Can A Us Citizen Acquire Property In The Philippines . However, note that the inheritance must not be made through testate succession or a living will. can a former filipino citizen, balikbayan or ofw buy and register properties under their name? However, the philippines constitution restricts. Yes, a foreigner can inherit property in the philippines. The 1987 philippine constitution grants this authority, particularly in section 7 of article xii on national economy and patrimony. The only exception to this rule is through. can american people buy property in the philippines? a us citizen can buy property, a unit in a condominium building, or a house in the philippines. in general, foreigners are not allowed to own land in the philippines due to protective laws. yes, foreigners can buy property in the philippines. However, there are several limits when it comes to foreign property ownership in the. Do you need to be a local or a permanent resident to buy a property in the philippines?
from mrandmrshowe.com
The only exception to this rule is through. However, the philippines constitution restricts. can american people buy property in the philippines? a us citizen can buy property, a unit in a condominium building, or a house in the philippines. However, note that the inheritance must not be made through testate succession or a living will. can a former filipino citizen, balikbayan or ofw buy and register properties under their name? However, there are several limits when it comes to foreign property ownership in the. in general, foreigners are not allowed to own land in the philippines due to protective laws. yes, foreigners can buy property in the philippines. The 1987 philippine constitution grants this authority, particularly in section 7 of article xii on national economy and patrimony.
How To Reacquire Philippine Citizenship To A Dual Citizen
Can A Us Citizen Acquire Property In The Philippines can american people buy property in the philippines? Do you need to be a local or a permanent resident to buy a property in the philippines? a us citizen can buy property, a unit in a condominium building, or a house in the philippines. However, note that the inheritance must not be made through testate succession or a living will. yes, foreigners can buy property in the philippines. However, there are several limits when it comes to foreign property ownership in the. The only exception to this rule is through. in general, foreigners are not allowed to own land in the philippines due to protective laws. Yes, a foreigner can inherit property in the philippines. The 1987 philippine constitution grants this authority, particularly in section 7 of article xii on national economy and patrimony. can american people buy property in the philippines? can a former filipino citizen, balikbayan or ofw buy and register properties under their name? However, the philippines constitution restricts.
From www.lumina.com.ph
How Can a Foreigner Own a Property in PH Lumina Homes Can A Us Citizen Acquire Property In The Philippines in general, foreigners are not allowed to own land in the philippines due to protective laws. However, the philippines constitution restricts. yes, foreigners can buy property in the philippines. The 1987 philippine constitution grants this authority, particularly in section 7 of article xii on national economy and patrimony. Do you need to be a local or a permanent. Can A Us Citizen Acquire Property In The Philippines.
From www.studocu.com
LOSS AND Reaquisition OF Philippine Citizenship LOSS AND REAQUISITION Can A Us Citizen Acquire Property In The Philippines However, the philippines constitution restricts. The 1987 philippine constitution grants this authority, particularly in section 7 of article xii on national economy and patrimony. Yes, a foreigner can inherit property in the philippines. The only exception to this rule is through. yes, foreigners can buy property in the philippines. can a former filipino citizen, balikbayan or ofw buy. Can A Us Citizen Acquire Property In The Philippines.
From www.scribd.com
How To Acquire Filipino Citizenship Through Judicial Naturalization in Can A Us Citizen Acquire Property In The Philippines Yes, a foreigner can inherit property in the philippines. The only exception to this rule is through. However, there are several limits when it comes to foreign property ownership in the. in general, foreigners are not allowed to own land in the philippines due to protective laws. yes, foreigners can buy property in the philippines. However, the philippines. Can A Us Citizen Acquire Property In The Philippines.
From slideplayer.com
American Imperialism. ppt download Can A Us Citizen Acquire Property In The Philippines The only exception to this rule is through. However, the philippines constitution restricts. However, there are several limits when it comes to foreign property ownership in the. yes, foreigners can buy property in the philippines. can american people buy property in the philippines? Yes, a foreigner can inherit property in the philippines. Do you need to be a. Can A Us Citizen Acquire Property In The Philippines.
From www.youtube.com
How to Apply for Dual Citizenship Philippine Consulate General Can A Us Citizen Acquire Property In The Philippines However, there are several limits when it comes to foreign property ownership in the. The 1987 philippine constitution grants this authority, particularly in section 7 of article xii on national economy and patrimony. a us citizen can buy property, a unit in a condominium building, or a house in the philippines. The only exception to this rule is through.. Can A Us Citizen Acquire Property In The Philippines.
From gallhourlyvirh.blogspot.com
How To Apply For Dual Citizenship Philippines And Canada / Etias And Can A Us Citizen Acquire Property In The Philippines yes, foreigners can buy property in the philippines. However, note that the inheritance must not be made through testate succession or a living will. The 1987 philippine constitution grants this authority, particularly in section 7 of article xii on national economy and patrimony. a us citizen can buy property, a unit in a condominium building, or a house. Can A Us Citizen Acquire Property In The Philippines.
From interestingfactsaboutthephilippines.blogspot.com
Interesting Facts About the Philippines How to Acquire Filipino Can A Us Citizen Acquire Property In The Philippines The 1987 philippine constitution grants this authority, particularly in section 7 of article xii on national economy and patrimony. Do you need to be a local or a permanent resident to buy a property in the philippines? The only exception to this rule is through. However, note that the inheritance must not be made through testate succession or a living. Can A Us Citizen Acquire Property In The Philippines.
From manilashaker.com
What Are the Requirements to Acquire Philippine Dual Citizenship? Can A Us Citizen Acquire Property In The Philippines can american people buy property in the philippines? can a former filipino citizen, balikbayan or ofw buy and register properties under their name? Do you need to be a local or a permanent resident to buy a property in the philippines? However, the philippines constitution restricts. Yes, a foreigner can inherit property in the philippines. yes, foreigners. Can A Us Citizen Acquire Property In The Philippines.
From www.sbs.com.au
What are the pros and cons of dual citizenship? SBS Filipino Can A Us Citizen Acquire Property In The Philippines can american people buy property in the philippines? The 1987 philippine constitution grants this authority, particularly in section 7 of article xii on national economy and patrimony. However, there are several limits when it comes to foreign property ownership in the. However, the philippines constitution restricts. yes, foreigners can buy property in the philippines. Do you need to. Can A Us Citizen Acquire Property In The Philippines.
From pnl-law.com
Land Ownership in the Philippines by NaturalBorn Former Filipinos Can A Us Citizen Acquire Property In The Philippines Do you need to be a local or a permanent resident to buy a property in the philippines? However, note that the inheritance must not be made through testate succession or a living will. Yes, a foreigner can inherit property in the philippines. The only exception to this rule is through. a us citizen can buy property, a unit. Can A Us Citizen Acquire Property In The Philippines.
From www.divinalaw.com
Naturalization, Pathway to Filipino Citizenship DivinaLaw Can A Us Citizen Acquire Property In The Philippines can american people buy property in the philippines? The only exception to this rule is through. can a former filipino citizen, balikbayan or ofw buy and register properties under their name? However, the philippines constitution restricts. The 1987 philippine constitution grants this authority, particularly in section 7 of article xii on national economy and patrimony. in general,. Can A Us Citizen Acquire Property In The Philippines.
From dokumen.tips
(PDF) Residency in the Philippines is not a requirement for those who Can A Us Citizen Acquire Property In The Philippines Do you need to be a local or a permanent resident to buy a property in the philippines? However, the philippines constitution restricts. yes, foreigners can buy property in the philippines. The only exception to this rule is through. a us citizen can buy property, a unit in a condominium building, or a house in the philippines. . Can A Us Citizen Acquire Property In The Philippines.
From lawyerphilippines.org
02 3 Ways to get Philippine Citizenship Lawyers in the Philippines Can A Us Citizen Acquire Property In The Philippines The only exception to this rule is through. a us citizen can buy property, a unit in a condominium building, or a house in the philippines. However, note that the inheritance must not be made through testate succession or a living will. However, there are several limits when it comes to foreign property ownership in the. Yes, a foreigner. Can A Us Citizen Acquire Property In The Philippines.
From www.lumina.com.ph
Advantages of Dual Citizenship in the Philippines Lumina Homes Can A Us Citizen Acquire Property In The Philippines However, there are several limits when it comes to foreign property ownership in the. The 1987 philippine constitution grants this authority, particularly in section 7 of article xii on national economy and patrimony. a us citizen can buy property, a unit in a condominium building, or a house in the philippines. Do you need to be a local or. Can A Us Citizen Acquire Property In The Philippines.
From studymoose.com
Citizenship in the nation Free Essay Sample Can A Us Citizen Acquire Property In The Philippines can a former filipino citizen, balikbayan or ofw buy and register properties under their name? Yes, a foreigner can inherit property in the philippines. a us citizen can buy property, a unit in a condominium building, or a house in the philippines. in general, foreigners are not allowed to own land in the philippines due to protective. Can A Us Citizen Acquire Property In The Philippines.
From www.jbsolis.com
Land Bank of The Philippines List of Properties for Sale This April 2018 Can A Us Citizen Acquire Property In The Philippines The only exception to this rule is through. can american people buy property in the philippines? a us citizen can buy property, a unit in a condominium building, or a house in the philippines. in general, foreigners are not allowed to own land in the philippines due to protective laws. Yes, a foreigner can inherit property in. Can A Us Citizen Acquire Property In The Philippines.
From www.worldatlas.com
Countries That Allow Dual Citizenship WorldAtlas Can A Us Citizen Acquire Property In The Philippines can a former filipino citizen, balikbayan or ofw buy and register properties under their name? However, note that the inheritance must not be made through testate succession or a living will. Yes, a foreigner can inherit property in the philippines. However, there are several limits when it comes to foreign property ownership in the. However, the philippines constitution restricts.. Can A Us Citizen Acquire Property In The Philippines.
From mrandmrshowe.com
How To Reacquire Philippine Citizenship To A Dual Citizen Can A Us Citizen Acquire Property In The Philippines However, the philippines constitution restricts. can american people buy property in the philippines? a us citizen can buy property, a unit in a condominium building, or a house in the philippines. Yes, a foreigner can inherit property in the philippines. However, there are several limits when it comes to foreign property ownership in the. The only exception to. Can A Us Citizen Acquire Property In The Philippines.
From pcgsanfrancisco.org
Dual Citizenship Philippine Consulate General in San Francisco Can A Us Citizen Acquire Property In The Philippines However, the philippines constitution restricts. The 1987 philippine constitution grants this authority, particularly in section 7 of article xii on national economy and patrimony. in general, foreigners are not allowed to own land in the philippines due to protective laws. However, there are several limits when it comes to foreign property ownership in the. a us citizen can. Can A Us Citizen Acquire Property In The Philippines.
From www.youtube.com
PHILIPPINES IS GRANTING FILIPINO CITIZENSHIP! 3 WAYS YOU CAN GET Can A Us Citizen Acquire Property In The Philippines a us citizen can buy property, a unit in a condominium building, or a house in the philippines. Do you need to be a local or a permanent resident to buy a property in the philippines? However, there are several limits when it comes to foreign property ownership in the. However, note that the inheritance must not be made. Can A Us Citizen Acquire Property In The Philippines.
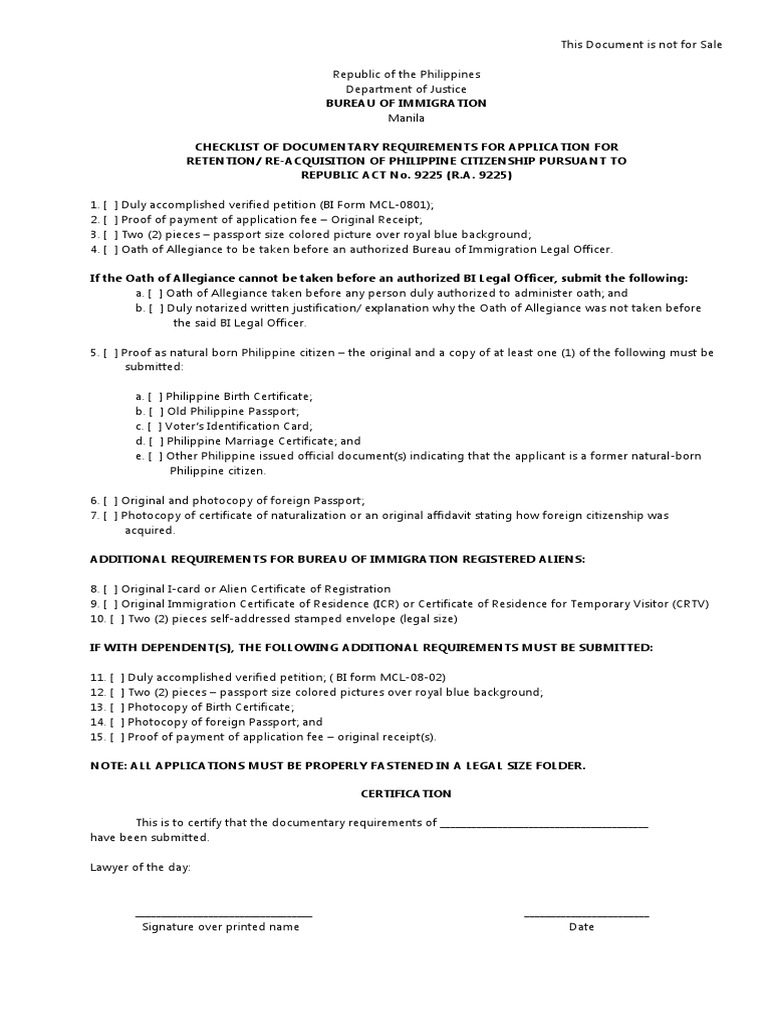
From www.scribd.com
Petition for ReAcquisition and or Retention of Philippine Citizenship Can A Us Citizen Acquire Property In The Philippines However, there are several limits when it comes to foreign property ownership in the. a us citizen can buy property, a unit in a condominium building, or a house in the philippines. in general, foreigners are not allowed to own land in the philippines due to protective laws. Yes, a foreigner can inherit property in the philippines. The. Can A Us Citizen Acquire Property In The Philippines.
From www.studocu.com
1.1 Requisites of Filipino Citizenship NSTP 001CHE11S2 National Can A Us Citizen Acquire Property In The Philippines The only exception to this rule is through. Yes, a foreigner can inherit property in the philippines. However, there are several limits when it comes to foreign property ownership in the. can a former filipino citizen, balikbayan or ofw buy and register properties under their name? can american people buy property in the philippines? Do you need to. Can A Us Citizen Acquire Property In The Philippines.
From polaheadando.blogspot.com
How To Apply For Dual Citizenship Philippines And Canada Philippine Can A Us Citizen Acquire Property In The Philippines a us citizen can buy property, a unit in a condominium building, or a house in the philippines. However, there are several limits when it comes to foreign property ownership in the. can american people buy property in the philippines? However, the philippines constitution restricts. The only exception to this rule is through. can a former filipino. Can A Us Citizen Acquire Property In The Philippines.
From www.youtube.com
3 WAYS YOU CAN A NATURALIZED FILIPINO CITIZEN!!! YouTube Can A Us Citizen Acquire Property In The Philippines Yes, a foreigner can inherit property in the philippines. in general, foreigners are not allowed to own land in the philippines due to protective laws. yes, foreigners can buy property in the philippines. The only exception to this rule is through. However, note that the inheritance must not be made through testate succession or a living will. . Can A Us Citizen Acquire Property In The Philippines.
From everythingzany.com
5 Benefits Of Having Dual Citizenship (Filipino And British) In 2020 Can A Us Citizen Acquire Property In The Philippines in general, foreigners are not allowed to own land in the philippines due to protective laws. can a former filipino citizen, balikbayan or ofw buy and register properties under their name? yes, foreigners can buy property in the philippines. The only exception to this rule is through. Yes, a foreigner can inherit property in the philippines. However,. Can A Us Citizen Acquire Property In The Philippines.
From www.scribd.com
How To Acquire Filipino Citizenship Through Judicial Naturalization in Can A Us Citizen Acquire Property In The Philippines The only exception to this rule is through. Do you need to be a local or a permanent resident to buy a property in the philippines? However, the philippines constitution restricts. The 1987 philippine constitution grants this authority, particularly in section 7 of article xii on national economy and patrimony. in general, foreigners are not allowed to own land. Can A Us Citizen Acquire Property In The Philippines.
From www.hspropertyfunds.com
The Real Estate Investing Acquisition Process How It Works Can A Us Citizen Acquire Property In The Philippines can a former filipino citizen, balikbayan or ofw buy and register properties under their name? Do you need to be a local or a permanent resident to buy a property in the philippines? However, the philippines constitution restricts. yes, foreigners can buy property in the philippines. However, note that the inheritance must not be made through testate succession. Can A Us Citizen Acquire Property In The Philippines.
From everythingzany.com
The Benefits of Having Dual Citizenship (Filipino and British) Can A Us Citizen Acquire Property In The Philippines However, note that the inheritance must not be made through testate succession or a living will. Yes, a foreigner can inherit property in the philippines. can american people buy property in the philippines? However, there are several limits when it comes to foreign property ownership in the. yes, foreigners can buy property in the philippines. However, the philippines. Can A Us Citizen Acquire Property In The Philippines.
From ndvlaw.com
Immigration and Citizenship Law Firm in Metro Manila, Philippines Can A Us Citizen Acquire Property In The Philippines Yes, a foreigner can inherit property in the philippines. Do you need to be a local or a permanent resident to buy a property in the philippines? can a former filipino citizen, balikbayan or ofw buy and register properties under their name? The only exception to this rule is through. can american people buy property in the philippines?. Can A Us Citizen Acquire Property In The Philippines.
From www.facebook.com
Who are eligible to avail PagIBIG Housing Loan? Must be a filipino Can A Us Citizen Acquire Property In The Philippines However, note that the inheritance must not be made through testate succession or a living will. a us citizen can buy property, a unit in a condominium building, or a house in the philippines. Do you need to be a local or a permanent resident to buy a property in the philippines? yes, foreigners can buy property in. Can A Us Citizen Acquire Property In The Philippines.
From www.youtube.com
LOSE your US CITIZENSHIP? Dual CITIZENSHIP, WHO's eligible? RA9225 RE Can A Us Citizen Acquire Property In The Philippines However, note that the inheritance must not be made through testate succession or a living will. yes, foreigners can buy property in the philippines. in general, foreigners are not allowed to own land in the philippines due to protective laws. can a former filipino citizen, balikbayan or ofw buy and register properties under their name? Yes, a. Can A Us Citizen Acquire Property In The Philippines.
From www.lumina.com.ph
Purchasing a “Rights Only" Property in the Philippines Lumina Homes Can A Us Citizen Acquire Property In The Philippines The 1987 philippine constitution grants this authority, particularly in section 7 of article xii on national economy and patrimony. Do you need to be a local or a permanent resident to buy a property in the philippines? a us citizen can buy property, a unit in a condominium building, or a house in the philippines. However, note that the. Can A Us Citizen Acquire Property In The Philippines.
From www.youtube.com
THIS IS THE BEST TIME TO APPLY FOR PHILIPPINE DUAL CITIZENSHIP YouTube Can A Us Citizen Acquire Property In The Philippines The only exception to this rule is through. The 1987 philippine constitution grants this authority, particularly in section 7 of article xii on national economy and patrimony. can a former filipino citizen, balikbayan or ofw buy and register properties under their name? yes, foreigners can buy property in the philippines. However, note that the inheritance must not be. Can A Us Citizen Acquire Property In The Philippines.
From newyorkpcg.org
Dual Citizenship (RA 9225) Philippine Consulate General Can A Us Citizen Acquire Property In The Philippines Do you need to be a local or a permanent resident to buy a property in the philippines? Yes, a foreigner can inherit property in the philippines. However, the philippines constitution restricts. The 1987 philippine constitution grants this authority, particularly in section 7 of article xii on national economy and patrimony. in general, foreigners are not allowed to own. Can A Us Citizen Acquire Property In The Philippines.
From www.youtube.com
FILIPINO DUAL CITIZENSHIP BENEFITS OR ADVANTAGES HOW TO APPLY YouTube Can A Us Citizen Acquire Property In The Philippines a us citizen can buy property, a unit in a condominium building, or a house in the philippines. The only exception to this rule is through. can a former filipino citizen, balikbayan or ofw buy and register properties under their name? However, note that the inheritance must not be made through testate succession or a living will. Yes,. Can A Us Citizen Acquire Property In The Philippines.