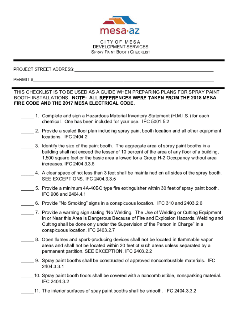
Paint Spray Booth Inspection Checklist . A guide to fire safety compliance for paint spray booths. .132(e) ÿare all chemicals used in spray painting operations correctly. chapter 5 of the nfpa 33 document covers the basics of design and construction requirements of a spray paint. ÿis correct type of respirator being worn by personnel? this paint booth inspection checklist form includes: Are spray finishing booths in compliance? Spray booths meet all design specifications? spray operations are addressed in specific osha standards for the general industry, maritime, and construction. spray booth or a spray room shall be approved for class i, division 1 or class ii, division i locations, 2403.2.1.3. Paint booth fire safety compliance guide summary: Inspect to complying with all standards and codes in each aspect of design.
from dl-uk.apowersoft.com
chapter 5 of the nfpa 33 document covers the basics of design and construction requirements of a spray paint. Are spray finishing booths in compliance? .132(e) ÿare all chemicals used in spray painting operations correctly. Spray booths meet all design specifications? ÿis correct type of respirator being worn by personnel? Paint booth fire safety compliance guide summary: spray booth or a spray room shall be approved for class i, division 1 or class ii, division i locations, 2403.2.1.3. Inspect to complying with all standards and codes in each aspect of design. this paint booth inspection checklist form includes: A guide to fire safety compliance for paint spray booths.
Daily Equipment Inspection Checklist Template Excel
Paint Spray Booth Inspection Checklist Paint booth fire safety compliance guide summary: chapter 5 of the nfpa 33 document covers the basics of design and construction requirements of a spray paint. spray operations are addressed in specific osha standards for the general industry, maritime, and construction. ÿis correct type of respirator being worn by personnel? Spray booths meet all design specifications? Are spray finishing booths in compliance? A guide to fire safety compliance for paint spray booths. spray booth or a spray room shall be approved for class i, division 1 or class ii, division i locations, 2403.2.1.3. .132(e) ÿare all chemicals used in spray painting operations correctly. Paint booth fire safety compliance guide summary: Inspect to complying with all standards and codes in each aspect of design. this paint booth inspection checklist form includes:
From kta.com
Cleaning and Painting Verifying Quality in the Field Paint Spray Booth Inspection Checklist Are spray finishing booths in compliance? ÿis correct type of respirator being worn by personnel? spray booth or a spray room shall be approved for class i, division 1 or class ii, division i locations, 2403.2.1.3. Spray booths meet all design specifications? spray operations are addressed in specific osha standards for the general industry, maritime, and construction.. Paint Spray Booth Inspection Checklist.
From www.scribd.com
Painting Inspection Report Paint Spray Booth Inspection Checklist Inspect to complying with all standards and codes in each aspect of design. chapter 5 of the nfpa 33 document covers the basics of design and construction requirements of a spray paint. A guide to fire safety compliance for paint spray booths. spray operations are addressed in specific osha standards for the general industry, maritime, and construction. . Paint Spray Booth Inspection Checklist.
From nmspraybooths.com
Preventive Maintenance Paint Booth Services, LLC Paint Spray Booth Inspection Checklist ÿis correct type of respirator being worn by personnel? Spray booths meet all design specifications? .132(e) ÿare all chemicals used in spray painting operations correctly. spray operations are addressed in specific osha standards for the general industry, maritime, and construction. Inspect to complying with all standards and codes in each aspect of design. this paint booth inspection. Paint Spray Booth Inspection Checklist.
From www.scribd.com
Paint Inspection Daily Coating Inspection Report Surface Oxygen Paint Spray Booth Inspection Checklist spray booth or a spray room shall be approved for class i, division 1 or class ii, division i locations, 2403.2.1.3. this paint booth inspection checklist form includes: Spray booths meet all design specifications? chapter 5 of the nfpa 33 document covers the basics of design and construction requirements of a spray paint. ÿis correct type. Paint Spray Booth Inspection Checklist.
From www.scribd.com
Paint Booth Checklist PDF Duct (Flow) Building Engineering Paint Spray Booth Inspection Checklist Paint booth fire safety compliance guide summary: Inspect to complying with all standards and codes in each aspect of design. chapter 5 of the nfpa 33 document covers the basics of design and construction requirements of a spray paint. spray booth or a spray room shall be approved for class i, division 1 or class ii, division i. Paint Spray Booth Inspection Checklist.
From pittsburghsprayequip.com
Paint Booth Installation Overview & Checklist Paint Spray Booth Inspection Checklist Spray booths meet all design specifications? Are spray finishing booths in compliance? ÿis correct type of respirator being worn by personnel? Paint booth fire safety compliance guide summary: spray operations are addressed in specific osha standards for the general industry, maritime, and construction. this paint booth inspection checklist form includes: .132(e) ÿare all chemicals used in spray. Paint Spray Booth Inspection Checklist.
From www.pdffiller.com
Fillable Online Spray Booth Checklist Fax Email Print pdfFiller Paint Spray Booth Inspection Checklist Are spray finishing booths in compliance? spray operations are addressed in specific osha standards for the general industry, maritime, and construction. Spray booths meet all design specifications? .132(e) ÿare all chemicals used in spray painting operations correctly. A guide to fire safety compliance for paint spray booths. this paint booth inspection checklist form includes: spray booth or. Paint Spray Booth Inspection Checklist.
From dxobciyrk.blob.core.windows.net
Paint Booth Safety Inspection Checklist at Zoe Andrade blog Paint Spray Booth Inspection Checklist ÿis correct type of respirator being worn by personnel? spray booth or a spray room shall be approved for class i, division 1 or class ii, division i locations, 2403.2.1.3. Inspect to complying with all standards and codes in each aspect of design. chapter 5 of the nfpa 33 document covers the basics of design and construction. Paint Spray Booth Inspection Checklist.
From dxobciyrk.blob.core.windows.net
Paint Booth Safety Inspection Checklist at Zoe Andrade blog Paint Spray Booth Inspection Checklist .132(e) ÿare all chemicals used in spray painting operations correctly. Are spray finishing booths in compliance? Spray booths meet all design specifications? Inspect to complying with all standards and codes in each aspect of design. ÿis correct type of respirator being worn by personnel? spray booth or a spray room shall be approved for class i, division 1. Paint Spray Booth Inspection Checklist.
From validstake.com
Paint Booth Inspection Checklist (NFPA 33) Joyfill Permits Paint Spray Booth Inspection Checklist spray operations are addressed in specific osha standards for the general industry, maritime, and construction. Paint booth fire safety compliance guide summary: chapter 5 of the nfpa 33 document covers the basics of design and construction requirements of a spray paint. A guide to fire safety compliance for paint spray booths. ÿis correct type of respirator being. Paint Spray Booth Inspection Checklist.
From www.alpinepainting.com
How to Pick the Right Commercial Painting… Alpine Painting Paint Spray Booth Inspection Checklist chapter 5 of the nfpa 33 document covers the basics of design and construction requirements of a spray paint. ÿis correct type of respirator being worn by personnel? .132(e) ÿare all chemicals used in spray painting operations correctly. Spray booths meet all design specifications? Paint booth fire safety compliance guide summary: Inspect to complying with all standards and. Paint Spray Booth Inspection Checklist.
From www.scribd.com
Audit Checklist Blasting Painting1 Conservation And Restoration Paint Spray Booth Inspection Checklist ÿis correct type of respirator being worn by personnel? Spray booths meet all design specifications? this paint booth inspection checklist form includes: Inspect to complying with all standards and codes in each aspect of design. Paint booth fire safety compliance guide summary: Are spray finishing booths in compliance? chapter 5 of the nfpa 33 document covers the. Paint Spray Booth Inspection Checklist.
From vdocuments.mx
SPRAY PAINT BOOTH CHECKLIST City of Kingman PAINT BOOTH CHECKLIST Paint Spray Booth Inspection Checklist Are spray finishing booths in compliance? ÿis correct type of respirator being worn by personnel? A guide to fire safety compliance for paint spray booths. this paint booth inspection checklist form includes: Inspect to complying with all standards and codes in each aspect of design. Paint booth fire safety compliance guide summary: spray booth or a spray. Paint Spray Booth Inspection Checklist.
From www.scribd.com
NFPA 33 Paint Booth Check Sheet Fire Sprinkler System High Voltage Paint Spray Booth Inspection Checklist A guide to fire safety compliance for paint spray booths. .132(e) ÿare all chemicals used in spray painting operations correctly. chapter 5 of the nfpa 33 document covers the basics of design and construction requirements of a spray paint. Inspect to complying with all standards and codes in each aspect of design. Are spray finishing booths in compliance? . Paint Spray Booth Inspection Checklist.
From safeti.com
Spray Booth Risk Assessment PLUS CPD Risk Training Paint Spray Booth Inspection Checklist chapter 5 of the nfpa 33 document covers the basics of design and construction requirements of a spray paint. spray booth or a spray room shall be approved for class i, division 1 or class ii, division i locations, 2403.2.1.3. .132(e) ÿare all chemicals used in spray painting operations correctly. ÿis correct type of respirator being worn. Paint Spray Booth Inspection Checklist.
From dxobciyrk.blob.core.windows.net
Paint Booth Safety Inspection Checklist at Zoe Andrade blog Paint Spray Booth Inspection Checklist chapter 5 of the nfpa 33 document covers the basics of design and construction requirements of a spray paint. spray booth or a spray room shall be approved for class i, division 1 or class ii, division i locations, 2403.2.1.3. ÿis correct type of respirator being worn by personnel? this paint booth inspection checklist form includes:. Paint Spray Booth Inspection Checklist.
From www.scribd.com
Painting Checklist Daily Qa PDF Paint Spray Booth Inspection Checklist Spray booths meet all design specifications? chapter 5 of the nfpa 33 document covers the basics of design and construction requirements of a spray paint. spray operations are addressed in specific osha standards for the general industry, maritime, and construction. Are spray finishing booths in compliance? this paint booth inspection checklist form includes: spray booth or. Paint Spray Booth Inspection Checklist.
From www.scribd.com
Check List Painting Paint Plaster Paint Spray Booth Inspection Checklist Are spray finishing booths in compliance? ÿis correct type of respirator being worn by personnel? spray booth or a spray room shall be approved for class i, division 1 or class ii, division i locations, 2403.2.1.3. Inspect to complying with all standards and codes in each aspect of design. this paint booth inspection checklist form includes: Paint. Paint Spray Booth Inspection Checklist.
From studylib.net
CLEANING AND PAINTING SCHEDULE Paint Spray Booth Inspection Checklist Spray booths meet all design specifications? .132(e) ÿare all chemicals used in spray painting operations correctly. Paint booth fire safety compliance guide summary: ÿis correct type of respirator being worn by personnel? Are spray finishing booths in compliance? spray operations are addressed in specific osha standards for the general industry, maritime, and construction. Inspect to complying with all. Paint Spray Booth Inspection Checklist.
From dl-uk.apowersoft.com
Daily Equipment Inspection Checklist Template Excel Paint Spray Booth Inspection Checklist ÿis correct type of respirator being worn by personnel? spray booth or a spray room shall be approved for class i, division 1 or class ii, division i locations, 2403.2.1.3. .132(e) ÿare all chemicals used in spray painting operations correctly. this paint booth inspection checklist form includes: Are spray finishing booths in compliance? Inspect to complying with. Paint Spray Booth Inspection Checklist.
From nmspraybooths.com
Preventive Maintenance Paint Booth Services, LLC Paint Spray Booth Inspection Checklist spray booth or a spray room shall be approved for class i, division 1 or class ii, division i locations, 2403.2.1.3. chapter 5 of the nfpa 33 document covers the basics of design and construction requirements of a spray paint. Are spray finishing booths in compliance? .132(e) ÿare all chemicals used in spray painting operations correctly. Paint booth. Paint Spray Booth Inspection Checklist.
From info.sprayerdepot.com
Spray Equipment Safety Checklist Paint Spray Booth Inspection Checklist Inspect to complying with all standards and codes in each aspect of design. ÿis correct type of respirator being worn by personnel? .132(e) ÿare all chemicals used in spray painting operations correctly. Spray booths meet all design specifications? Are spray finishing booths in compliance? spray booth or a spray room shall be approved for class i, division 1. Paint Spray Booth Inspection Checklist.
From ilt.safetynow.com
TX Spraying Operations Evaluations SafetyNow ILT Paint Spray Booth Inspection Checklist this paint booth inspection checklist form includes: Are spray finishing booths in compliance? Spray booths meet all design specifications? spray booth or a spray room shall be approved for class i, division 1 or class ii, division i locations, 2403.2.1.3. Paint booth fire safety compliance guide summary: ÿis correct type of respirator being worn by personnel? . Paint Spray Booth Inspection Checklist.
From safeti.com
Spray Booth Risk Assessment PLUS CPD Risk Training Paint Spray Booth Inspection Checklist ÿis correct type of respirator being worn by personnel? A guide to fire safety compliance for paint spray booths. Inspect to complying with all standards and codes in each aspect of design. spray booth or a spray room shall be approved for class i, division 1 or class ii, division i locations, 2403.2.1.3. Spray booths meet all design. Paint Spray Booth Inspection Checklist.
From exoincqad.blob.core.windows.net
Paint Inspection Report Template at Linda Stone blog Paint Spray Booth Inspection Checklist .132(e) ÿare all chemicals used in spray painting operations correctly. Inspect to complying with all standards and codes in each aspect of design. ÿis correct type of respirator being worn by personnel? Paint booth fire safety compliance guide summary: chapter 5 of the nfpa 33 document covers the basics of design and construction requirements of a spray paint.. Paint Spray Booth Inspection Checklist.
From www.scribd.com
PAINTINSPECTIONCHECKLISTI.pdf Paint Spray Booth Inspection Checklist spray booth or a spray room shall be approved for class i, division 1 or class ii, division i locations, 2403.2.1.3. Paint booth fire safety compliance guide summary: chapter 5 of the nfpa 33 document covers the basics of design and construction requirements of a spray paint. ÿis correct type of respirator being worn by personnel? A. Paint Spray Booth Inspection Checklist.
From www.blastone.com.au
Spray Painting System Daily Component Checklist » Blast Booths Spray Paint Spray Booth Inspection Checklist ÿis correct type of respirator being worn by personnel? Paint booth fire safety compliance guide summary: this paint booth inspection checklist form includes: spray booth or a spray room shall be approved for class i, division 1 or class ii, division i locations, 2403.2.1.3. spray operations are addressed in specific osha standards for the general industry,. Paint Spray Booth Inspection Checklist.
From nmspraybooths.com
Preventive Maintenance Paint Booth Services, LLC Paint Spray Booth Inspection Checklist this paint booth inspection checklist form includes: Inspect to complying with all standards and codes in each aspect of design. spray booth or a spray room shall be approved for class i, division 1 or class ii, division i locations, 2403.2.1.3. ÿis correct type of respirator being worn by personnel? Paint booth fire safety compliance guide summary:. Paint Spray Booth Inspection Checklist.
From www.exceltemplate123.us
8 Inspection Checklist Template Excel Excel Templates Paint Spray Booth Inspection Checklist spray operations are addressed in specific osha standards for the general industry, maritime, and construction. Spray booths meet all design specifications? .132(e) ÿare all chemicals used in spray painting operations correctly. Inspect to complying with all standards and codes in each aspect of design. Are spray finishing booths in compliance? spray booth or a spray room shall be. Paint Spray Booth Inspection Checklist.
From www.scribd.com
PaintingInspectionReport.docx Paint Materials Paint Spray Booth Inspection Checklist ÿis correct type of respirator being worn by personnel? spray booth or a spray room shall be approved for class i, division 1 or class ii, division i locations, 2403.2.1.3. .132(e) ÿare all chemicals used in spray painting operations correctly. Inspect to complying with all standards and codes in each aspect of design. spray operations are addressed. Paint Spray Booth Inspection Checklist.
From www.blastone.com.au
Daily Maintenance for Your Blast Pot » Blast Booths Spray Paint Booths Paint Spray Booth Inspection Checklist .132(e) ÿare all chemicals used in spray painting operations correctly. ÿis correct type of respirator being worn by personnel? Paint booth fire safety compliance guide summary: this paint booth inspection checklist form includes: spray operations are addressed in specific osha standards for the general industry, maritime, and construction. Are spray finishing booths in compliance? Spray booths meet. Paint Spray Booth Inspection Checklist.
From dxobciyrk.blob.core.windows.net
Paint Booth Safety Inspection Checklist at Zoe Andrade blog Paint Spray Booth Inspection Checklist Spray booths meet all design specifications? spray booth or a spray room shall be approved for class i, division 1 or class ii, division i locations, 2403.2.1.3. A guide to fire safety compliance for paint spray booths. ÿis correct type of respirator being worn by personnel? spray operations are addressed in specific osha standards for the general. Paint Spray Booth Inspection Checklist.
From globalfinishing.com
Spring Paint Booth Cleaning Checklist Global Finishing Solutions Paint Spray Booth Inspection Checklist Spray booths meet all design specifications? .132(e) ÿare all chemicals used in spray painting operations correctly. chapter 5 of the nfpa 33 document covers the basics of design and construction requirements of a spray paint. A guide to fire safety compliance for paint spray booths. ÿis correct type of respirator being worn by personnel? Inspect to complying with. Paint Spray Booth Inspection Checklist.
From www.spraysystems.com
Spray Paint Booth Performance Checklist Spray Systems, Inc. Paint Spray Booth Inspection Checklist chapter 5 of the nfpa 33 document covers the basics of design and construction requirements of a spray paint. Are spray finishing booths in compliance? Inspect to complying with all standards and codes in each aspect of design. .132(e) ÿare all chemicals used in spray painting operations correctly. spray booth or a spray room shall be approved for. Paint Spray Booth Inspection Checklist.
From nmspraybooths.com
Preventive Maintenance Paint Booth Services, LLC Paint Spray Booth Inspection Checklist this paint booth inspection checklist form includes: Paint booth fire safety compliance guide summary: Are spray finishing booths in compliance? Spray booths meet all design specifications? spray booth or a spray room shall be approved for class i, division 1 or class ii, division i locations, 2403.2.1.3. Inspect to complying with all standards and codes in each aspect. Paint Spray Booth Inspection Checklist.