Singular Values Of Orthogonal Matrix . What are the singular values of an $n \times n$ square orthogonal matrix? How do we know that the set of all orthogonal matrices is convex? If you have a orthogonal matrix, say $ a \in \mathbb{r}^{nxn}$ how do you find its singular values? Vn be an orthonormal basis of. The singular values of a matrix, by definition, are the square roots of the eigenvalues of $a^ta$. We now explain how to nd a svd of a. A singular value decomposition will have the form \(u\sigma v^t\) where \(u\) and \(v\) are orthogonal and \(\sigma\) is diagonal. Let a be an m n matrix with singular values 1 2 n 0, and let r denote the number of nonzero singular values. An \(m \times n\) real matrix \({\bf a}\) has a singular value decomposition of the form \[{\bf a} = {\bf u} {\bf. If $a$ is orthogonal, then $a^ta = i$.
from www.slideserve.com
Let a be an m n matrix with singular values 1 2 n 0, and let r denote the number of nonzero singular values. We now explain how to nd a svd of a. The singular values of a matrix, by definition, are the square roots of the eigenvalues of $a^ta$. A singular value decomposition will have the form \(u\sigma v^t\) where \(u\) and \(v\) are orthogonal and \(\sigma\) is diagonal. How do we know that the set of all orthogonal matrices is convex? An \(m \times n\) real matrix \({\bf a}\) has a singular value decomposition of the form \[{\bf a} = {\bf u} {\bf. If $a$ is orthogonal, then $a^ta = i$. What are the singular values of an $n \times n$ square orthogonal matrix? If you have a orthogonal matrix, say $ a \in \mathbb{r}^{nxn}$ how do you find its singular values? Vn be an orthonormal basis of.
PPT Calculating the singular values and pseudoinverse of a matrix
Singular Values Of Orthogonal Matrix A singular value decomposition will have the form \(u\sigma v^t\) where \(u\) and \(v\) are orthogonal and \(\sigma\) is diagonal. A singular value decomposition will have the form \(u\sigma v^t\) where \(u\) and \(v\) are orthogonal and \(\sigma\) is diagonal. If you have a orthogonal matrix, say $ a \in \mathbb{r}^{nxn}$ how do you find its singular values? What are the singular values of an $n \times n$ square orthogonal matrix? Vn be an orthonormal basis of. An \(m \times n\) real matrix \({\bf a}\) has a singular value decomposition of the form \[{\bf a} = {\bf u} {\bf. The singular values of a matrix, by definition, are the square roots of the eigenvalues of $a^ta$. Let a be an m n matrix with singular values 1 2 n 0, and let r denote the number of nonzero singular values. If $a$ is orthogonal, then $a^ta = i$. We now explain how to nd a svd of a. How do we know that the set of all orthogonal matrices is convex?
From www.numerade.com
SOLVED Note An orthogonal matrix Is a square matrix of real numbers Singular Values Of Orthogonal Matrix If you have a orthogonal matrix, say $ a \in \mathbb{r}^{nxn}$ how do you find its singular values? A singular value decomposition will have the form \(u\sigma v^t\) where \(u\) and \(v\) are orthogonal and \(\sigma\) is diagonal. An \(m \times n\) real matrix \({\bf a}\) has a singular value decomposition of the form \[{\bf a} = {\bf u} {\bf.. Singular Values Of Orthogonal Matrix.
From tecnobinger.weebly.com
Singular matrix tecnobinger Singular Values Of Orthogonal Matrix Let a be an m n matrix with singular values 1 2 n 0, and let r denote the number of nonzero singular values. The singular values of a matrix, by definition, are the square roots of the eigenvalues of $a^ta$. A singular value decomposition will have the form \(u\sigma v^t\) where \(u\) and \(v\) are orthogonal and \(\sigma\) is. Singular Values Of Orthogonal Matrix.
From www.numerade.com
SOLVEDA is an m ×n matrix with a singular value A=U ΣV^T Singular Values Of Orthogonal Matrix The singular values of a matrix, by definition, are the square roots of the eigenvalues of $a^ta$. A singular value decomposition will have the form \(u\sigma v^t\) where \(u\) and \(v\) are orthogonal and \(\sigma\) is diagonal. What are the singular values of an $n \times n$ square orthogonal matrix? How do we know that the set of all orthogonal. Singular Values Of Orthogonal Matrix.
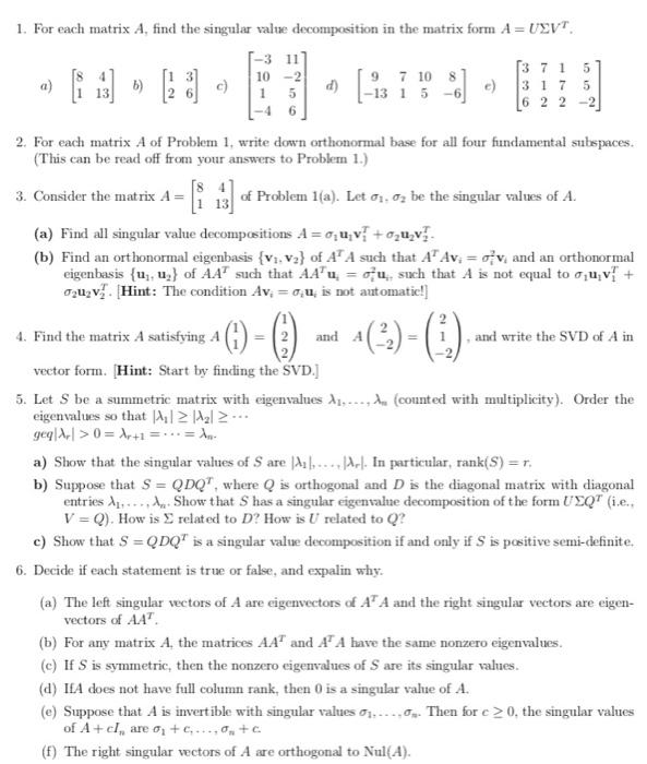
From www.chegg.com
Solved 1. For each matrix A, find the singular value Singular Values Of Orthogonal Matrix A singular value decomposition will have the form \(u\sigma v^t\) where \(u\) and \(v\) are orthogonal and \(\sigma\) is diagonal. How do we know that the set of all orthogonal matrices is convex? Let a be an m n matrix with singular values 1 2 n 0, and let r denote the number of nonzero singular values. If $a$ is. Singular Values Of Orthogonal Matrix.
From www.slideserve.com
PPT Calculating the singular values and pseudoinverse of a matrix Singular Values Of Orthogonal Matrix Vn be an orthonormal basis of. The singular values of a matrix, by definition, are the square roots of the eigenvalues of $a^ta$. Let a be an m n matrix with singular values 1 2 n 0, and let r denote the number of nonzero singular values. What are the singular values of an $n \times n$ square orthogonal matrix?. Singular Values Of Orthogonal Matrix.
From www.chegg.com
Solved Recall that the SVD (singular value of Singular Values Of Orthogonal Matrix An \(m \times n\) real matrix \({\bf a}\) has a singular value decomposition of the form \[{\bf a} = {\bf u} {\bf. A singular value decomposition will have the form \(u\sigma v^t\) where \(u\) and \(v\) are orthogonal and \(\sigma\) is diagonal. Vn be an orthonormal basis of. What are the singular values of an $n \times n$ square orthogonal. Singular Values Of Orthogonal Matrix.
From limfadreams.weebly.com
Orthogonal matrix limfadreams Singular Values Of Orthogonal Matrix If $a$ is orthogonal, then $a^ta = i$. Vn be an orthonormal basis of. What are the singular values of an $n \times n$ square orthogonal matrix? A singular value decomposition will have the form \(u\sigma v^t\) where \(u\) and \(v\) are orthogonal and \(\sigma\) is diagonal. Let a be an m n matrix with singular values 1 2 n. Singular Values Of Orthogonal Matrix.
From study.com
Singular Matrix Definition, Properties & Example Video & Lesson Singular Values Of Orthogonal Matrix If you have a orthogonal matrix, say $ a \in \mathbb{r}^{nxn}$ how do you find its singular values? A singular value decomposition will have the form \(u\sigma v^t\) where \(u\) and \(v\) are orthogonal and \(\sigma\) is diagonal. If $a$ is orthogonal, then $a^ta = i$. Let a be an m n matrix with singular values 1 2 n 0,. Singular Values Of Orthogonal Matrix.
From www.semanticscholar.org
Figure 1 from Orthogonal Matrices and the Singular Value Singular Values Of Orthogonal Matrix How do we know that the set of all orthogonal matrices is convex? Let a be an m n matrix with singular values 1 2 n 0, and let r denote the number of nonzero singular values. What are the singular values of an $n \times n$ square orthogonal matrix? An \(m \times n\) real matrix \({\bf a}\) has a. Singular Values Of Orthogonal Matrix.
From www.chegg.com
Solved Let A be the following matrix. 2 0 27 A = 1 1 1 1 1 Singular Values Of Orthogonal Matrix Vn be an orthonormal basis of. If you have a orthogonal matrix, say $ a \in \mathbb{r}^{nxn}$ how do you find its singular values? We now explain how to nd a svd of a. A singular value decomposition will have the form \(u\sigma v^t\) where \(u\) and \(v\) are orthogonal and \(\sigma\) is diagonal. Let a be an m n. Singular Values Of Orthogonal Matrix.
From www.numerade.com
SOLVED02 Singular Value 5 Points The SVD Singular Values Of Orthogonal Matrix We now explain how to nd a svd of a. Let a be an m n matrix with singular values 1 2 n 0, and let r denote the number of nonzero singular values. An \(m \times n\) real matrix \({\bf a}\) has a singular value decomposition of the form \[{\bf a} = {\bf u} {\bf. What are the singular. Singular Values Of Orthogonal Matrix.
From www.chegg.com
Determine The Singular Value Of The Singular Values Of Orthogonal Matrix How do we know that the set of all orthogonal matrices is convex? Vn be an orthonormal basis of. Let a be an m n matrix with singular values 1 2 n 0, and let r denote the number of nonzero singular values. What are the singular values of an $n \times n$ square orthogonal matrix? A singular value decomposition. Singular Values Of Orthogonal Matrix.
From www.slideserve.com
PPT Singular Value PowerPoint Presentation, free Singular Values Of Orthogonal Matrix A singular value decomposition will have the form \(u\sigma v^t\) where \(u\) and \(v\) are orthogonal and \(\sigma\) is diagonal. We now explain how to nd a svd of a. Vn be an orthonormal basis of. If $a$ is orthogonal, then $a^ta = i$. An \(m \times n\) real matrix \({\bf a}\) has a singular value decomposition of the form. Singular Values Of Orthogonal Matrix.
From www.youtube.com
Singular Matrix Solved Problem Find x value YouTube Singular Values Of Orthogonal Matrix If you have a orthogonal matrix, say $ a \in \mathbb{r}^{nxn}$ how do you find its singular values? Let a be an m n matrix with singular values 1 2 n 0, and let r denote the number of nonzero singular values. An \(m \times n\) real matrix \({\bf a}\) has a singular value decomposition of the form \[{\bf a}. Singular Values Of Orthogonal Matrix.
From math.stackexchange.com
linear algebra Eigenvalues, singular values, and the angles between Singular Values Of Orthogonal Matrix Vn be an orthonormal basis of. If $a$ is orthogonal, then $a^ta = i$. How do we know that the set of all orthogonal matrices is convex? Let a be an m n matrix with singular values 1 2 n 0, and let r denote the number of nonzero singular values. What are the singular values of an $n \times. Singular Values Of Orthogonal Matrix.
From www.slideserve.com
PPT Calculating the singular values and pseudoinverse of a matrix Singular Values Of Orthogonal Matrix We now explain how to nd a svd of a. The singular values of a matrix, by definition, are the square roots of the eigenvalues of $a^ta$. A singular value decomposition will have the form \(u\sigma v^t\) where \(u\) and \(v\) are orthogonal and \(\sigma\) is diagonal. If $a$ is orthogonal, then $a^ta = i$. If you have a orthogonal. Singular Values Of Orthogonal Matrix.
From www.slideserve.com
PPT Calculating the singular values and pseudoinverse of a matrix Singular Values Of Orthogonal Matrix We now explain how to nd a svd of a. What are the singular values of an $n \times n$ square orthogonal matrix? The singular values of a matrix, by definition, are the square roots of the eigenvalues of $a^ta$. If $a$ is orthogonal, then $a^ta = i$. Let a be an m n matrix with singular values 1 2. Singular Values Of Orthogonal Matrix.
From www.slideserve.com
PPT Calculating the singular values and pseudoinverse of a matrix Singular Values Of Orthogonal Matrix If $a$ is orthogonal, then $a^ta = i$. An \(m \times n\) real matrix \({\bf a}\) has a singular value decomposition of the form \[{\bf a} = {\bf u} {\bf. If you have a orthogonal matrix, say $ a \in \mathbb{r}^{nxn}$ how do you find its singular values? We now explain how to nd a svd of a. How do. Singular Values Of Orthogonal Matrix.
From www.numerade.com
SOLVED(a) Suppose that A is an orthogonal matrix. What are its Singular Values Of Orthogonal Matrix An \(m \times n\) real matrix \({\bf a}\) has a singular value decomposition of the form \[{\bf a} = {\bf u} {\bf. How do we know that the set of all orthogonal matrices is convex? If you have a orthogonal matrix, say $ a \in \mathbb{r}^{nxn}$ how do you find its singular values? Let a be an m n matrix. Singular Values Of Orthogonal Matrix.
From www.math3ma.com
Understanding Entanglement With SVD Singular Values Of Orthogonal Matrix We now explain how to nd a svd of a. The singular values of a matrix, by definition, are the square roots of the eigenvalues of $a^ta$. Vn be an orthonormal basis of. Let a be an m n matrix with singular values 1 2 n 0, and let r denote the number of nonzero singular values. A singular value. Singular Values Of Orthogonal Matrix.
From www.youtube.com
Orthogonal Matrix Definition Example Properties Class 12 Maths YouTube Singular Values Of Orthogonal Matrix What are the singular values of an $n \times n$ square orthogonal matrix? A singular value decomposition will have the form \(u\sigma v^t\) where \(u\) and \(v\) are orthogonal and \(\sigma\) is diagonal. If you have a orthogonal matrix, say $ a \in \mathbb{r}^{nxn}$ how do you find its singular values? An \(m \times n\) real matrix \({\bf a}\) has. Singular Values Of Orthogonal Matrix.
From docslib.org
Orthogonal Matrices and the Singular Value DocsLib Singular Values Of Orthogonal Matrix We now explain how to nd a svd of a. Let a be an m n matrix with singular values 1 2 n 0, and let r denote the number of nonzero singular values. How do we know that the set of all orthogonal matrices is convex? The singular values of a matrix, by definition, are the square roots of. Singular Values Of Orthogonal Matrix.
From www.youtube.com
How to calculate the singular values of a matrix YouTube Singular Values Of Orthogonal Matrix If you have a orthogonal matrix, say $ a \in \mathbb{r}^{nxn}$ how do you find its singular values? Let a be an m n matrix with singular values 1 2 n 0, and let r denote the number of nonzero singular values. A singular value decomposition will have the form \(u\sigma v^t\) where \(u\) and \(v\) are orthogonal and \(\sigma\). Singular Values Of Orthogonal Matrix.
From slideplayer.com
Lecture 13 Singular Value (SVD) ppt download Singular Values Of Orthogonal Matrix What are the singular values of an $n \times n$ square orthogonal matrix? The singular values of a matrix, by definition, are the square roots of the eigenvalues of $a^ta$. Vn be an orthonormal basis of. If you have a orthogonal matrix, say $ a \in \mathbb{r}^{nxn}$ how do you find its singular values? How do we know that the. Singular Values Of Orthogonal Matrix.
From www.slideserve.com
PPT Matrices PowerPoint Presentation, free download ID1087200 Singular Values Of Orthogonal Matrix How do we know that the set of all orthogonal matrices is convex? An \(m \times n\) real matrix \({\bf a}\) has a singular value decomposition of the form \[{\bf a} = {\bf u} {\bf. A singular value decomposition will have the form \(u\sigma v^t\) where \(u\) and \(v\) are orthogonal and \(\sigma\) is diagonal. The singular values of a. Singular Values Of Orthogonal Matrix.
From www.slideserve.com
PPT Singular Value PowerPoint Presentation, free Singular Values Of Orthogonal Matrix If you have a orthogonal matrix, say $ a \in \mathbb{r}^{nxn}$ how do you find its singular values? Vn be an orthonormal basis of. A singular value decomposition will have the form \(u\sigma v^t\) where \(u\) and \(v\) are orthogonal and \(\sigma\) is diagonal. The singular values of a matrix, by definition, are the square roots of the eigenvalues of. Singular Values Of Orthogonal Matrix.
From www.chegg.com
2. Compute the SingularValue of each Singular Values Of Orthogonal Matrix How do we know that the set of all orthogonal matrices is convex? If $a$ is orthogonal, then $a^ta = i$. Let a be an m n matrix with singular values 1 2 n 0, and let r denote the number of nonzero singular values. What are the singular values of an $n \times n$ square orthogonal matrix? Vn be. Singular Values Of Orthogonal Matrix.
From byjus.com
Singular Value Singular Value of Matrix Singular Values Of Orthogonal Matrix Vn be an orthonormal basis of. What are the singular values of an $n \times n$ square orthogonal matrix? The singular values of a matrix, by definition, are the square roots of the eigenvalues of $a^ta$. An \(m \times n\) real matrix \({\bf a}\) has a singular value decomposition of the form \[{\bf a} = {\bf u} {\bf. A singular. Singular Values Of Orthogonal Matrix.
From www.youtube.com
singular matrix Easy YouTube Singular Values Of Orthogonal Matrix Vn be an orthonormal basis of. If $a$ is orthogonal, then $a^ta = i$. An \(m \times n\) real matrix \({\bf a}\) has a singular value decomposition of the form \[{\bf a} = {\bf u} {\bf. How do we know that the set of all orthogonal matrices is convex? We now explain how to nd a svd of a. A. Singular Values Of Orthogonal Matrix.
From www.slideserve.com
PPT Calculating the singular values and pseudoinverse of a matrix Singular Values Of Orthogonal Matrix Let a be an m n matrix with singular values 1 2 n 0, and let r denote the number of nonzero singular values. If $a$ is orthogonal, then $a^ta = i$. A singular value decomposition will have the form \(u\sigma v^t\) where \(u\) and \(v\) are orthogonal and \(\sigma\) is diagonal. How do we know that the set of. Singular Values Of Orthogonal Matrix.
From www.slideserve.com
PPT Calculating the singular values and pseudoinverse of a matrix Singular Values Of Orthogonal Matrix Let a be an m n matrix with singular values 1 2 n 0, and let r denote the number of nonzero singular values. How do we know that the set of all orthogonal matrices is convex? An \(m \times n\) real matrix \({\bf a}\) has a singular value decomposition of the form \[{\bf a} = {\bf u} {\bf. Vn. Singular Values Of Orthogonal Matrix.
From www.bartleby.com
Answered Consider the matrix 1 A = 1 1 v2] (a)… bartleby Singular Values Of Orthogonal Matrix The singular values of a matrix, by definition, are the square roots of the eigenvalues of $a^ta$. An \(m \times n\) real matrix \({\bf a}\) has a singular value decomposition of the form \[{\bf a} = {\bf u} {\bf. Vn be an orthonormal basis of. If $a$ is orthogonal, then $a^ta = i$. If you have a orthogonal matrix, say. Singular Values Of Orthogonal Matrix.
From byjus.com
Singular Value Singular Value of Matrix Singular Values Of Orthogonal Matrix An \(m \times n\) real matrix \({\bf a}\) has a singular value decomposition of the form \[{\bf a} = {\bf u} {\bf. Let a be an m n matrix with singular values 1 2 n 0, and let r denote the number of nonzero singular values. If you have a orthogonal matrix, say $ a \in \mathbb{r}^{nxn}$ how do you. Singular Values Of Orthogonal Matrix.
From medium.com
[Linear Algebra] 9. Properties of orthogonal matrices by jun94 jun Singular Values Of Orthogonal Matrix The singular values of a matrix, by definition, are the square roots of the eigenvalues of $a^ta$. An \(m \times n\) real matrix \({\bf a}\) has a singular value decomposition of the form \[{\bf a} = {\bf u} {\bf. Vn be an orthonormal basis of. How do we know that the set of all orthogonal matrices is convex? A singular. Singular Values Of Orthogonal Matrix.
From www.numerade.com
SOLVEDA is an m ×n matrix with a singular value A=U ΣV^T Singular Values Of Orthogonal Matrix An \(m \times n\) real matrix \({\bf a}\) has a singular value decomposition of the form \[{\bf a} = {\bf u} {\bf. Let a be an m n matrix with singular values 1 2 n 0, and let r denote the number of nonzero singular values. If you have a orthogonal matrix, say $ a \in \mathbb{r}^{nxn}$ how do you. Singular Values Of Orthogonal Matrix.