What Is Consignment Liquor . Consignment sales, or sales which are predicated on an obligation to pay a supplier for goods only once goods are sold, are strictly prohibited in the alcoholic. There are convenient (and legal) options for wine investors looking to profit from their bottles. Consignment extends to “trade buyers” (defined as wholesalers and retailers) and now (according to the ttb) governs activity between. Acker charges a 3 percent handling fee, based off of the high estimate, for inventory inspection and cataloging, and shipping is the responsibility of the consignor. Consignment is a business arrangement wherein goods are left in the possession of another party, who sell the goods and keep a percentage of the sale. Consignment sales are arrangements wherein the trade buyer is under no obligation to pay for distilled spirits, wine, or malt beverages until they are sold. In this guide, you’ll learn the simplest and most reliable way to sell wine from home so you can.
from jamaicaclassifiedonline.com
Consignment sales, or sales which are predicated on an obligation to pay a supplier for goods only once goods are sold, are strictly prohibited in the alcoholic. Consignment sales are arrangements wherein the trade buyer is under no obligation to pay for distilled spirits, wine, or malt beverages until they are sold. Acker charges a 3 percent handling fee, based off of the high estimate, for inventory inspection and cataloging, and shipping is the responsibility of the consignor. Consignment is a business arrangement wherein goods are left in the possession of another party, who sell the goods and keep a percentage of the sale. There are convenient (and legal) options for wine investors looking to profit from their bottles. In this guide, you’ll learn the simplest and most reliable way to sell wine from home so you can. Consignment extends to “trade buyers” (defined as wholesalers and retailers) and now (according to the ttb) governs activity between.
For Sale Mobsta Liquor And Beverages Consignment Service Kingston
What Is Consignment Liquor Consignment extends to “trade buyers” (defined as wholesalers and retailers) and now (according to the ttb) governs activity between. In this guide, you’ll learn the simplest and most reliable way to sell wine from home so you can. Consignment sales, or sales which are predicated on an obligation to pay a supplier for goods only once goods are sold, are strictly prohibited in the alcoholic. Acker charges a 3 percent handling fee, based off of the high estimate, for inventory inspection and cataloging, and shipping is the responsibility of the consignor. Consignment sales are arrangements wherein the trade buyer is under no obligation to pay for distilled spirits, wine, or malt beverages until they are sold. Consignment is a business arrangement wherein goods are left in the possession of another party, who sell the goods and keep a percentage of the sale. Consignment extends to “trade buyers” (defined as wholesalers and retailers) and now (according to the ttb) governs activity between. There are convenient (and legal) options for wine investors looking to profit from their bottles.
From www.youtube.com
Types of Liquor Bartending School YouTube What Is Consignment Liquor Consignment sales are arrangements wherein the trade buyer is under no obligation to pay for distilled spirits, wine, or malt beverages until they are sold. Acker charges a 3 percent handling fee, based off of the high estimate, for inventory inspection and cataloging, and shipping is the responsibility of the consignor. Consignment extends to “trade buyers” (defined as wholesalers and. What Is Consignment Liquor.
From eliquorfranchise.co.za
About the Building eLiquor Franchise Liquor License Application What Is Consignment Liquor Consignment sales, or sales which are predicated on an obligation to pay a supplier for goods only once goods are sold, are strictly prohibited in the alcoholic. Consignment sales are arrangements wherein the trade buyer is under no obligation to pay for distilled spirits, wine, or malt beverages until they are sold. Acker charges a 3 percent handling fee, based. What Is Consignment Liquor.
From jamaicaclassifiedonline.com
For Sale Mobsta Liquor And Beverages Consignment Service Kingston What Is Consignment Liquor In this guide, you’ll learn the simplest and most reliable way to sell wine from home so you can. Consignment sales, or sales which are predicated on an obligation to pay a supplier for goods only once goods are sold, are strictly prohibited in the alcoholic. Consignment sales are arrangements wherein the trade buyer is under no obligation to pay. What Is Consignment Liquor.
From sugarrimandspice.com
The Six Categories Of Liquor Sugar Rim & Spice What Is Consignment Liquor Acker charges a 3 percent handling fee, based off of the high estimate, for inventory inspection and cataloging, and shipping is the responsibility of the consignor. There are convenient (and legal) options for wine investors looking to profit from their bottles. Consignment extends to “trade buyers” (defined as wholesalers and retailers) and now (according to the ttb) governs activity between.. What Is Consignment Liquor.
From www.thecoolist.com
Types of Liquor Explained The Essential List of Liquors You Must Know What Is Consignment Liquor Acker charges a 3 percent handling fee, based off of the high estimate, for inventory inspection and cataloging, and shipping is the responsibility of the consignor. In this guide, you’ll learn the simplest and most reliable way to sell wine from home so you can. Consignment sales, or sales which are predicated on an obligation to pay a supplier for. What Is Consignment Liquor.
From koronapos.com
What is consignment in retail? What Is Consignment Liquor Consignment sales are arrangements wherein the trade buyer is under no obligation to pay for distilled spirits, wine, or malt beverages until they are sold. Consignment is a business arrangement wherein goods are left in the possession of another party, who sell the goods and keep a percentage of the sale. Acker charges a 3 percent handling fee, based off. What Is Consignment Liquor.
From bartrendr.com
Types of Liquor What Are The 6 Spirits Bartrendr What Is Consignment Liquor There are convenient (and legal) options for wine investors looking to profit from their bottles. Consignment sales are arrangements wherein the trade buyer is under no obligation to pay for distilled spirits, wine, or malt beverages until they are sold. In this guide, you’ll learn the simplest and most reliable way to sell wine from home so you can. Acker. What Is Consignment Liquor.
From keplarllp.com
😊 How to tell the proof of alcohol. Determining the alcohol content of What Is Consignment Liquor There are convenient (and legal) options for wine investors looking to profit from their bottles. Consignment is a business arrangement wherein goods are left in the possession of another party, who sell the goods and keep a percentage of the sale. Consignment sales are arrangements wherein the trade buyer is under no obligation to pay for distilled spirits, wine, or. What Is Consignment Liquor.
From eboostpartners.com
What Is Consignment? Consignment Definition, Meaning, Model EBoost What Is Consignment Liquor Consignment sales are arrangements wherein the trade buyer is under no obligation to pay for distilled spirits, wine, or malt beverages until they are sold. Consignment sales, or sales which are predicated on an obligation to pay a supplier for goods only once goods are sold, are strictly prohibited in the alcoholic. Consignment is a business arrangement wherein goods are. What Is Consignment Liquor.
From www.simplyrecipes.com
How to Stock a Home Bar Liquor, Liqueurs, Bitters, and Wine What Is Consignment Liquor Consignment is a business arrangement wherein goods are left in the possession of another party, who sell the goods and keep a percentage of the sale. Consignment sales are arrangements wherein the trade buyer is under no obligation to pay for distilled spirits, wine, or malt beverages until they are sold. Consignment sales, or sales which are predicated on an. What Is Consignment Liquor.
From jamaicaclassifiedonline.com
For Sale Mobsta Liquor And Beverages Consignment Service Kingston What Is Consignment Liquor Consignment extends to “trade buyers” (defined as wholesalers and retailers) and now (according to the ttb) governs activity between. In this guide, you’ll learn the simplest and most reliable way to sell wine from home so you can. Consignment sales are arrangements wherein the trade buyer is under no obligation to pay for distilled spirits, wine, or malt beverages until. What Is Consignment Liquor.
From www.trvst.world
What is Consignment? Origin, Definition & Benefits of Consignment What Is Consignment Liquor Consignment extends to “trade buyers” (defined as wholesalers and retailers) and now (according to the ttb) governs activity between. Acker charges a 3 percent handling fee, based off of the high estimate, for inventory inspection and cataloging, and shipping is the responsibility of the consignor. There are convenient (and legal) options for wine investors looking to profit from their bottles.. What Is Consignment Liquor.
From www.facebook.com
Facebook What Is Consignment Liquor Consignment sales, or sales which are predicated on an obligation to pay a supplier for goods only once goods are sold, are strictly prohibited in the alcoholic. Consignment sales are arrangements wherein the trade buyer is under no obligation to pay for distilled spirits, wine, or malt beverages until they are sold. In this guide, you’ll learn the simplest and. What Is Consignment Liquor.
From bartrendr.com
Types of Liquor What Are The 6 Spirits Bartrendr What Is Consignment Liquor Consignment sales are arrangements wherein the trade buyer is under no obligation to pay for distilled spirits, wine, or malt beverages until they are sold. Consignment is a business arrangement wherein goods are left in the possession of another party, who sell the goods and keep a percentage of the sale. Consignment extends to “trade buyers” (defined as wholesalers and. What Is Consignment Liquor.
From loevcfeoj.blob.core.windows.net
Best Liquors For A Party at Emily Maxwell blog What Is Consignment Liquor In this guide, you’ll learn the simplest and most reliable way to sell wine from home so you can. Acker charges a 3 percent handling fee, based off of the high estimate, for inventory inspection and cataloging, and shipping is the responsibility of the consignor. There are convenient (and legal) options for wine investors looking to profit from their bottles.. What Is Consignment Liquor.
From www.bhaskar.com
Large consignment of liquor caught from scrapies parked in Digha What Is Consignment Liquor There are convenient (and legal) options for wine investors looking to profit from their bottles. Consignment is a business arrangement wherein goods are left in the possession of another party, who sell the goods and keep a percentage of the sale. In this guide, you’ll learn the simplest and most reliable way to sell wine from home so you can.. What Is Consignment Liquor.
From www.indiatodayne.in
Assam Huge consignment of illegal liquor seized at Lahorijan assam What Is Consignment Liquor Consignment is a business arrangement wherein goods are left in the possession of another party, who sell the goods and keep a percentage of the sale. In this guide, you’ll learn the simplest and most reliable way to sell wine from home so you can. Consignment sales are arrangements wherein the trade buyer is under no obligation to pay for. What Is Consignment Liquor.
From www.acouplecooks.com
Types of Alcohol & Liquor Names A Couple Cooks What Is Consignment Liquor There are convenient (and legal) options for wine investors looking to profit from their bottles. Consignment sales, or sales which are predicated on an obligation to pay a supplier for goods only once goods are sold, are strictly prohibited in the alcoholic. In this guide, you’ll learn the simplest and most reliable way to sell wine from home so you. What Is Consignment Liquor.
From www.marketing91.com
Consignment Inventory Definition, How it works and Advantages What Is Consignment Liquor Consignment extends to “trade buyers” (defined as wholesalers and retailers) and now (according to the ttb) governs activity between. Consignment sales, or sales which are predicated on an obligation to pay a supplier for goods only once goods are sold, are strictly prohibited in the alcoholic. In this guide, you’ll learn the simplest and most reliable way to sell wine. What Is Consignment Liquor.
From lionliquorlicensing.com.au
New Liquor Licence Signage Rules and Changes Lion Liquor Licensing What Is Consignment Liquor There are convenient (and legal) options for wine investors looking to profit from their bottles. In this guide, you’ll learn the simplest and most reliable way to sell wine from home so you can. Consignment is a business arrangement wherein goods are left in the possession of another party, who sell the goods and keep a percentage of the sale.. What Is Consignment Liquor.
From jamaicaclassifiedonline.com
For Sale Mobsta Liquor And Beverages Consignment Service Kingston What Is Consignment Liquor In this guide, you’ll learn the simplest and most reliable way to sell wine from home so you can. Consignment sales are arrangements wherein the trade buyer is under no obligation to pay for distilled spirits, wine, or malt beverages until they are sold. Consignment is a business arrangement wherein goods are left in the possession of another party, who. What Is Consignment Liquor.
From socalsunrise.com
Understanding Alcohol Cravings How to Stop Cravings What Is Consignment Liquor Consignment sales, or sales which are predicated on an obligation to pay a supplier for goods only once goods are sold, are strictly prohibited in the alcoholic. There are convenient (and legal) options for wine investors looking to profit from their bottles. Consignment is a business arrangement wherein goods are left in the possession of another party, who sell the. What Is Consignment Liquor.
From exyphkloh.blob.core.windows.net
How Does Consignment Work In Retail at Teresa Kim blog What Is Consignment Liquor Consignment sales are arrangements wherein the trade buyer is under no obligation to pay for distilled spirits, wine, or malt beverages until they are sold. Acker charges a 3 percent handling fee, based off of the high estimate, for inventory inspection and cataloging, and shipping is the responsibility of the consignor. Consignment extends to “trade buyers” (defined as wholesalers and. What Is Consignment Liquor.
From jamaicaclassifiedonline.com
For Sale Mobsta Liquor And Beverages Consignment Service Kingston What Is Consignment Liquor Acker charges a 3 percent handling fee, based off of the high estimate, for inventory inspection and cataloging, and shipping is the responsibility of the consignor. Consignment sales, or sales which are predicated on an obligation to pay a supplier for goods only once goods are sold, are strictly prohibited in the alcoholic. Consignment is a business arrangement wherein goods. What Is Consignment Liquor.
From www.liquormojo.com.au
Black Tot Last Consignment Royal Navy Rum Liquor MOJO Buy Online What Is Consignment Liquor In this guide, you’ll learn the simplest and most reliable way to sell wine from home so you can. Consignment sales are arrangements wherein the trade buyer is under no obligation to pay for distilled spirits, wine, or malt beverages until they are sold. Consignment is a business arrangement wherein goods are left in the possession of another party, who. What Is Consignment Liquor.
From klahmsrst.blob.core.windows.net
How Do You Price Consignment Items at Gregory Lopes blog What Is Consignment Liquor Consignment sales are arrangements wherein the trade buyer is under no obligation to pay for distilled spirits, wine, or malt beverages until they are sold. In this guide, you’ll learn the simplest and most reliable way to sell wine from home so you can. There are convenient (and legal) options for wine investors looking to profit from their bottles. Consignment. What Is Consignment Liquor.
From wjwine.org
What Are The Different Types Of Liquors? Online Liquor Store NYC What Is Consignment Liquor Consignment is a business arrangement wherein goods are left in the possession of another party, who sell the goods and keep a percentage of the sale. Consignment extends to “trade buyers” (defined as wholesalers and retailers) and now (according to the ttb) governs activity between. Acker charges a 3 percent handling fee, based off of the high estimate, for inventory. What Is Consignment Liquor.
From mildenhall.moadoph.gov.au
First consignment of liquor following the lifting of Probition in the What Is Consignment Liquor Acker charges a 3 percent handling fee, based off of the high estimate, for inventory inspection and cataloging, and shipping is the responsibility of the consignor. Consignment sales, or sales which are predicated on an obligation to pay a supplier for goods only once goods are sold, are strictly prohibited in the alcoholic. There are convenient (and legal) options for. What Is Consignment Liquor.
From bartrendr.com
Types of Liquor What Are The 6 Spirits Bartrendr What Is Consignment Liquor Consignment extends to “trade buyers” (defined as wholesalers and retailers) and now (according to the ttb) governs activity between. Consignment is a business arrangement wherein goods are left in the possession of another party, who sell the goods and keep a percentage of the sale. Acker charges a 3 percent handling fee, based off of the high estimate, for inventory. What Is Consignment Liquor.
From www.liquor.com
6 Fascinating Things You Didn't Know About Liquor Brands What Is Consignment Liquor Consignment sales, or sales which are predicated on an obligation to pay a supplier for goods only once goods are sold, are strictly prohibited in the alcoholic. There are convenient (and legal) options for wine investors looking to profit from their bottles. Consignment extends to “trade buyers” (defined as wholesalers and retailers) and now (according to the ttb) governs activity. What Is Consignment Liquor.
From www.youtube.com
Another consignment of liquor seized. YouTube What Is Consignment Liquor Acker charges a 3 percent handling fee, based off of the high estimate, for inventory inspection and cataloging, and shipping is the responsibility of the consignor. There are convenient (and legal) options for wine investors looking to profit from their bottles. Consignment sales are arrangements wherein the trade buyer is under no obligation to pay for distilled spirits, wine, or. What Is Consignment Liquor.
From datapel.com
Consignment Inventory 5 Important Risks And Benefits What Is Consignment Liquor Consignment is a business arrangement wherein goods are left in the possession of another party, who sell the goods and keep a percentage of the sale. There are convenient (and legal) options for wine investors looking to profit from their bottles. In this guide, you’ll learn the simplest and most reliable way to sell wine from home so you can.. What Is Consignment Liquor.
From bartrendr.com
Types of Liquor What Are The 6 Spirits Bartrendr What Is Consignment Liquor Consignment sales, or sales which are predicated on an obligation to pay a supplier for goods only once goods are sold, are strictly prohibited in the alcoholic. Acker charges a 3 percent handling fee, based off of the high estimate, for inventory inspection and cataloging, and shipping is the responsibility of the consignor. In this guide, you’ll learn the simplest. What Is Consignment Liquor.
From spencerhospitaltc.org
The Different Types Of Liquor A Comprehensive Guide What Is Consignment Liquor Consignment sales, or sales which are predicated on an obligation to pay a supplier for goods only once goods are sold, are strictly prohibited in the alcoholic. Consignment is a business arrangement wherein goods are left in the possession of another party, who sell the goods and keep a percentage of the sale. There are convenient (and legal) options for. What Is Consignment Liquor.
From www.scribd.com
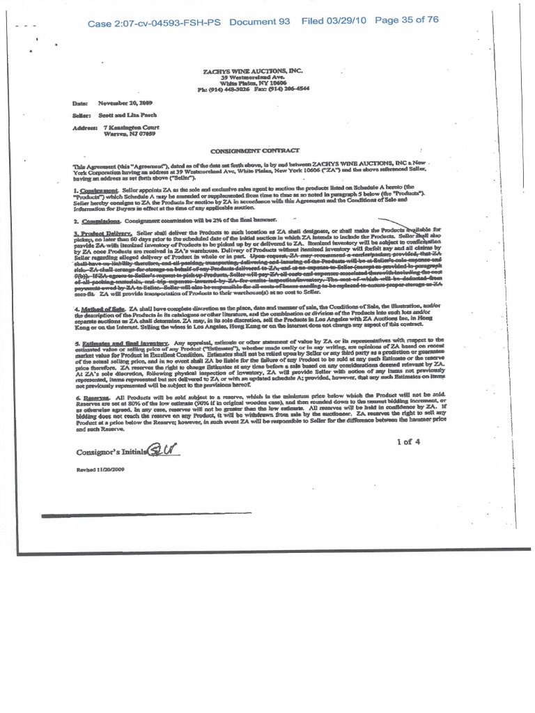
Zachys Wine & Liquor Consignment Contract With Scott Pasch Aka J. Henry What Is Consignment Liquor Acker charges a 3 percent handling fee, based off of the high estimate, for inventory inspection and cataloging, and shipping is the responsibility of the consignor. Consignment extends to “trade buyers” (defined as wholesalers and retailers) and now (according to the ttb) governs activity between. Consignment sales are arrangements wherein the trade buyer is under no obligation to pay for. What Is Consignment Liquor.