does Ammeter Read.
From www.numerade.com
SOLVED (a) In the figure, what does the ammeter read if € = 5.3 V What Does Ammeter Read Ammeters work to measure electrical current by measuring the current through a set of coils with a very low resistance and inductive reactance. Here are a couple of examples you might find in a school lab: An ammeter measures the current through an electrical component. This allows for a very low impedance, the force that opposes electric current, that lets. What Does Ammeter Read.
From www.chegg.com
Solved What current does the Ammeter read? Assume the What Does Ammeter Read Current is the measure of the flow of electricity through a circuit in amperes (amps). In order for an ammeter to. A shunt in parallel with the meter carries the major portion. An ammeter can measure a wide range of current values because at high values only a small portion of the current is directed through the meter mechanism; Here. What Does Ammeter Read.
From electricalacademia.com
Digital Multimeter Working Principle Electrical Academia What Does Ammeter Read A shunt in parallel with the meter carries the major portion. An ammeter measures the electric current in a circuit. An ammeter is defined as a device that measures the electric current in a circuit in amperes. Current is the measure of the flow of electricity through a circuit in amperes (amps). The name is derived from the name for. What Does Ammeter Read.
From www.wikihow.com
How to Use an Ammeter 10 Steps (with Pictures) wikiHow What Does Ammeter Read This allows for a very low impedance, the force that opposes electric current, that lets the ammeter accurately measure the current in a circuit without interference or change due to the ammeter itself. An ammeter can measure a wide range of current values because at high values only a small portion of the current is directed through the meter mechanism;. What Does Ammeter Read.
From electronicshacks.com
What Is an Ammeter? ElectronicsHacks What Does Ammeter Read Here are a couple of examples you might find in a school lab: Ammeters work to measure electrical current by measuring the current through a set of coils with a very low resistance and inductive reactance. The name is derived from the name for the si unit for electric current, amperes (a). An ammeter is defined as a device that. What Does Ammeter Read.
From www.alamy.com
an analogue ammeter with scale 0 5A reading 2 amps Stock Photo 143861 What Does Ammeter Read Ammeters work to measure electrical current by measuring the current through a set of coils with a very low resistance and inductive reactance. The name is derived from the name for the si unit for electric current, amperes (a). Current is the measure of the flow of electricity through a circuit in amperes (amps). An ammeter measures the current through. What Does Ammeter Read.
From www.chegg.com
Solved What value does the Ammeter (A) read in this circuit? What Does Ammeter Read This allows for a very low impedance, the force that opposes electric current, that lets the ammeter accurately measure the current in a circuit without interference or change due to the ammeter itself. An ammeter is defined as a device that measures the electric current in a circuit in amperes. Here are a couple of examples you might find in. What Does Ammeter Read.
From techiescientist.com
Ammeter Vs Voltmeter What's The Difference Techiescientist What Does Ammeter Read Ammeter, instrument for measuring either direct (dc) or alternating (ac) electric current, in amperes. A shunt in parallel with the meter carries the major portion. Here are a couple of examples you might find in a school lab: An ammeter is defined as a device that measures the electric current in a circuit in amperes. The name is derived from. What Does Ammeter Read.
From www.chegg.com
Solved What does the ammeter read?6A3A2ASome other value What Does Ammeter Read Here are a couple of examples you might find in a school lab: An ammeter measures the current through an electrical component. In order for an ammeter to. Current is the measure of the flow of electricity through a circuit in amperes (amps). The name is derived from the name for the si unit for electric current, amperes (a). An. What Does Ammeter Read.
From www.chegg.com
Solved what does the ammeter read if 8 5.0 V (ideal What Does Ammeter Read An ammeter measures the electric current in a circuit. An ammeter measures the current through an electrical component. An ammeter can measure a wide range of current values because at high values only a small portion of the current is directed through the meter mechanism; Ammeters work to measure electrical current by measuring the current through a set of coils. What Does Ammeter Read.
From www.numerade.com
SOLVED (a) In the figure what does the ammeter read if € = 5.6 V What Does Ammeter Read The name is derived from the name for the si unit for electric current, amperes (a). An ammeter can measure a wide range of current values because at high values only a small portion of the current is directed through the meter mechanism; In order for an ammeter to. Here are a couple of examples you might find in a. What Does Ammeter Read.
From www.chegg.com
Solved (a) In the figure what does the ammeter read if ε = What Does Ammeter Read An ammeter is defined as a device that measures the electric current in a circuit in amperes. Current is the measure of the flow of electricity through a circuit in amperes (amps). Ammeter, instrument for measuring either direct (dc) or alternating (ac) electric current, in amperes. In order for an ammeter to. An ammeter can measure a wide range of. What Does Ammeter Read.
From www.chegg.com
Solved What does the ammeter read for 12? (Use the principle What Does Ammeter Read An ammeter is defined as a device that measures the electric current in a circuit in amperes. Ammeter, instrument for measuring either direct (dc) or alternating (ac) electric current, in amperes. Ammeters work to measure electrical current by measuring the current through a set of coils with a very low resistance and inductive reactance. A shunt in parallel with the. What Does Ammeter Read.
From beemet.com
What is Ammeter? Uses and benefits Complete Guide on Ammeter What Does Ammeter Read Here are a couple of examples you might find in a school lab: This allows for a very low impedance, the force that opposes electric current, that lets the ammeter accurately measure the current in a circuit without interference or change due to the ammeter itself. Current is the measure of the flow of electricity through a circuit in amperes. What Does Ammeter Read.
From www.thetalearningpoint.com
What is an Ammeter? What Does Ammeter Read This allows for a very low impedance, the force that opposes electric current, that lets the ammeter accurately measure the current in a circuit without interference or change due to the ammeter itself. Ammeters work to measure electrical current by measuring the current through a set of coils with a very low resistance and inductive reactance. An ammeter can measure. What Does Ammeter Read.
From www.numerade.com
SOLVED Question 7 For the circuit shown in the figure, what current What Does Ammeter Read The name is derived from the name for the si unit for electric current, amperes (a). A shunt in parallel with the meter carries the major portion. Ammeter, instrument for measuring either direct (dc) or alternating (ac) electric current, in amperes. An ammeter is defined as a device that measures the electric current in a circuit in amperes. Ammeters work. What Does Ammeter Read.
From www.allaboutcircuits.com
Intro Lab How to Use an Ammeter to Measure Current Basic Projects What Does Ammeter Read An ammeter measures the electric current in a circuit. Ammeters work to measure electrical current by measuring the current through a set of coils with a very low resistance and inductive reactance. An ammeter can measure a wide range of current values because at high values only a small portion of the current is directed through the meter mechanism; Ammeter,. What Does Ammeter Read.
From www.chegg.com
Solved What does the ammeter read? A) 18 (A) B) 0.5 (A) + C) What Does Ammeter Read Current is the measure of the flow of electricity through a circuit in amperes (amps). The name is derived from the name for the si unit for electric current, amperes (a). Here are a couple of examples you might find in a school lab: An ammeter can measure a wide range of current values because at high values only a. What Does Ammeter Read.
From askfilo.com
What does the Ammeter read in the circuit shown in fig. Filo What Does Ammeter Read Ammeters work to measure electrical current by measuring the current through a set of coils with a very low resistance and inductive reactance. An ammeter is defined as a device that measures the electric current in a circuit in amperes. This allows for a very low impedance, the force that opposes electric current, that lets the ammeter accurately measure the. What Does Ammeter Read.
From eduinput.com
What is Ammeter? Function, Specifications, and Temperature Effects What Does Ammeter Read Ammeters work to measure electrical current by measuring the current through a set of coils with a very low resistance and inductive reactance. Here are a couple of examples you might find in a school lab: A shunt in parallel with the meter carries the major portion. The name is derived from the name for the si unit for electric. What Does Ammeter Read.
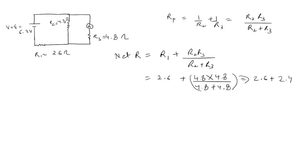
From www.numerade.com
SOLVED (a) In the figure, what does the ammeter read if € = 6.3 V What Does Ammeter Read An ammeter is defined as a device that measures the electric current in a circuit in amperes. Here are a couple of examples you might find in a school lab: This allows for a very low impedance, the force that opposes electric current, that lets the ammeter accurately measure the current in a circuit without interference or change due to. What Does Ammeter Read.
From www.chegg.com
Solved What does the ammeter read? 0.900 A0.100 A0.300 A1.35 What Does Ammeter Read In order for an ammeter to. An ammeter is defined as a device that measures the electric current in a circuit in amperes. An ammeter measures the electric current in a circuit. This allows for a very low impedance, the force that opposes electric current, that lets the ammeter accurately measure the current in a circuit without interference or change. What Does Ammeter Read.
From www.coursehero.com
[Solved] What does A, the ammeter read? The source is a sinusoidal What Does Ammeter Read Here are a couple of examples you might find in a school lab: Ammeter, instrument for measuring either direct (dc) or alternating (ac) electric current, in amperes. An ammeter measures the current through an electrical component. In order for an ammeter to. A shunt in parallel with the meter carries the major portion. An ammeter measures the electric current in. What Does Ammeter Read.
From www.chegg.com
Solved The ammeter shown in the figure below reads 2.80 A. What Does Ammeter Read The name is derived from the name for the si unit for electric current, amperes (a). A shunt in parallel with the meter carries the major portion. An ammeter measures the current through an electrical component. An ammeter is defined as a device that measures the electric current in a circuit in amperes. Current is the measure of the flow. What Does Ammeter Read.
From www.chegg.com
Solved What does the ideal ammeter read for the circuit of What Does Ammeter Read An ammeter measures the electric current in a circuit. The name is derived from the name for the si unit for electric current, amperes (a). Here are a couple of examples you might find in a school lab: An ammeter is defined as a device that measures the electric current in a circuit in amperes. Ammeter, instrument for measuring either. What Does Ammeter Read.
From www.electricity-magnetism.org
What is an ammeter? What Does Ammeter Read Here are a couple of examples you might find in a school lab: A shunt in parallel with the meter carries the major portion. This allows for a very low impedance, the force that opposes electric current, that lets the ammeter accurately measure the current in a circuit without interference or change due to the ammeter itself. Current is the. What Does Ammeter Read.
From www.chegg.com
Solved (a) In the figure what does the ammeter read if ε = What Does Ammeter Read An ammeter measures the current through an electrical component. A shunt in parallel with the meter carries the major portion. Current is the measure of the flow of electricity through a circuit in amperes (amps). Ammeter, instrument for measuring either direct (dc) or alternating (ac) electric current, in amperes. Ammeters work to measure electrical current by measuring the current through. What Does Ammeter Read.
From www.allaboutcircuits.com
Intro Lab How to Use an Ammeter to Measure Current Basic Projects What Does Ammeter Read The name is derived from the name for the si unit for electric current, amperes (a). Ammeters work to measure electrical current by measuring the current through a set of coils with a very low resistance and inductive reactance. This allows for a very low impedance, the force that opposes electric current, that lets the ammeter accurately measure the current. What Does Ammeter Read.
From www.youtube.com
How to Read a Voltmeter Correctly YouTube What Does Ammeter Read Ammeter, instrument for measuring either direct (dc) or alternating (ac) electric current, in amperes. An ammeter measures the electric current in a circuit. Current is the measure of the flow of electricity through a circuit in amperes (amps). A shunt in parallel with the meter carries the major portion. This allows for a very low impedance, the force that opposes. What Does Ammeter Read.
From www.atlearner.com
What is an Ammeter? Symbol, Circuit Diagram, Types and Applications What Does Ammeter Read Here are a couple of examples you might find in a school lab: In order for an ammeter to. A shunt in parallel with the meter carries the major portion. The name is derived from the name for the si unit for electric current, amperes (a). An ammeter measures the current through an electrical component. This allows for a very. What Does Ammeter Read.
From medilabexports.com
Ammeter Medilab Exports Consortium Mettalic Body What Does Ammeter Read A shunt in parallel with the meter carries the major portion. Ammeter, instrument for measuring either direct (dc) or alternating (ac) electric current, in amperes. Ammeters work to measure electrical current by measuring the current through a set of coils with a very low resistance and inductive reactance. In order for an ammeter to. An ammeter measures the current through. What Does Ammeter Read.
From electricalmag.com
What is Ammeter? Working Principle and Types ElectricalMag What Does Ammeter Read A shunt in parallel with the meter carries the major portion. In order for an ammeter to. Ammeter, instrument for measuring either direct (dc) or alternating (ac) electric current, in amperes. Current is the measure of the flow of electricity through a circuit in amperes (amps). This allows for a very low impedance, the force that opposes electric current, that. What Does Ammeter Read.