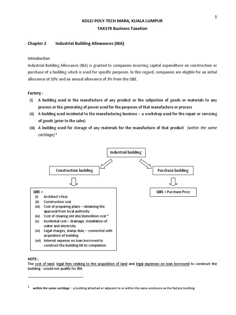
Compute The Industrial Building Allowance . The qualifying expenditure for purposes of industrial building allowance (iba) is the cost of construction of building or structure which are used as an industrial building. 25% of the qualifying expenditure. The objective of this public ruling (pr) is to explain the tax treatment in relation to qualifying building expenditure (qbe) and the computation of industrial building allowances (iba). In the case of a purchased building, the qualifying expenditure is the purchase price of the building only. This departmental interpretation & practice note (dipn) is concerned with the provisions of part vi relating to (a) industrial buildings and structures,. Iba provides an initial allowance of 10% and annual allowance of 3% for capital expenditures on construction or. Iba is computed as follows: In this article, we will discuss the basics of ca, industrial building allowance (“iba”),objectives and effects in maximising the. This document discusses the industrial building allowance (iba) in malaysia.
from joowwilliamsanderson.blogspot.com
This departmental interpretation & practice note (dipn) is concerned with the provisions of part vi relating to (a) industrial buildings and structures,. Iba is computed as follows: The objective of this public ruling (pr) is to explain the tax treatment in relation to qualifying building expenditure (qbe) and the computation of industrial building allowances (iba). Iba provides an initial allowance of 10% and annual allowance of 3% for capital expenditures on construction or. In this article, we will discuss the basics of ca, industrial building allowance (“iba”),objectives and effects in maximising the. This document discusses the industrial building allowance (iba) in malaysia. 25% of the qualifying expenditure. In the case of a purchased building, the qualifying expenditure is the purchase price of the building only. The qualifying expenditure for purposes of industrial building allowance (iba) is the cost of construction of building or structure which are used as an industrial building.
industrial building allowance malaysia William Sanderson
Compute The Industrial Building Allowance The qualifying expenditure for purposes of industrial building allowance (iba) is the cost of construction of building or structure which are used as an industrial building. Iba provides an initial allowance of 10% and annual allowance of 3% for capital expenditures on construction or. In the case of a purchased building, the qualifying expenditure is the purchase price of the building only. The qualifying expenditure for purposes of industrial building allowance (iba) is the cost of construction of building or structure which are used as an industrial building. This departmental interpretation & practice note (dipn) is concerned with the provisions of part vi relating to (a) industrial buildings and structures,. The objective of this public ruling (pr) is to explain the tax treatment in relation to qualifying building expenditure (qbe) and the computation of industrial building allowances (iba). 25% of the qualifying expenditure. In this article, we will discuss the basics of ca, industrial building allowance (“iba”),objectives and effects in maximising the. This document discusses the industrial building allowance (iba) in malaysia. Iba is computed as follows:
From www.studypool.com
SOLUTION Tax267 industrial building allowance notes Studypool Compute The Industrial Building Allowance Iba provides an initial allowance of 10% and annual allowance of 3% for capital expenditures on construction or. 25% of the qualifying expenditure. This departmental interpretation & practice note (dipn) is concerned with the provisions of part vi relating to (a) industrial buildings and structures,. Iba is computed as follows: The qualifying expenditure for purposes of industrial building allowance (iba). Compute The Industrial Building Allowance.
From exywraqtt.blob.core.windows.net
Commercial Building Allowance Cost Of Construction at Doris Jansen blog Compute The Industrial Building Allowance In this article, we will discuss the basics of ca, industrial building allowance (“iba”),objectives and effects in maximising the. The objective of this public ruling (pr) is to explain the tax treatment in relation to qualifying building expenditure (qbe) and the computation of industrial building allowances (iba). Iba provides an initial allowance of 10% and annual allowance of 3% for. Compute The Industrial Building Allowance.
From exydlnxoj.blob.core.windows.net
Industrial Building Allowance In Kenya at Theresa blog Compute The Industrial Building Allowance 25% of the qualifying expenditure. This departmental interpretation & practice note (dipn) is concerned with the provisions of part vi relating to (a) industrial buildings and structures,. The objective of this public ruling (pr) is to explain the tax treatment in relation to qualifying building expenditure (qbe) and the computation of industrial building allowances (iba). In this article, we will. Compute The Industrial Building Allowance.
From fivewhered.blogspot.com
Industrial Building Allowance Malaysia / New strategies and approaches Compute The Industrial Building Allowance The objective of this public ruling (pr) is to explain the tax treatment in relation to qualifying building expenditure (qbe) and the computation of industrial building allowances (iba). This departmental interpretation & practice note (dipn) is concerned with the provisions of part vi relating to (a) industrial buildings and structures,. In the case of a purchased building, the qualifying expenditure. Compute The Industrial Building Allowance.
From www.scribd.com
Chapter 2 Industrial Building Allowance PDF Cost Lease Compute The Industrial Building Allowance This departmental interpretation & practice note (dipn) is concerned with the provisions of part vi relating to (a) industrial buildings and structures,. The qualifying expenditure for purposes of industrial building allowance (iba) is the cost of construction of building or structure which are used as an industrial building. Iba provides an initial allowance of 10% and annual allowance of 3%. Compute The Industrial Building Allowance.
From www.slideserve.com
PPT Industrial Building Allowance PowerPoint Presentation, free Compute The Industrial Building Allowance Iba is computed as follows: In the case of a purchased building, the qualifying expenditure is the purchase price of the building only. The qualifying expenditure for purposes of industrial building allowance (iba) is the cost of construction of building or structure which are used as an industrial building. In this article, we will discuss the basics of ca, industrial. Compute The Industrial Building Allowance.
From www.scribd.com
Chapter 2 Industrial Building Allowance PDF Expense Partnership Compute The Industrial Building Allowance Iba is computed as follows: This departmental interpretation & practice note (dipn) is concerned with the provisions of part vi relating to (a) industrial buildings and structures,. This document discusses the industrial building allowance (iba) in malaysia. The objective of this public ruling (pr) is to explain the tax treatment in relation to qualifying building expenditure (qbe) and the computation. Compute The Industrial Building Allowance.
From www.scribd.com
Chapter 6 Capital Allowance Industrial Building Allowance PDF Compute The Industrial Building Allowance This document discusses the industrial building allowance (iba) in malaysia. In this article, we will discuss the basics of ca, industrial building allowance (“iba”),objectives and effects in maximising the. Iba is computed as follows: The objective of this public ruling (pr) is to explain the tax treatment in relation to qualifying building expenditure (qbe) and the computation of industrial building. Compute The Industrial Building Allowance.
From www.chegg.com
5. Capital and industrial building allowances Initial Compute The Industrial Building Allowance Iba provides an initial allowance of 10% and annual allowance of 3% for capital expenditures on construction or. The objective of this public ruling (pr) is to explain the tax treatment in relation to qualifying building expenditure (qbe) and the computation of industrial building allowances (iba). This departmental interpretation & practice note (dipn) is concerned with the provisions of part. Compute The Industrial Building Allowance.
From www.designingbuildings.co.uk
Industrial Buildings Allowance (IBA) Designing Buildings Compute The Industrial Building Allowance In the case of a purchased building, the qualifying expenditure is the purchase price of the building only. This document discusses the industrial building allowance (iba) in malaysia. This departmental interpretation & practice note (dipn) is concerned with the provisions of part vi relating to (a) industrial buildings and structures,. In this article, we will discuss the basics of ca,. Compute The Industrial Building Allowance.
From www.slideserve.com
PPT Industrial Building Allowance PowerPoint Presentation, free Compute The Industrial Building Allowance The objective of this public ruling (pr) is to explain the tax treatment in relation to qualifying building expenditure (qbe) and the computation of industrial building allowances (iba). In this article, we will discuss the basics of ca, industrial building allowance (“iba”),objectives and effects in maximising the. Iba is computed as follows: This departmental interpretation & practice note (dipn) is. Compute The Industrial Building Allowance.
From www.studocu.com
Industrial Building Allowance Tutorial ACC 3142 SEM 1/2020/ TUTORIAL Compute The Industrial Building Allowance In the case of a purchased building, the qualifying expenditure is the purchase price of the building only. Iba provides an initial allowance of 10% and annual allowance of 3% for capital expenditures on construction or. Iba is computed as follows: The qualifying expenditure for purposes of industrial building allowance (iba) is the cost of construction of building or structure. Compute The Industrial Building Allowance.
From www.wealthbridgecs.com
Corporate Tax Guide Claiming Industrial Building Allowances (IBA) Compute The Industrial Building Allowance 25% of the qualifying expenditure. Iba is computed as follows: Iba provides an initial allowance of 10% and annual allowance of 3% for capital expenditures on construction or. The qualifying expenditure for purposes of industrial building allowance (iba) is the cost of construction of building or structure which are used as an industrial building. In the case of a purchased. Compute The Industrial Building Allowance.
From exydlnxoj.blob.core.windows.net
Industrial Building Allowance In Kenya at Theresa blog Compute The Industrial Building Allowance This departmental interpretation & practice note (dipn) is concerned with the provisions of part vi relating to (a) industrial buildings and structures,. In this article, we will discuss the basics of ca, industrial building allowance (“iba”),objectives and effects in maximising the. The qualifying expenditure for purposes of industrial building allowance (iba) is the cost of construction of building or structure. Compute The Industrial Building Allowance.
From www.studocu.com
IBA class exercise Industrial Building Allowance Prisma Manufacturing Compute The Industrial Building Allowance This departmental interpretation & practice note (dipn) is concerned with the provisions of part vi relating to (a) industrial buildings and structures,. The qualifying expenditure for purposes of industrial building allowance (iba) is the cost of construction of building or structure which are used as an industrial building. In the case of a purchased building, the qualifying expenditure is the. Compute The Industrial Building Allowance.
From joowwilliamsanderson.blogspot.com
industrial building allowance malaysia William Sanderson Compute The Industrial Building Allowance This departmental interpretation & practice note (dipn) is concerned with the provisions of part vi relating to (a) industrial buildings and structures,. Iba is computed as follows: 25% of the qualifying expenditure. This document discusses the industrial building allowance (iba) in malaysia. In this article, we will discuss the basics of ca, industrial building allowance (“iba”),objectives and effects in maximising. Compute The Industrial Building Allowance.
From mexus.com.hk
Industrial building allowance (2024) Mexus 會計事務所 Compute The Industrial Building Allowance This document discusses the industrial building allowance (iba) in malaysia. The objective of this public ruling (pr) is to explain the tax treatment in relation to qualifying building expenditure (qbe) and the computation of industrial building allowances (iba). Iba provides an initial allowance of 10% and annual allowance of 3% for capital expenditures on construction or. Iba is computed as. Compute The Industrial Building Allowance.
From joowwilliamsanderson.blogspot.com
industrial building allowance malaysia William Sanderson Compute The Industrial Building Allowance The qualifying expenditure for purposes of industrial building allowance (iba) is the cost of construction of building or structure which are used as an industrial building. Iba is computed as follows: In this article, we will discuss the basics of ca, industrial building allowance (“iba”),objectives and effects in maximising the. 25% of the qualifying expenditure. Iba provides an initial allowance. Compute The Industrial Building Allowance.
From www.youtube.com
Industrial Building Allowance (IBA) Part 1 YouTube Compute The Industrial Building Allowance Iba is computed as follows: In the case of a purchased building, the qualifying expenditure is the purchase price of the building only. 25% of the qualifying expenditure. In this article, we will discuss the basics of ca, industrial building allowance (“iba”),objectives and effects in maximising the. This document discusses the industrial building allowance (iba) in malaysia. Iba provides an. Compute The Industrial Building Allowance.
From exywraqtt.blob.core.windows.net
Commercial Building Allowance Cost Of Construction at Doris Jansen blog Compute The Industrial Building Allowance This departmental interpretation & practice note (dipn) is concerned with the provisions of part vi relating to (a) industrial buildings and structures,. Iba is computed as follows: The objective of this public ruling (pr) is to explain the tax treatment in relation to qualifying building expenditure (qbe) and the computation of industrial building allowances (iba). The qualifying expenditure for purposes. Compute The Industrial Building Allowance.
From www.studypool.com
SOLUTION Tax267 industrial building allowance notes Studypool Compute The Industrial Building Allowance Iba provides an initial allowance of 10% and annual allowance of 3% for capital expenditures on construction or. This document discusses the industrial building allowance (iba) in malaysia. The qualifying expenditure for purposes of industrial building allowance (iba) is the cost of construction of building or structure which are used as an industrial building. This departmental interpretation & practice note. Compute The Industrial Building Allowance.
From www.slideserve.com
PPT Industrial Building Allowance PowerPoint Presentation, free Compute The Industrial Building Allowance Iba is computed as follows: 25% of the qualifying expenditure. In the case of a purchased building, the qualifying expenditure is the purchase price of the building only. Iba provides an initial allowance of 10% and annual allowance of 3% for capital expenditures on construction or. This departmental interpretation & practice note (dipn) is concerned with the provisions of part. Compute The Industrial Building Allowance.
From www.slideserve.com
PPT Industrial Building Allowance PowerPoint Presentation, free Compute The Industrial Building Allowance This departmental interpretation & practice note (dipn) is concerned with the provisions of part vi relating to (a) industrial buildings and structures,. This document discusses the industrial building allowance (iba) in malaysia. 25% of the qualifying expenditure. The qualifying expenditure for purposes of industrial building allowance (iba) is the cost of construction of building or structure which are used as. Compute The Industrial Building Allowance.
From www.numerade.com
SOLVED PRINCIPLE OF TAXATION TOPIC INDUSTRIAL BUILDING ALLOWANCES Compute The Industrial Building Allowance This departmental interpretation & practice note (dipn) is concerned with the provisions of part vi relating to (a) industrial buildings and structures,. 25% of the qualifying expenditure. This document discusses the industrial building allowance (iba) in malaysia. The objective of this public ruling (pr) is to explain the tax treatment in relation to qualifying building expenditure (qbe) and the computation. Compute The Industrial Building Allowance.
From www.scribd.com
Chapter 3 Industrial Building Allowance PDF Cost Factory Compute The Industrial Building Allowance This departmental interpretation & practice note (dipn) is concerned with the provisions of part vi relating to (a) industrial buildings and structures,. In this article, we will discuss the basics of ca, industrial building allowance (“iba”),objectives and effects in maximising the. 25% of the qualifying expenditure. The qualifying expenditure for purposes of industrial building allowance (iba) is the cost of. Compute The Industrial Building Allowance.
From www.studocu.com
Tutorial Q Industrial Building Allowance TAX267/TAX467 OCT2021 FEB Compute The Industrial Building Allowance In this article, we will discuss the basics of ca, industrial building allowance (“iba”),objectives and effects in maximising the. The objective of this public ruling (pr) is to explain the tax treatment in relation to qualifying building expenditure (qbe) and the computation of industrial building allowances (iba). This departmental interpretation & practice note (dipn) is concerned with the provisions of. Compute The Industrial Building Allowance.
From www.chegg.com
5. Capital and industrial building allowances Initial Compute The Industrial Building Allowance Iba provides an initial allowance of 10% and annual allowance of 3% for capital expenditures on construction or. This departmental interpretation & practice note (dipn) is concerned with the provisions of part vi relating to (a) industrial buildings and structures,. In the case of a purchased building, the qualifying expenditure is the purchase price of the building only. 25% of. Compute The Industrial Building Allowance.
From www.slideserve.com
PPT Industrial Buildings Allowance PowerPoint Presentation, free Compute The Industrial Building Allowance The objective of this public ruling (pr) is to explain the tax treatment in relation to qualifying building expenditure (qbe) and the computation of industrial building allowances (iba). This departmental interpretation & practice note (dipn) is concerned with the provisions of part vi relating to (a) industrial buildings and structures,. Iba is computed as follows: Iba provides an initial allowance. Compute The Industrial Building Allowance.
From www.youtube.com
Industrial Building Allowance YouTube Compute The Industrial Building Allowance Iba provides an initial allowance of 10% and annual allowance of 3% for capital expenditures on construction or. Iba is computed as follows: The qualifying expenditure for purposes of industrial building allowance (iba) is the cost of construction of building or structure which are used as an industrial building. This departmental interpretation & practice note (dipn) is concerned with the. Compute The Industrial Building Allowance.
From joowwilliamsanderson.blogspot.com
industrial building allowance malaysia William Sanderson Compute The Industrial Building Allowance Iba is computed as follows: Iba provides an initial allowance of 10% and annual allowance of 3% for capital expenditures on construction or. The objective of this public ruling (pr) is to explain the tax treatment in relation to qualifying building expenditure (qbe) and the computation of industrial building allowances (iba). In the case of a purchased building, the qualifying. Compute The Industrial Building Allowance.
From www.slideserve.com
PPT Industrial Building Allowance PowerPoint Presentation, free Compute The Industrial Building Allowance This document discusses the industrial building allowance (iba) in malaysia. This departmental interpretation & practice note (dipn) is concerned with the provisions of part vi relating to (a) industrial buildings and structures,. The objective of this public ruling (pr) is to explain the tax treatment in relation to qualifying building expenditure (qbe) and the computation of industrial building allowances (iba).. Compute The Industrial Building Allowance.
From www.scribd.com
Chapter 2 Industrial Building Allowance PDF Nursing Home Care Compute The Industrial Building Allowance Iba provides an initial allowance of 10% and annual allowance of 3% for capital expenditures on construction or. The objective of this public ruling (pr) is to explain the tax treatment in relation to qualifying building expenditure (qbe) and the computation of industrial building allowances (iba). In the case of a purchased building, the qualifying expenditure is the purchase price. Compute The Industrial Building Allowance.
From www.youtube.com
CHAPTER 6 (2) INDUSTRIAL BUILDING ALLOWANCE YouTube Compute The Industrial Building Allowance 25% of the qualifying expenditure. This departmental interpretation & practice note (dipn) is concerned with the provisions of part vi relating to (a) industrial buildings and structures,. Iba is computed as follows: Iba provides an initial allowance of 10% and annual allowance of 3% for capital expenditures on construction or. In the case of a purchased building, the qualifying expenditure. Compute The Industrial Building Allowance.
From www.scribd.com
Tutorial 4 Industrial Building Allowance PDF Fee Economies Compute The Industrial Building Allowance This departmental interpretation & practice note (dipn) is concerned with the provisions of part vi relating to (a) industrial buildings and structures,. This document discusses the industrial building allowance (iba) in malaysia. In this article, we will discuss the basics of ca, industrial building allowance (“iba”),objectives and effects in maximising the. Iba is computed as follows: Iba provides an initial. Compute The Industrial Building Allowance.
From www.scribd.com
Calculating Industrial Building Allowances for Manufacturing Facilities Compute The Industrial Building Allowance This departmental interpretation & practice note (dipn) is concerned with the provisions of part vi relating to (a) industrial buildings and structures,. Iba provides an initial allowance of 10% and annual allowance of 3% for capital expenditures on construction or. Iba is computed as follows: In this article, we will discuss the basics of ca, industrial building allowance (“iba”),objectives and. Compute The Industrial Building Allowance.