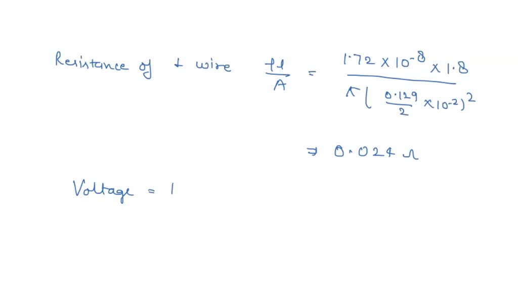
An Extension Cord Made Of Two Wires . An extension cord made of two wires of diameter 0.129 cm (no. 16 copper wire) and of length 2.7m (9ft ) is connected to an electric heater which. Firstly, the resistance of the cord. An extension cord made of two wires of diameter 0.129 cm (no. 16 copper wire) and of. An extension cord made of two wires of diameter 0.129 cm (no. 16 copper wire) and of length 1.2m (4ft ) is connected to an electric. An extension cord made of two wires of diameter 0.129 cm (no. 16 copper wire) and of length 2.4 m (8 ft) is connected to an electric heater which. An extension cord made of two wires of diameter 0.129 cm (no. The power dissipated in the cord can be calculated using ohm's law and the power equation. An extension cord made of two wires of diameter 0.129 cm (no. 16 copper wire) and of length 2.9 m is connected to an electric heater which draws.
from www.cushyfamily.com
An extension cord made of two wires of diameter 0.129 cm (no. 16 copper wire) and of length 2.4 m (8 ft) is connected to an electric heater which. 16 copper wire) and of length 1.2m (4ft ) is connected to an electric. 16 copper wire) and of length 2.9 m is connected to an electric heater which draws. The power dissipated in the cord can be calculated using ohm's law and the power equation. Firstly, the resistance of the cord. 16 copper wire) and of. An extension cord made of two wires of diameter 0.129 cm (no. An extension cord made of two wires of diameter 0.129 cm (no. 16 copper wire) and of length 2.7m (9ft ) is connected to an electric heater which.
How To Wire An Extension Cord? (Finally Explained!)
An Extension Cord Made Of Two Wires The power dissipated in the cord can be calculated using ohm's law and the power equation. An extension cord made of two wires of diameter 0.129 cm (no. 16 copper wire) and of length 2.9 m is connected to an electric heater which draws. The power dissipated in the cord can be calculated using ohm's law and the power equation. 16 copper wire) and of length 2.4 m (8 ft) is connected to an electric heater which. An extension cord made of two wires of diameter 0.129 cm (no. 16 copper wire) and of length 2.7m (9ft ) is connected to an electric heater which. 16 copper wire) and of. An extension cord made of two wires of diameter 0.129 cm (no. Firstly, the resistance of the cord. An extension cord made of two wires of diameter 0.129 cm (no. An extension cord made of two wires of diameter 0.129 cm (no. An extension cord made of two wires of diameter 0.129 cm (no. 16 copper wire) and of length 1.2m (4ft ) is connected to an electric.
From www.thespruce.com
How to Size Your Extension Cords to Lengths of the Run An Extension Cord Made Of Two Wires 16 copper wire) and of length 2.4 m (8 ft) is connected to an electric heater which. An extension cord made of two wires of diameter 0.129 cm (no. The power dissipated in the cord can be calculated using ohm's law and the power equation. 16 copper wire) and of length 2.7m (9ft ) is connected to an electric heater. An Extension Cord Made Of Two Wires.
From weeklysafety.com
Back to Basics How to Use Extension Cords at Work Safely An Extension Cord Made Of Two Wires An extension cord made of two wires of diameter 0.129 cm (no. An extension cord made of two wires of diameter 0.129 cm (no. Firstly, the resistance of the cord. 16 copper wire) and of length 1.2m (4ft ) is connected to an electric. 16 copper wire) and of length 2.9 m is connected to an electric heater which draws.. An Extension Cord Made Of Two Wires.
From www.vlr.eng.br
Wire Extension Cord Diagram vlr.eng.br An Extension Cord Made Of Two Wires An extension cord made of two wires of diameter 0.129 cm (no. 16 copper wire) and of length 2.7m (9ft ) is connected to an electric heater which. 16 copper wire) and of length 2.9 m is connected to an electric heater which draws. 16 copper wire) and of. An extension cord made of two wires of diameter 0.129 cm. An Extension Cord Made Of Two Wires.
From emergencyelectriciancoventry.co.uk
Extension Cord Electrician Coventry An Extension Cord Made Of Two Wires Firstly, the resistance of the cord. An extension cord made of two wires of diameter 0.129 cm (no. An extension cord made of two wires of diameter 0.129 cm (no. An extension cord made of two wires of diameter 0.129 cm (no. An extension cord made of two wires of diameter 0.129 cm (no. 16 copper wire) and of length. An Extension Cord Made Of Two Wires.
From www.chegg.com
Solved An extension cord made of two wires of diameter An Extension Cord Made Of Two Wires Firstly, the resistance of the cord. An extension cord made of two wires of diameter 0.129 cm (no. 16 copper wire) and of length 2.7m (9ft ) is connected to an electric heater which. 16 copper wire) and of length 1.2m (4ft ) is connected to an electric. An extension cord made of two wires of diameter 0.129 cm (no.. An Extension Cord Made Of Two Wires.
From www.circuitdiagram.co
Extension Cord Schematic Diagram An Extension Cord Made Of Two Wires 16 copper wire) and of length 1.2m (4ft ) is connected to an electric. An extension cord made of two wires of diameter 0.129 cm (no. An extension cord made of two wires of diameter 0.129 cm (no. 16 copper wire) and of length 2.4 m (8 ft) is connected to an electric heater which. An extension cord made of. An Extension Cord Made Of Two Wires.
From schematicwiringbelford.z21.web.core.windows.net
2 Prong Extension Cord Wiring Diagram An Extension Cord Made Of Two Wires 16 copper wire) and of length 2.9 m is connected to an electric heater which draws. An extension cord made of two wires of diameter 0.129 cm (no. The power dissipated in the cord can be calculated using ohm's law and the power equation. An extension cord made of two wires of diameter 0.129 cm (no. An extension cord made. An Extension Cord Made Of Two Wires.
From www.chegg.com
Solved An extension cord made of two wires of diameter 0.129 An Extension Cord Made Of Two Wires The power dissipated in the cord can be calculated using ohm's law and the power equation. An extension cord made of two wires of diameter 0.129 cm (no. An extension cord made of two wires of diameter 0.129 cm (no. An extension cord made of two wires of diameter 0.129 cm (no. An extension cord made of two wires of. An Extension Cord Made Of Two Wires.
From www.homedepot.com
GE 15 ft. 2Wire 16Gauge Polarized Indoor Extension Cord, Brown50560 The Home Depot An Extension Cord Made Of Two Wires An extension cord made of two wires of diameter 0.129 cm (no. 16 copper wire) and of length 2.4 m (8 ft) is connected to an electric heater which. 16 copper wire) and of length 2.7m (9ft ) is connected to an electric heater which. An extension cord made of two wires of diameter 0.129 cm (no. An extension cord. An Extension Cord Made Of Two Wires.
From www.thespruce.com
Choosing a Safe Electrical Extension Cord An Extension Cord Made Of Two Wires 16 copper wire) and of length 1.2m (4ft ) is connected to an electric. 16 copper wire) and of length 2.4 m (8 ft) is connected to an electric heater which. An extension cord made of two wires of diameter 0.129 cm (no. 16 copper wire) and of. 16 copper wire) and of length 2.7m (9ft ) is connected to. An Extension Cord Made Of Two Wires.
From allpicturesdetails.blogspot.com
3 Wire Extension Cord Wiring Diagram Making A 10m Extension Cable Electrical Diy Crafty Corner An Extension Cord Made Of Two Wires An extension cord made of two wires of diameter 0.129 cm (no. An extension cord made of two wires of diameter 0.129 cm (no. 16 copper wire) and of. 16 copper wire) and of length 1.2m (4ft ) is connected to an electric. 16 copper wire) and of length 2.4 m (8 ft) is connected to an electric heater which.. An Extension Cord Made Of Two Wires.
From www.chegg.com
Solved An extension cord made of two wires of diameter An Extension Cord Made Of Two Wires 16 copper wire) and of. 16 copper wire) and of length 1.2m (4ft ) is connected to an electric. The power dissipated in the cord can be calculated using ohm's law and the power equation. An extension cord made of two wires of diameter 0.129 cm (no. An extension cord made of two wires of diameter 0.129 cm (no. An. An Extension Cord Made Of Two Wires.
From quizlet.com
An extension cord made of two wires of diameter 0.129 \math Quizlet An Extension Cord Made Of Two Wires 16 copper wire) and of length 1.2m (4ft ) is connected to an electric. An extension cord made of two wires of diameter 0.129 cm (no. 16 copper wire) and of length 2.7m (9ft ) is connected to an electric heater which. 16 copper wire) and of length 2.4 m (8 ft) is connected to an electric heater which. An. An Extension Cord Made Of Two Wires.
From www.chegg.com
Solved 1 An extension cord made of two wires of diameter An Extension Cord Made Of Two Wires An extension cord made of two wires of diameter 0.129 cm (no. 16 copper wire) and of length 2.9 m is connected to an electric heater which draws. The power dissipated in the cord can be calculated using ohm's law and the power equation. An extension cord made of two wires of diameter 0.129 cm (no. An extension cord made. An Extension Cord Made Of Two Wires.
From www.numerade.com
⏩SOLVED(II) An extension cord made of two wires of diameter 0.129… Numerade An Extension Cord Made Of Two Wires Firstly, the resistance of the cord. 16 copper wire) and of. 16 copper wire) and of length 2.7m (9ft ) is connected to an electric heater which. An extension cord made of two wires of diameter 0.129 cm (no. An extension cord made of two wires of diameter 0.129 cm (no. An extension cord made of two wires of diameter. An Extension Cord Made Of Two Wires.
From exotoohgb.blob.core.windows.net
How To Assemble Extension Wire at Eric Coaxum blog An Extension Cord Made Of Two Wires 16 copper wire) and of. Firstly, the resistance of the cord. 16 copper wire) and of length 2.4 m (8 ft) is connected to an electric heater which. An extension cord made of two wires of diameter 0.129 cm (no. An extension cord made of two wires of diameter 0.129 cm (no. 16 copper wire) and of length 2.7m (9ft. An Extension Cord Made Of Two Wires.
From www.numerade.com
SOLVED An extension cord made of two wires of diameter 0.129 cm (no. 16 copper wire) and of An Extension Cord Made Of Two Wires 16 copper wire) and of length 2.9 m is connected to an electric heater which draws. 16 copper wire) and of. 16 copper wire) and of length 2.4 m (8 ft) is connected to an electric heater which. An extension cord made of two wires of diameter 0.129 cm (no. The power dissipated in the cord can be calculated using. An Extension Cord Made Of Two Wires.
From wiringdataluann.z19.web.core.windows.net
How To Assemble An Extension Cord An Extension Cord Made Of Two Wires 16 copper wire) and of length 2.7m (9ft ) is connected to an electric heater which. Firstly, the resistance of the cord. 16 copper wire) and of length 2.9 m is connected to an electric heater which draws. An extension cord made of two wires of diameter 0.129 cm (no. An extension cord made of two wires of diameter 0.129. An Extension Cord Made Of Two Wires.
From fixengineburger.z19.web.core.windows.net
Wiring An Extension Cord An Extension Cord Made Of Two Wires Firstly, the resistance of the cord. 16 copper wire) and of. 16 copper wire) and of length 2.9 m is connected to an electric heater which draws. 16 copper wire) and of length 1.2m (4ft ) is connected to an electric. The power dissipated in the cord can be calculated using ohm's law and the power equation. An extension cord. An Extension Cord Made Of Two Wires.
From www.numerade.com
SOLVED An extension cord made of two wires of diameter 0.129 cm (no. 16 copper wire) and of An Extension Cord Made Of Two Wires 16 copper wire) and of. The power dissipated in the cord can be calculated using ohm's law and the power equation. 16 copper wire) and of length 2.4 m (8 ft) is connected to an electric heater which. 16 copper wire) and of length 2.7m (9ft ) is connected to an electric heater which. An extension cord made of two. An Extension Cord Made Of Two Wires.
From diagramwallsfireworms.z21.web.core.windows.net
Extension Cord Wiring Adapters An Extension Cord Made Of Two Wires An extension cord made of two wires of diameter 0.129 cm (no. An extension cord made of two wires of diameter 0.129 cm (no. 16 copper wire) and of length 1.2m (4ft ) is connected to an electric. 16 copper wire) and of. Firstly, the resistance of the cord. An extension cord made of two wires of diameter 0.129 cm. An Extension Cord Made Of Two Wires.
From www.youtube.com
Extension Cords Explained YouTube An Extension Cord Made Of Two Wires An extension cord made of two wires of diameter 0.129 cm (no. An extension cord made of two wires of diameter 0.129 cm (no. The power dissipated in the cord can be calculated using ohm's law and the power equation. 16 copper wire) and of length 1.2m (4ft ) is connected to an electric. An extension cord made of two. An Extension Cord Made Of Two Wires.
From www.thespruce.com
Correct Extension Cord Sizes Are Critical to Safety An Extension Cord Made Of Two Wires 16 copper wire) and of length 2.9 m is connected to an electric heater which draws. An extension cord made of two wires of diameter 0.129 cm (no. 16 copper wire) and of length 2.7m (9ft ) is connected to an electric heater which. 16 copper wire) and of. An extension cord made of two wires of diameter 0.129 cm. An Extension Cord Made Of Two Wires.
From www.cushyfamily.com
How To Wire An Extension Cord? (Finally Explained!) An Extension Cord Made Of Two Wires An extension cord made of two wires of diameter 0.129 cm (no. 16 copper wire) and of length 2.7m (9ft ) is connected to an electric heater which. 16 copper wire) and of length 1.2m (4ft ) is connected to an electric. An extension cord made of two wires of diameter 0.129 cm (no. The power dissipated in the cord. An Extension Cord Made Of Two Wires.
From www.youtube.com
How to MAKE an EXTENSION CORD YouTube An Extension Cord Made Of Two Wires An extension cord made of two wires of diameter 0.129 cm (no. An extension cord made of two wires of diameter 0.129 cm (no. 16 copper wire) and of length 1.2m (4ft ) is connected to an electric. 16 copper wire) and of. An extension cord made of two wires of diameter 0.129 cm (no. An extension cord made of. An Extension Cord Made Of Two Wires.
From www.thespruce.com
Choosing a Safe Electrical Extension Cord An Extension Cord Made Of Two Wires An extension cord made of two wires of diameter 0.129 cm (no. An extension cord made of two wires of diameter 0.129 cm (no. An extension cord made of two wires of diameter 0.129 cm (no. The power dissipated in the cord can be calculated using ohm's law and the power equation. Firstly, the resistance of the cord. An extension. An Extension Cord Made Of Two Wires.
From guidediagramparalyzers.z21.web.core.windows.net
Wiring An Extension Cord An Extension Cord Made Of Two Wires An extension cord made of two wires of diameter 0.129 cm (no. 16 copper wire) and of length 2.4 m (8 ft) is connected to an electric heater which. 16 copper wire) and of length 2.7m (9ft ) is connected to an electric heater which. An extension cord made of two wires of diameter 0.129 cm (no. 16 copper wire). An Extension Cord Made Of Two Wires.
From www.thisoldhouse.com
How to Wire a 3 Prong Extension Cord Plug This Old House An Extension Cord Made Of Two Wires The power dissipated in the cord can be calculated using ohm's law and the power equation. An extension cord made of two wires of diameter 0.129 cm (no. An extension cord made of two wires of diameter 0.129 cm (no. Firstly, the resistance of the cord. 16 copper wire) and of. An extension cord made of two wires of diameter. An Extension Cord Made Of Two Wires.
From www.chegg.com
Solved An extension cord made of two wires of diameter 0.129 An Extension Cord Made Of Two Wires 16 copper wire) and of length 2.4 m (8 ft) is connected to an electric heater which. An extension cord made of two wires of diameter 0.129 cm (no. The power dissipated in the cord can be calculated using ohm's law and the power equation. An extension cord made of two wires of diameter 0.129 cm (no. Firstly, the resistance. An Extension Cord Made Of Two Wires.
From www.youtube.com
(2544) An extension cord made of two wires of diameter 0.129 cm (no. 16 copper wire) and of An Extension Cord Made Of Two Wires An extension cord made of two wires of diameter 0.129 cm (no. 16 copper wire) and of length 2.9 m is connected to an electric heater which draws. 16 copper wire) and of length 2.7m (9ft ) is connected to an electric heater which. An extension cord made of two wires of diameter 0.129 cm (no. Firstly, the resistance of. An Extension Cord Made Of Two Wires.
From guidediagramparalyzers.z21.web.core.windows.net
Wiring A New End On An Extension Cord An Extension Cord Made Of Two Wires An extension cord made of two wires of diameter 0.129 cm (no. An extension cord made of two wires of diameter 0.129 cm (no. An extension cord made of two wires of diameter 0.129 cm (no. An extension cord made of two wires of diameter 0.129 cm (no. 16 copper wire) and of length 2.4 m (8 ft) is connected. An Extension Cord Made Of Two Wires.
From astrapt.com
Extension Cord Wiring Diagram electrical engineering world standard wire colours for flexible An Extension Cord Made Of Two Wires An extension cord made of two wires of diameter 0.129 cm (no. 16 copper wire) and of length 2.7m (9ft ) is connected to an electric heater which. 16 copper wire) and of length 2.9 m is connected to an electric heater which draws. An extension cord made of two wires of diameter 0.129 cm (no. An extension cord made. An Extension Cord Made Of Two Wires.
From storables.com
How To Wire An Extension Cord Plug Storables An Extension Cord Made Of Two Wires An extension cord made of two wires of diameter 0.129 cm (no. 16 copper wire) and of. 16 copper wire) and of length 2.4 m (8 ft) is connected to an electric heater which. An extension cord made of two wires of diameter 0.129 cm (no. Firstly, the resistance of the cord. 16 copper wire) and of length 2.7m (9ft. An Extension Cord Made Of Two Wires.
From guidediagramparalyzers.z21.web.core.windows.net
Wiring An Extension Cord Plug An Extension Cord Made Of Two Wires 16 copper wire) and of length 1.2m (4ft ) is connected to an electric. An extension cord made of two wires of diameter 0.129 cm (no. 16 copper wire) and of length 2.7m (9ft ) is connected to an electric heater which. An extension cord made of two wires of diameter 0.129 cm (no. 16 copper wire) and of length. An Extension Cord Made Of Two Wires.
From schematicwiringbelford.z21.web.core.windows.net
2 Prong Extension Cord Wiring Diagram An Extension Cord Made Of Two Wires An extension cord made of two wires of diameter 0.129 cm (no. An extension cord made of two wires of diameter 0.129 cm (no. 16 copper wire) and of length 1.2m (4ft ) is connected to an electric. An extension cord made of two wires of diameter 0.129 cm (no. An extension cord made of two wires of diameter 0.129. An Extension Cord Made Of Two Wires.