Composite Transfer Grant Time Limit For Claiming . (a) the composite transfer grant shall be paid at the rate of 80% of the last month's basic pay in. (i) terms and conditions for composite transfer grant : References have been received in department of expenditure seeking clarification on admissibility of composite transfer grant (ctg) in r/o central government. If a central government employee decides to remain at his or her last station of duty, he or she will be eligible for a full composite transfer grant (ctg) at the rate of 80% of his. Admissibility of composite transfer grant (ctg) on retirement will be effective from 06.01.2022: In partial modification to para 4 of board’s letter of even. Composite transfer and packing grant (ctg) : Admissibility of composite transfer grant (ctg) on retirement. A railway servant will be entitled to a composite transfer grant at the. Time limit for submission of claims for travelling allowance on retirement :
from napecpurulia.blogspot.com
Admissibility of composite transfer grant (ctg) on retirement. Composite transfer and packing grant (ctg) : In partial modification to para 4 of board’s letter of even. A railway servant will be entitled to a composite transfer grant at the. Admissibility of composite transfer grant (ctg) on retirement will be effective from 06.01.2022: (a) the composite transfer grant shall be paid at the rate of 80% of the last month's basic pay in. (i) terms and conditions for composite transfer grant : If a central government employee decides to remain at his or her last station of duty, he or she will be eligible for a full composite transfer grant (ctg) at the rate of 80% of his. Time limit for submission of claims for travelling allowance on retirement : References have been received in department of expenditure seeking clarification on admissibility of composite transfer grant (ctg) in r/o central government.
Admissibility of Composite Transfer Grant on retirement NAPE C PURULIA
Composite Transfer Grant Time Limit For Claiming If a central government employee decides to remain at his or her last station of duty, he or she will be eligible for a full composite transfer grant (ctg) at the rate of 80% of his. (i) terms and conditions for composite transfer grant : Admissibility of composite transfer grant (ctg) on retirement will be effective from 06.01.2022: If a central government employee decides to remain at his or her last station of duty, he or she will be eligible for a full composite transfer grant (ctg) at the rate of 80% of his. Composite transfer and packing grant (ctg) : References have been received in department of expenditure seeking clarification on admissibility of composite transfer grant (ctg) in r/o central government. A railway servant will be entitled to a composite transfer grant at the. Admissibility of composite transfer grant (ctg) on retirement. (a) the composite transfer grant shall be paid at the rate of 80% of the last month's basic pay in. In partial modification to para 4 of board’s letter of even. Time limit for submission of claims for travelling allowance on retirement :
From cdberryfoundation.org
Grant Submission CBF Composite Transfer Grant Time Limit For Claiming (a) the composite transfer grant shall be paid at the rate of 80% of the last month's basic pay in. (i) terms and conditions for composite transfer grant : Admissibility of composite transfer grant (ctg) on retirement. Time limit for submission of claims for travelling allowance on retirement : Admissibility of composite transfer grant (ctg) on retirement will be effective. Composite Transfer Grant Time Limit For Claiming.
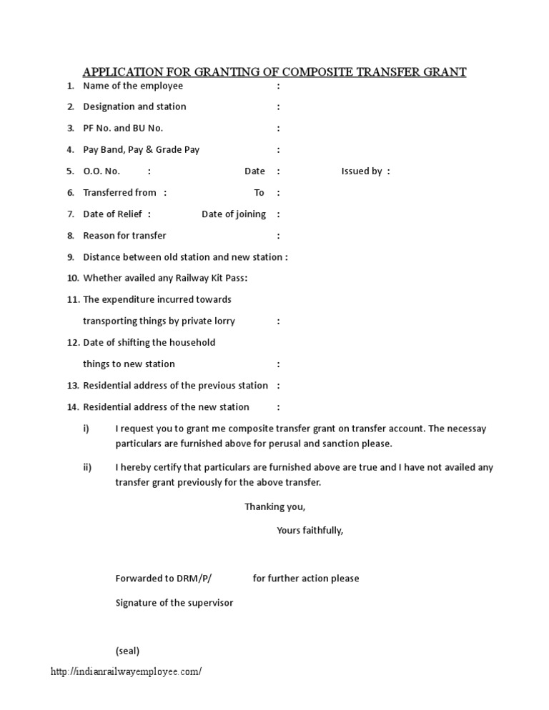
From www.scribd.com
Application for Composite Transfer Grant Business Composite Transfer Grant Time Limit For Claiming Composite transfer and packing grant (ctg) : Admissibility of composite transfer grant (ctg) on retirement will be effective from 06.01.2022: Admissibility of composite transfer grant (ctg) on retirement. (a) the composite transfer grant shall be paid at the rate of 80% of the last month's basic pay in. References have been received in department of expenditure seeking clarification on admissibility. Composite Transfer Grant Time Limit For Claiming.
From www.scribd.com
Composite Transfer Grant PDF Composite Transfer Grant Time Limit For Claiming A railway servant will be entitled to a composite transfer grant at the. If a central government employee decides to remain at his or her last station of duty, he or she will be eligible for a full composite transfer grant (ctg) at the rate of 80% of his. References have been received in department of expenditure seeking clarification on. Composite Transfer Grant Time Limit For Claiming.
From www.youtube.com
What is Composite Transfer Grant (CTG) Documents Required Composite Transfer Grant Time Limit For Claiming Admissibility of composite transfer grant (ctg) on retirement. Admissibility of composite transfer grant (ctg) on retirement will be effective from 06.01.2022: If a central government employee decides to remain at his or her last station of duty, he or she will be eligible for a full composite transfer grant (ctg) at the rate of 80% of his. References have been. Composite Transfer Grant Time Limit For Claiming.
From www.railnewscenter.com
Rules of Composite Transfer Grant on Retirement Composite Transfer Grant Time Limit For Claiming Time limit for submission of claims for travelling allowance on retirement : Admissibility of composite transfer grant (ctg) on retirement will be effective from 06.01.2022: Composite transfer and packing grant (ctg) : Admissibility of composite transfer grant (ctg) on retirement. References have been received in department of expenditure seeking clarification on admissibility of composite transfer grant (ctg) in r/o central. Composite Transfer Grant Time Limit For Claiming.
From govtempdiary.com
Admissibility of CTG on Retirement Govtempdiary Composite Transfer Grant Time Limit For Claiming (i) terms and conditions for composite transfer grant : Time limit for submission of claims for travelling allowance on retirement : If a central government employee decides to remain at his or her last station of duty, he or she will be eligible for a full composite transfer grant (ctg) at the rate of 80% of his. References have been. Composite Transfer Grant Time Limit For Claiming.
From www.youtube.com
Composite Transfer Grant on Retirement CTG YouTube Composite Transfer Grant Time Limit For Claiming In partial modification to para 4 of board’s letter of even. If a central government employee decides to remain at his or her last station of duty, he or she will be eligible for a full composite transfer grant (ctg) at the rate of 80% of his. References have been received in department of expenditure seeking clarification on admissibility of. Composite Transfer Grant Time Limit For Claiming.
From govtempdiary.com
RBE No. 123 /2022 Admissibility of Composite Transfer Grant on Composite Transfer Grant Time Limit For Claiming References have been received in department of expenditure seeking clarification on admissibility of composite transfer grant (ctg) in r/o central government. Admissibility of composite transfer grant (ctg) on retirement. A railway servant will be entitled to a composite transfer grant at the. (i) terms and conditions for composite transfer grant : (a) the composite transfer grant shall be paid at. Composite Transfer Grant Time Limit For Claiming.
From igecorner.com
Composite Transfer Grant (CTG) on Retirement Central Government Composite Transfer Grant Time Limit For Claiming If a central government employee decides to remain at his or her last station of duty, he or she will be eligible for a full composite transfer grant (ctg) at the rate of 80% of his. (i) terms and conditions for composite transfer grant : Admissibility of composite transfer grant (ctg) on retirement will be effective from 06.01.2022: In partial. Composite Transfer Grant Time Limit For Claiming.
From potools.blogspot.com
Draft Audit Para on 'Excess payment of Composite Transfer Grant' Composite Transfer Grant Time Limit For Claiming In partial modification to para 4 of board’s letter of even. Composite transfer and packing grant (ctg) : Admissibility of composite transfer grant (ctg) on retirement. (i) terms and conditions for composite transfer grant : Time limit for submission of claims for travelling allowance on retirement : References have been received in department of expenditure seeking clarification on admissibility of. Composite Transfer Grant Time Limit For Claiming.
From www.youtube.com
Composite Transfer Grant (CTG) for Railway employees. YouTube Composite Transfer Grant Time Limit For Claiming Composite transfer and packing grant (ctg) : Admissibility of composite transfer grant (ctg) on retirement will be effective from 06.01.2022: Admissibility of composite transfer grant (ctg) on retirement. Time limit for submission of claims for travelling allowance on retirement : If a central government employee decides to remain at his or her last station of duty, he or she will. Composite Transfer Grant Time Limit For Claiming.
From gservants.com
Composite Transfer Grant (CTG) On Retirement Composite Transfer Grant Time Limit For Claiming Composite transfer and packing grant (ctg) : If a central government employee decides to remain at his or her last station of duty, he or she will be eligible for a full composite transfer grant (ctg) at the rate of 80% of his. Admissibility of composite transfer grant (ctg) on retirement will be effective from 06.01.2022: A railway servant will. Composite Transfer Grant Time Limit For Claiming.
From napecpurulia.blogspot.com
Admissibility of Composite Transfer Grant on retirement NAPE C PURULIA Composite Transfer Grant Time Limit For Claiming In partial modification to para 4 of board’s letter of even. (i) terms and conditions for composite transfer grant : Composite transfer and packing grant (ctg) : References have been received in department of expenditure seeking clarification on admissibility of composite transfer grant (ctg) in r/o central government. A railway servant will be entitled to a composite transfer grant at. Composite Transfer Grant Time Limit For Claiming.
From potools.blogspot.com
Travel Entitlements Composite Transfer and Packaging Grant (CTG) Composite Transfer Grant Time Limit For Claiming Time limit for submission of claims for travelling allowance on retirement : References have been received in department of expenditure seeking clarification on admissibility of composite transfer grant (ctg) in r/o central government. Admissibility of composite transfer grant (ctg) on retirement. Admissibility of composite transfer grant (ctg) on retirement will be effective from 06.01.2022: In partial modification to para 4. Composite Transfer Grant Time Limit For Claiming.
From infopostoffice.blogspot.com
Draft Audit Para on 'Excess payment of Composite Transfer Grant' post Composite Transfer Grant Time Limit For Claiming In partial modification to para 4 of board’s letter of even. Composite transfer and packing grant (ctg) : A railway servant will be entitled to a composite transfer grant at the. (a) the composite transfer grant shall be paid at the rate of 80% of the last month's basic pay in. (i) terms and conditions for composite transfer grant :. Composite Transfer Grant Time Limit For Claiming.
From studylib.net
Grant Budget Transfer Form Composite Transfer Grant Time Limit For Claiming Composite transfer and packing grant (ctg) : Admissibility of composite transfer grant (ctg) on retirement will be effective from 06.01.2022: Admissibility of composite transfer grant (ctg) on retirement. In partial modification to para 4 of board’s letter of even. A railway servant will be entitled to a composite transfer grant at the. If a central government employee decides to remain. Composite Transfer Grant Time Limit For Claiming.
From www.scribd.com
Composite Transfer Grant PDF Composite Transfer Grant Time Limit For Claiming (a) the composite transfer grant shall be paid at the rate of 80% of the last month's basic pay in. If a central government employee decides to remain at his or her last station of duty, he or she will be eligible for a full composite transfer grant (ctg) at the rate of 80% of his. Composite transfer and packing. Composite Transfer Grant Time Limit For Claiming.
From www.scribd.com
Request for Payment of Composite Transfer Grant Following Inter Composite Transfer Grant Time Limit For Claiming If a central government employee decides to remain at his or her last station of duty, he or she will be eligible for a full composite transfer grant (ctg) at the rate of 80% of his. Composite transfer and packing grant (ctg) : A railway servant will be entitled to a composite transfer grant at the. (i) terms and conditions. Composite Transfer Grant Time Limit For Claiming.
From www.youtube.com
PF Transfer Online Rules 2018 PF Transfer By Using EPF Composite Composite Transfer Grant Time Limit For Claiming (i) terms and conditions for composite transfer grant : In partial modification to para 4 of board’s letter of even. A railway servant will be entitled to a composite transfer grant at the. Time limit for submission of claims for travelling allowance on retirement : Admissibility of composite transfer grant (ctg) on retirement. (a) the composite transfer grant shall be. Composite Transfer Grant Time Limit For Claiming.
From www.ksge.in
Revision of composite transfer grant and allowances for transportation Composite Transfer Grant Time Limit For Claiming Admissibility of composite transfer grant (ctg) on retirement will be effective from 06.01.2022: (i) terms and conditions for composite transfer grant : Admissibility of composite transfer grant (ctg) on retirement. References have been received in department of expenditure seeking clarification on admissibility of composite transfer grant (ctg) in r/o central government. Time limit for submission of claims for travelling allowance. Composite Transfer Grant Time Limit For Claiming.
From govtempdiary.com
Admissibility of Composite Transfer Grant (CTG) on Retirement Composite Transfer Grant Time Limit For Claiming Composite transfer and packing grant (ctg) : Admissibility of composite transfer grant (ctg) on retirement. (i) terms and conditions for composite transfer grant : In partial modification to para 4 of board’s letter of even. A railway servant will be entitled to a composite transfer grant at the. References have been received in department of expenditure seeking clarification on admissibility. Composite Transfer Grant Time Limit For Claiming.
From www.youtube.com
Retirement पर मिलने वाले Composite Transfer Grant(CTG) के नियम मे बड़े Composite Transfer Grant Time Limit For Claiming Admissibility of composite transfer grant (ctg) on retirement will be effective from 06.01.2022: Composite transfer and packing grant (ctg) : (a) the composite transfer grant shall be paid at the rate of 80% of the last month's basic pay in. Admissibility of composite transfer grant (ctg) on retirement. (i) terms and conditions for composite transfer grant : A railway servant. Composite Transfer Grant Time Limit For Claiming.
From timesofindia.indiatimes.com
Army Army officers told not to claim composite transfer grant Pune Composite Transfer Grant Time Limit For Claiming References have been received in department of expenditure seeking clarification on admissibility of composite transfer grant (ctg) in r/o central government. Admissibility of composite transfer grant (ctg) on retirement will be effective from 06.01.2022: (i) terms and conditions for composite transfer grant : Admissibility of composite transfer grant (ctg) on retirement. In partial modification to para 4 of board’s letter. Composite Transfer Grant Time Limit For Claiming.
From gservants.com
Admissibility of Composite Transfer Grant (CTG) on retirement RBENo Composite Transfer Grant Time Limit For Claiming A railway servant will be entitled to a composite transfer grant at the. References have been received in department of expenditure seeking clarification on admissibility of composite transfer grant (ctg) in r/o central government. Admissibility of composite transfer grant (ctg) on retirement. Admissibility of composite transfer grant (ctg) on retirement will be effective from 06.01.2022: If a central government employee. Composite Transfer Grant Time Limit For Claiming.
From www.ksge.in
Revision of composite transfer grant and allowances for transportation Composite Transfer Grant Time Limit For Claiming References have been received in department of expenditure seeking clarification on admissibility of composite transfer grant (ctg) in r/o central government. Composite transfer and packing grant (ctg) : Admissibility of composite transfer grant (ctg) on retirement will be effective from 06.01.2022: Time limit for submission of claims for travelling allowance on retirement : (a) the composite transfer grant shall be. Composite Transfer Grant Time Limit For Claiming.
From www.gconnect.in
Admissibility of Composite Transfer Grant (CTG) on Retirement PCDA(O Composite Transfer Grant Time Limit For Claiming References have been received in department of expenditure seeking clarification on admissibility of composite transfer grant (ctg) in r/o central government. Admissibility of composite transfer grant (ctg) on retirement. A railway servant will be entitled to a composite transfer grant at the. Admissibility of composite transfer grant (ctg) on retirement will be effective from 06.01.2022: (i) terms and conditions for. Composite Transfer Grant Time Limit For Claiming.
From www.scribd.com
Composite Transfer Grant Under IREC Rule No.1643 Is Given On Transfer Composite Transfer Grant Time Limit For Claiming Composite transfer and packing grant (ctg) : Admissibility of composite transfer grant (ctg) on retirement. In partial modification to para 4 of board’s letter of even. (a) the composite transfer grant shall be paid at the rate of 80% of the last month's basic pay in. References have been received in department of expenditure seeking clarification on admissibility of composite. Composite Transfer Grant Time Limit For Claiming.
From gservants.com
Admissibility Of Composite Transfer Grant On Retirement Composite Transfer Grant Time Limit For Claiming Composite transfer and packing grant (ctg) : References have been received in department of expenditure seeking clarification on admissibility of composite transfer grant (ctg) in r/o central government. Admissibility of composite transfer grant (ctg) on retirement. Time limit for submission of claims for travelling allowance on retirement : If a central government employee decides to remain at his or her. Composite Transfer Grant Time Limit For Claiming.
From www.staffnews.in
7th CPC TA Rules Admissibility of Composite Transfer Grant (CTG) on Composite Transfer Grant Time Limit For Claiming Admissibility of composite transfer grant (ctg) on retirement will be effective from 06.01.2022: (a) the composite transfer grant shall be paid at the rate of 80% of the last month's basic pay in. Composite transfer and packing grant (ctg) : Time limit for submission of claims for travelling allowance on retirement : A railway servant will be entitled to a. Composite Transfer Grant Time Limit For Claiming.
From geod.in
Composite Transfer Grant (CTG) on Retirement SelfDeclaration Form PDF Composite Transfer Grant Time Limit For Claiming If a central government employee decides to remain at his or her last station of duty, he or she will be eligible for a full composite transfer grant (ctg) at the rate of 80% of his. Time limit for submission of claims for travelling allowance on retirement : References have been received in department of expenditure seeking clarification on admissibility. Composite Transfer Grant Time Limit For Claiming.
From www.vrogue.co
Composite Claim Form In Death Cases In Word Format 20 vrogue.co Composite Transfer Grant Time Limit For Claiming Admissibility of composite transfer grant (ctg) on retirement will be effective from 06.01.2022: If a central government employee decides to remain at his or her last station of duty, he or she will be eligible for a full composite transfer grant (ctg) at the rate of 80% of his. Composite transfer and packing grant (ctg) : Admissibility of composite transfer. Composite Transfer Grant Time Limit For Claiming.
From www.youtube.com
What Is CTG / Composite Transfer Grant Transfer Allowance Central Composite Transfer Grant Time Limit For Claiming In partial modification to para 4 of board’s letter of even. A railway servant will be entitled to a composite transfer grant at the. (i) terms and conditions for composite transfer grant : References have been received in department of expenditure seeking clarification on admissibility of composite transfer grant (ctg) in r/o central government. (a) the composite transfer grant shall. Composite Transfer Grant Time Limit For Claiming.
From govtempdiary.com
Regarding Composite Transfer Grant on retirement Govtempdiary Composite Transfer Grant Time Limit For Claiming References have been received in department of expenditure seeking clarification on admissibility of composite transfer grant (ctg) in r/o central government. (i) terms and conditions for composite transfer grant : A railway servant will be entitled to a composite transfer grant at the. Admissibility of composite transfer grant (ctg) on retirement will be effective from 06.01.2022: Time limit for submission. Composite Transfer Grant Time Limit For Claiming.
From www.timesnowhindi.com
7th Pay Commission Latest News Government modified Composite Transfer Composite Transfer Grant Time Limit For Claiming (i) terms and conditions for composite transfer grant : In partial modification to para 4 of board’s letter of even. If a central government employee decides to remain at his or her last station of duty, he or she will be eligible for a full composite transfer grant (ctg) at the rate of 80% of his. Admissibility of composite transfer. Composite Transfer Grant Time Limit For Claiming.
From www.saposts.com
Admissibility of composite transfer grant (CTG) on retirement Composite Transfer Grant Time Limit For Claiming Composite transfer and packing grant (ctg) : A railway servant will be entitled to a composite transfer grant at the. (a) the composite transfer grant shall be paid at the rate of 80% of the last month's basic pay in. If a central government employee decides to remain at his or her last station of duty, he or she will. Composite Transfer Grant Time Limit For Claiming.